BTC/HKD-0.43%
ETH/HKD-2.25%
LTC/HKD-2.87%
ADA/HKD-4.05%
SOL/HKD-2.32%
XRP/HKD-2.82%前情介紹:
1.AdjustingQuadraticMechanism是由2018年Vitalik與哈佛教授共同推出的二次融資演化而來。二次融資是一個為了解決公共項目融資困難的一種新的融資機制,其中對于一個有p個公共產品,N個社區成員的社群來說,第p個公共產品收到的投資等于每個投資者的投資額的平方根之和的平方,其收益則是下列公式組成:

QF有幾個特點:
1)收益遞增。參與投資的人數越多,獲得的收益越多
2)邊際收益遞減。隨著人數增多,單位收益的增量變小。
Silvergate Bank CEO:持有超過數字資產相關的現金和證券:金色財經報道,加密友好銀行Silvergate Bank發布了首席執行官Alan Lane的一封信,向股東保證其盡職調查做法、風險管理和儲備。信件表示,根據我們的風險管理政策和程序及要求,Silvergate對FTX及其相關實體(包括 Alameda Research)進行了重要的盡職調查,包括入職流程和持續監控,而且,正如我之前指出的那樣,如果我們在任何賬戶中檢測到意外或不尋常的活動,我們會進行調查,并在需要時根據聯邦法規秘密提交可疑活動報告。
此外,我們有意持有超過數字資產相關存款負債的現金和證券。
金色財經此前報道,有媒體指控Silvergate在其兩個客戶FTX和 Alameda Research 之間串通客戶資產轉移。[2022/12/6 21:24:48]
3)針對公共產品,非排他性、非競爭性。
過去24小時SOL清算額已超2000萬美元:金色財經報道,隨著Solana(SOL)短時波動,據coinglass數據顯示,過去24小時SOL的清算額已經達到2151萬美元。本文撰寫時,Coingecko數據顯示 Solana(SOL)已跌至27.21美元,過去24小時跌幅為14.9%。[2022/11/8 12:31:14]
4)無法解決過度串謀、或者一人分飾多角的問題,既女巫攻擊。
總結:因此對于公共產品融資,通過二次融資方式可以產生對社會最優的投資規模以及產生最優的投資收益,但這只是一個理想社會下,人人都處于理智的狀態,但真正情況卻有可能發展成多人串謀,甚至一人分飾多角“薅羊毛”的情況。
2.由于上述二次融資潛在的問題,Vitalik配合靈魂綁定代幣的特性,提出了適應二次機制,致力于解決過度串謀、或一人分飾多角而造成的利益分配不均的問題。
Cathie Wood:機構正在利用價格下跌的機會進入比特幣:金色財經報道,Ark Invest首席執行官Cathie Wood表示,機構正在利用價格下跌的機會進入比特幣。[2022/11/5 12:20:37]
1)這并不是一刀切,而是會在仍然給與一定獎勵的情況下,削弱合作的力度。
2)通過檢查靈魂所持有的SBT的相關性,可以區分出highlycorrelated,affiliated,甚至colluded靈魂們
機制介紹:AdjustingQuadraticFunding/Voting
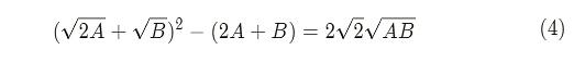
SimpleMatch:我們先從最簡單的邏輯出發,假設項目p有Abdu、Shou、Belle三名投資人,分別對項目p做出了A、S、B量的貢獻,在SBT的驗證下,三名投資人分別沒有鉤稽關系。則:
V神發布新版以太坊發展路線圖:11月5日消息,以太坊聯合創始人Vitalik Buterin在社交媒體發布新版以太坊發展路線圖,其中主要變化包括:1、合并已經完成,不僅僅是關于“verkle trees”,也關于“驗證”,結論是“完全SNARK”的以太坊;2、新增“The Scourge”,確保可以和公平可信的中立交易、解決MEV問題;3、作為第2階段合并程碑的單時隙確定性(single-slot finality)。[2022/11/5 12:19:55]
在A、S、B互無關系,互相獨立的情況下。用QuadraticFunding的方式可以簡單計算Abdu、Shou、Belle分別對應的融資收益、或者votingpower。且可以看出項目p所獲得的matchingfund與A、S、B的數量成正比。
哥倫比亞新當選的總統支持比特幣挖礦:金色財經消息,Bitcoin Magazine發推稱,“哥倫比亞新當選的總統支持#比特幣和比特幣挖礦!”。[2022/6/21 4:43:16]

SingleMembership:進一步思考,如果Abdu、Shou、Belle之間有兩位成員有合作關系,如Abdu和Shou,則Vitalik提供了兩種優化方式:
ClusterMatch:將A和S合并在同一個根式下,可以降低Abdu與Shou的收益分成比例,增加Belle的收益分成比例,但同時也沒有完全懲戒Abdu與Shou的合作:

通過上述我們可以看出,等式將Abdu和Shou的權重被一定程度稀釋,給予了Belle與另外兩位之和相同的權重。如果Abdu和Shou是一人分飾兩角,則上述等式會將Abdu和Shou當作一個個體進行處理,達到最優解。

OffsetMatch:通過判斷Abdu和Shou的關聯程度,通過除以系數的方式給A和S減少(Offset)一定量的權重,在Abdu與Shou合作的情況下:

同樣,在Abdu和Shou在完全相同的情況下,我們可以獲得跟同樣的最優解:

MultipleMemberships:在SingleMembership的考慮中,我們過度簡化了社會中可能存在的合作關系抑或是共生關系,因此這里我們假設更加復雜的情況。Abdu和Shou存在一定社會關系,Abdu和Belle也存在關聯,同時Shou和項目p之外的某個群體有關聯。
ClusterMatch:類似于SingleMembership,我們將有關聯的兩個個體放在同一個根式下,但我們需要將每個個體的權重之和設定為1,得到如下公式:

OffsetMatch:對于OffsetMatch的方式,我們需要計算出每個人的貢獻系數,通過分析每個個體所持有SBT的相關性決定。以上述情況為例,我們假設Bella與Abdu有50%相關,同時Abdu也與Bella有50%相關;再假設Abdu和Shoud在SBT的持有上有25%相關,每個個體的權重為1,我們得到以下方程組:

通過求解我們得到最終的通過OffsetMatch求得的MathcingFund為:

總結:
通過將SBT的特殊屬性與二次融資QuadraticFunding相結合,可以在理論上有效地解決當年QF遺留下來的容易受到女巫攻擊或共謀攻擊的問題,這將在未來對DAO的投票治理,公共項目融資等事件在提升效果及效率的情況下做到盡可能的安全及合理。
來源:金色財經
Tags:ABDSHOINGMATABD價格3X Short Cardano Tokenbiking網絡意思Mean Tamato
元宇宙起源 “元宇宙Metaverse”這個概念非常火。很多人對這個概念感到神奇甚至困擾,最主要的原因是“元宇宙”這個詞翻譯的問題。meta這個詞根,可以翻譯成“元”.
1900/1/1 0:00:00熊市對很多人來說是一個比較艱難的時刻,但對有眼光有見識的人來講往往就是投資入手的良機,首先遍地都是便宜籌碼,同樣的資金,69000美元的價格只能買一枚比特幣,但現在可以買三枚以上.
1900/1/1 0:00:002022年7月5日,世界上第一個也是最受歡迎的GameFi數字錢包鞏固了其在亞太地區的地位。7月5日,MetaPocket在河內開設了他們的亞太地區總部,并通過軟啟動模式來慶祝Metapocke.
1900/1/1 0:00:00幣圈咨詢 7月6日熱點; 1.麥肯錫:2022年已有1200億美元投資于元宇宙2.軟銀領投的NFT夢幻足球游戲Sorare交易總額突破3億美元3.Celsius再次還款3440萬枚DAI.
1900/1/1 0:00:00當我們談論Web3時,大多數人會立刻想到NFT、加密資產或DeFi。因為從TwitterCrypto的活動來看,這是事實。但作為一名開發人員,我真正感興趣的并不是這三者.
1900/1/1 0:00:00本文中,LUCIDA聯合了SnapFingersDAO的投研小伙伴,來盤點「公鏈」篇。 引言 以太坊的巨大成功讓智能合約公鏈成為資本競相追逐的圣杯.
1900/1/1 0:00:00