BTC/HKD-3.78%
ETH/HKD-5.86%
LTC/HKD-2.76%
ADA/HKD-4.09%
SOL/HKD-4.29%
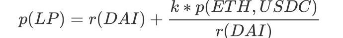
XRP/HKD-3.41%最近在研究Defi衍生品價值評估的問題,比如Uniswap的Liquitidyprovidor(LP)Token該如何估值呢?直觀的感覺就是LPToken的價格等于Pair中代幣數量的總價值除以LPToken的總量。

其中r(token)是指Pair中代幣的reserve數量,p(token)是指代幣的價格,totalSupply是指LP的總量。這個公式貌似沒有問題,但在實踐中卻遇到了大問題。
WarpFinance被黑
2020年12月17號一個名為WarpFinance的Defi項目被黑了,黑客通過閃電貸操縱Uniswap的ETH-DAI代幣數量大幅提高了LP價格,然后黑客從WarpFinance借走了超過770萬美元的穩定幣,而黑客抵押的LP最終兌換的價值僅為586萬美元。
WarpFinance是一個抵押借貸項目,它的抵押品是Uniswap的LP,通過超額抵押LP能借出DAI、USDC等穩定幣。如果你持有ETH這樣資產,你可以將ETH放到Compund或者Aave這樣的抵押借貸平臺吃利息,也可以放到Uniswap中做市獲取交易手續費。在Uniswap中做市得到的LP流動性很差,如果你持有LP但是又需要穩定幣咋辦呢,可以拿LP去WarpFinance中抵押借穩定幣,WarpFinance這個項目的意義就在于此。
某stETH巨鯨昨天買入173.5枚WBTC和3616枚ETH:金色財經報道,據推特用戶余燼監測,某stETH巨鯨昨天花費1179萬U以29351美元均價買進173.5枚WBTC(509萬美元)和1851美元均價買入3616枚ETH(670萬美元)。[2023/7/27 16:02:10]
對于抵押LP借穩定幣這個邏輯而言最關鍵的就是LP的價格,價格估低了倒還好,只是影響LP資產的使用效率,如果是價格給估高了,則會給項目帶來非常大的損失。WarpFinance中計算LP價格的代碼正如上文所示的公式一樣:

公式是沒問題的,那黑客到底是怎么攻擊的呢?先看看黑客攻擊的交易,通過etherscan和ethtx.info展示的交易執行數據可以得到下面的攻擊流程:

每個步驟之后黑客地址上的幣種余額變化如下表所示:

軟件工程師Casey Rodarmor通過分叉比特幣Ordinals協議啟動萊特幣Ordinals項目:2月21日消息,上周日,軟件工程師Anthony Guerrera通過分叉比特幣Ordinals的GitHub存儲庫,在GitHub上啟動了萊特幣Ordinals項目。Guerrera表示,之所以選擇萊特幣,是因為它是Ordinals可以在其上運行的唯一其他區塊鏈,因為它對比特幣中的SegWit和Taproot技術進行了軟分叉,這兩者對于Ordinals的運行至關重要。Guerrera透露,其做此項目是為了應匿名推特用戶“Indigo Nakamoto”發起的挑戰。
該用戶曾在2月10日表示將向可將Ordinals移植到萊特幣的人提供5LTC(約500美元)的獎勵。不過在Guerrera接受這個挑戰前,聯系了Nakamoto,并要求其將賞金從5LTC增加到22LTC,約合2100美元。
此前1月30日消息,軟件工程師Casey Rodarmor在比特幣主網上創建了NFT協議“Ordinals”。(Decrypt)[2023/2/21 12:19:01]
黑客的操作簡單的總結就是:
通過閃電貸借ETH和DAI
添加流動性獲得LP
1月全網NFT交易額達9.46億美元,創下自2022年6月以來新高:2月5日消息,據DappRadar發布的報告顯示,2023年1月全網NFT交易額為9.46億美元,環比增長38.5%,并創下自2022年6月以來新高,較2022年10月6.62億美元的低點增長42.9%。2023年1月以太坊上NFT交易量為6.59億美元,占全網總交易量的69.66%,排名二三位的分別為Solana(8500萬美元)、Polygon(4600萬美元)。[2023/2/5 11:48:48]
向WarpFinance抵押LP
大量賣ETH抬高LP的價格
從WarpFinance那里借到超過LP實際價值的穩定幣
歸還閃電貸借來的ETH和DAI
為什么LP的價格能被抬高,黑客為什么是賣ETH而不是反向操作?這個需要分析下上面那個LP的價格計算公式。根據Uniswap的AMM規則有:

在黑客從WarpFinance借穩定幣之前只對ETH-DAI池進行了賣ETH操作,這個操作不會影響totalSupply。另外一方面在WarpFinance的實現中p(token)的價格采用的是Uniswap的X-USDC池子ETH-USDC和DAI-USDC的代幣價格,而且是時間加權平均價(TWP),這個價格是黑客沒法操控的。再加上price(DAI,USDC)的價格可以認為是1,因此LP的價格公式(忽略掉totalSupply)可以簡化為:
CTCAP與比特大陸簽署采購訂單,部署冰島水冷礦場:金色財經報道,比特大陸宣布與德國礦業集團CTCAP簽署了一份采購訂單。CTCAP是一家在歐洲投資、建造和運營可再生能源項目的公司,將通過其位于冰島的新水冷礦場實現算力翻倍。 ?
該采購訂單購買了比特大陸新型水冷礦機ANTMINER S19 hydro和S19 Pro Hyd.。兩者采用了最新水冷技術,將使CTCAP的總算力增加165 PH/s。CTCAP的新水冷礦場將于2022年11月1日上線,另一個采礦項目將于2023年第一季度建成。 ?
?[2022/9/21 7:11:49]

在兌換發生前ETH-DAI池的k值我們可以通過ethtx.info上的日志信息看到
UniswapWETH-DAI.Sync(reserve0=60911018344037202213498302,reserve1=94928655114461712381666)
計算得到的k值大概是5.7*10^12,而兌換前p(ETH,DAI)的價格為640左右,而在受攻擊前p(ETH,USDC)跟p(ETH,DAI)的值應該是差不多的。因此根據給定的k和p(ETH,USDC)可以繪制LP的價格與DAI的數量的函數關系曲線圖,如下所示:
趙長鵬質疑美國證券交易委員會對 BNB 的調查:金色財經報道,幣安創始人兼首席執行官趙長鵬表示,美國證券交易委員會(SEC)一直在“詢問”有關 BNB 交易所代幣的問題,但該交易所尚未被傳喚。CZ 在2022 年共識大會上告訴觀眾,美國證券交易委員會定期詢問有關幣安及其產品的問題,交易所與當局保持定期聯系。另外,Binance 正在接受司法部、商品期貨交易委員會 (CFTC) 和美國國稅局的調查。CZ 還表示,雖然他有一個銀行賬戶,但他并不經常使用它。(coindesk)[2022/6/13 4:20:45]

這個曲線是存在一個最低點的,從圖中可以看到當r(DAI)的值在6.04*10^7的時候LP的價格最低,而黑客在攻擊的時候池子中的r(DAI)為6.09*10^7恰好就在最低點附近。從曲線上看最低點左側的曲率更大,因此減少池子中的DAI就是一個更優的選擇,這也是為什么黑客選擇賣ETH。
AlphaFinanceLab的做法
在WarpFinance被黑客攻擊后,AlphaFinanceLab在twitter上指出了WarpFinance計算LP價格的問題:

AlphaFinanceLab計算LP價格的代碼如下圖所示:

從代碼中可以看到

這個公式是怎么來的呢?實際上這個公式依然基于WarpFinance所采用的公式,但是AlphaFinanceLab認為不能使用ETH-DAI池中的r值,應該使用一個所謂公允的值r`。假定ETH-USDC和DAI-USDC中的價格都是公允的,那么

上面這個公式中LP的價格受p(ETH,USDC)和p(DAI,USDC)的影響,假定p(DAI,USDC)的值始終是1,如果要使LP的價格翻一倍則p(ETH,USDC)需要翻4倍,而這個操縱是很容易的只需要往ETH-USDC池子中投入跟r(ETH)相同數量的ETH然后換出r(USDC)數量一半的USDC就能達成。回頭看看WarpFinance攻擊過程中的第6步,黑客賣出大量的ETH使得ETH-DAI中ETH的價格由最開始的640降到30左右,即使最開始ETH-DAI池有大概6100萬美元的DAI,但顯然這個池子的深度在黑客借來的ETH面前還非常不夠看。
不過AlphaFinanceLab采用的公式確實比WarpFinance要好一點,它的LP價格曲線是一個拋物線,并不存在像WarpFinance中有某個最低點,因此不會被精準攻擊。另外要攻擊也只能執行買入ETH的操作。
更優解?
給資產進行估值的時候本質上是在干什么?本質上是在看資產能賣多少錢,比如ETH的價格是100USD,那么1個ETH的價值就是100USD。但是如果是給10000個ETH進行價值評估就不能以100USD的價格進行計算,因為100USD只是市場當前的盤口價格或者是TWP,而真正將10000個ETH賣出得到的實際成交價往往比報價要低。
市場的流動性分散在多個地方,有中心化交易所也有去中心化的交易所,如果Defi項目對資產的評估依賴的是鏈上的報價那么資產的流動性也只能依賴鏈上。以WarpFinance為例,在第6步中黑客往ETH-DAI池注入了341217個ETH來交換DAI,此時第5步黑客抵押的94349份LP也會對應大量的ETH,這么大量的ETH能以p(ETH,USDC)的價格賣出嗎?顯然是不可能的。
實際上Uniswap本身就提供了更精確的接口來幫助我們評估賣出一定數量的ETH到底能得到多少個USDC:
functiongetAmountsOut(uintamountIn,addresscalldatapath)externalviewreturns(uintmemoryamounts);
而且這個接口還會把實際交易過程中收的手續費算進去,因此會非常準確。
結束語
以資產作為抵押的項目被攻擊的手段一般都是抬高資產價值然后借出比資產價值實際上高的多的穩定幣,而鏈上價格非常容易被閃電貸操控,而且操控的幅度會超出你的想象,比如WarpFinance攻擊中把ETH-DAI池中的ETH價格從640打到30。評估資產的價值要以資產實際被賣出時能值多少錢為準,也許實際上做不到這一點,但是要往這個方向努力。
但最重要的還是要有足夠高的抵押率,WarpFinance的抵押率就不高所以才被攻擊成功,這種項目在最開始啟動的時候最好設置高額的抵押率確保安全,即使用戶的資產利用率低一點也沒關系。
如果WarpFinance能在受攻擊后第一時間從ETH-DAI池把ETH取出來然后在中心化交易所上以合適的賣出也是不會遭受損失的,但實際上當ETH-DAI池出現30這樣的低價后,無數的套利機器人就像聞到血腥味的鯊魚一樣撲了上來,很快就會填平這個差價。WarpFinance在反應過來的時候為時已晚。
來源:金色財經
Tags:ETHANCNANNCECompound EtherTrue Dollar FinancePlatypus FinanceRakeBitFinance
和股票市場不一樣的是,加密貨幣一天24小時都在進行市場交易。盡管投資者可以隨時交易,價格波動率在一天中并不是相等或一致的。有些時期波動很大,有些時期很少甚至幾乎沒有價格變動.
1900/1/1 0:00:00盤前提示:隔夜美股三大指數漲超1%,互聯網概念股大漲,應該是遭到快手即將在港交所上市影響,正常來說今日快手概念股還有不錯的高開溢價.
1900/1/1 0:00:00一、 據Cryptonews消息,阿根廷中部省份Córdoba省立法機構投票通過了一項新法案,將對涉及加密經紀人和交易所平臺的加密相關交易的總收入征收4%至6.5%的稅.
1900/1/1 0:00:00大家周末愉快,我是玩幣隊長。有刺青的不一定是流氓,或許就是岳飛,醫不醫假病,酒不解真愁,除了誘惑,你是不是在這個市場什么都能抵擋,人生最大的悲哀莫過于行情走完,你還在那里戀戀不舍.
1900/1/1 0:00:00熱點事件一覽: 1.觀點:尼日利亞加密禁令將推動用戶進行P2P交易。2.CNBC主持人:馬斯克或正考慮將比特幣添加至公司財政部。3.觀點:比特幣正在蠶食黃金的市場份額.
1900/1/1 0:00:00研究人員指出,比特幣的區塊鏈還可能攜帶惡意軟件,而國際刑警組織三年前就警告過這類情況,但這這種情況尚未被正式記錄過.
1900/1/1 0:00:00