BTC/HKD-2.88%
ETH/HKD-3.37%
LTC/HKD-0.98%
ADA/HKD+0.18%
SOL/HKD-3.26%
XRP/HKD+1.73% 
不同多項式承諾方案列表

上表中,FRI是Starkware采用的多項式承諾方案,可以實現量子級別的安全,但證明的數據量卻是最大;IPA是Bulletproof和Halo2零知識算法默認的多項式承諾方案,驗證時間相對較長,采用的項目有門羅幣,zcash等,前兩者是不需要初始可信設置的。由上圖可以看出在證明大小與驗證時間上,KZG多項式承諾的優勢比較大,KZG承諾也是目前應用最廣的一種多項式承諾方式。但KZG是基于橢圓曲線,配對函數,需要初始可信設置的。ETH升級路線與多項式承諾的關聯
在ETH相關生態及其未來升級路線中,都可以看到多項式承諾的蹤影。

TheMerge:
現時的以太坊主鏈和BeaconChain將會合并,原本的PoW(工作量證明)共識將會轉變成PoS(權益證明)。TheSurge:
CZ:法幣支持的穩定幣不會長久存在,預計今年是加密調整復蘇的一年:3月8日消息,CZ在AMA中發言表示,法幣支持的穩定幣不會長久存在,穩定幣會不斷進化迭代。長期看來,10到20年后,非法幣支持的穩定幣可能會占主導地位。預計今年是加密調整復蘇的一年,不對創下新高抱有期待。[2023/3/8 12:49:53]
添加DAS,極大的提高ETH的擴展性,通過Danksharding增強rollup性能。TheVerge:
引入Verkle樹(VerkleTrees)的設計來優化以太坊上的數據存儲。ThePurge:
通過剔除歷史數據和消除技術債務,驗證者不再需要使用大量硬盤空間去進行驗證工作。TheSplurge:
四個不同部分升級后的協調,旨在減少錯誤(Bugs)的出現和確保網絡能暢順運作,還有就是EVM改進和添加賬號抽象模型等。其中TheSurge升級將借鑒多項式承諾技術實現數據可抽樣性功能,TheVerge升級將利用多項式承諾來優化其數據結構,ETHL2的zkrollup也都采用了多項式承諾來實現其零知識證明帶來的性能拓展。什么是KZG多項式承諾
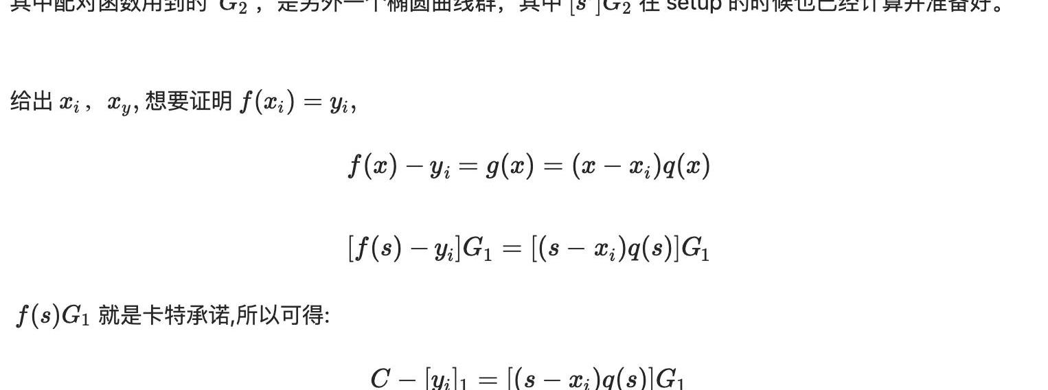
此文這里只介紹較好理解的KZG多項式承諾,KZG多項式承諾也被稱為卡特多項式承諾方案,是Kate,Zaverucha和Goldberg一起發表的。在一個多項式方案中,證明者計算一個多項式的承諾,并可以在多項式的任意一點進行打開,該承諾方案能證明多項式在特定位置的值與指定的值一致。之所以被稱為承諾,是因為當一個承諾值發送給某對象(驗證者)時,證明者不可以改變當前計算的多項式。他們只能夠對一個多項式提供有效的證明;當試圖作弊時,它們要不無法提供證明,要不證明被驗證者拒絕。KZG數學原理
CZ:FTX投資的項目有些是可以挽救的:金色財經報道,Binance 首席執行官 CZ 在接受彭博社采訪時表示仍有可能收購 FTX 資產,他還證實,已破產的 FTX 此前收購的一些加密項目將會在其加密復蘇基金的“購物清單”上,但沒有說明具體有哪些項目。CZ 補充稱:“我們絕對想看看 FTX 的資產(We definitely want to look at those assets),他們投資了很多不同的項目,有些還好,有些則不太好,但我認為有很多資產是可以挽救的,如果這些項目可用的話,我們會仔細研究。”[2022/11/24 8:05:30]
詳細可參考QiZhou博士在DappLearning講解的關于KZG視頻。在理解KZG之前,可以先了解一下多項式、群、環、域、橢圓曲線、生成元、配對公式、朗格朗日插值等數學定義。

具有可信設置的多項式承諾

單個證明
卡特證明單個數據的公式推衍如下,由于橢圓曲線群只支持加法同態,無法支持多項式之間的乘法,這是就需要通過配對函數解決,
Nebula Capital發起規模1億美元的第一期Web3.0基金,重點關注文化內容產業:10月24日消息,Nebula Innovation Limited旗下Nebula Capital發起的第一期1億美元Web3.0基金,該基金將重點關注文化內容產業的web3.0轉型和原生web3.0的IP品牌化建設,以及web3.0賽道的基礎設施建設。
Nebula Capital由Maggie Yip女士聯合宋歌先生和許英龍先生共同發起。該基金將文化和藝術領域的優質資源,與區塊鏈的先進技術有機結合,在Web3.0領域進行積極探索。
該基金預計募資額1億美元,據悉已在家族基金、文娛行業、區塊鏈行業等頭部機構簽署超過3000萬美元的投資承諾書,將于年底前完成募資。[2022/10/24 16:37:06]

由于橢圓曲線群并不支持運算多項式之間的乘法運算,所以此時得采用配對函數去解決

批量證明
具體應用場景
多項式承諾應用方向總結起來可以分為3大類數據可用性數據結構優化零知識證明系統1.數據可用性
Solana Labs與Multicoin遭集體訴訟,原告指控SOL是未注冊證券:7月7日消息,上周在美國加州聯邦法院提起的一項集體訴訟指控Solana生態系統的主要參與者非法從SOL獲利,根據訴訟,SOL是一種未注冊的證券。訴訟對象包括Solana Labs、Solana基金會、Solana聯合創始人Anatoly Yakovenko、加密風投巨頭Multicoin Capital及其聯合創始人Kyle Samani和數字資產平臺FalconX。
訴訟稱,SOL證券價值的基石是Solana Labs、Solana基金會和Anatoly Yakovenko對Solana區塊鏈的管理和實施的總和,它將SOL描述為一種高度中心化的加密貨幣,它使內部人員受益,而對散戶/零售交易者不利。原告稱SOL的創建和銷售方式符合Howey測試的三個原則,因此屬于未注冊的證券。
原告對Multicoin的指控稱,Multicoin是一家在Solana生態系統中投入巨資的大型加密風險投資公司,盡管存在Solana區塊鏈的技術問題,但在推廣該代幣并抬高代幣價格后,將數百萬美元的SOL低價出售給散戶并從中獲利。訴訟稱,這種所謂的拋售是通過FalconX的場外交易平臺進行的。(CoinDesk)[2022/7/7 1:57:02]
DAS核心目的:數據缺失則無法通過大多數節點抽查盡力做到:占用帶寬小,抽樣過程所需計算量小糾刪碼
中國電影資料館首發電影動態海報數字藏品:5月17日消息,據中國電影資料館官方公眾號,5月20日,中國電影資料館將為“現存最早中國故事片”《勞工之愛情》誕生一百周年發行動態電影海報系列數字藏品。
據悉,該套數字藏品為一套5枚動態電影海報,將利用區塊鏈技術幫助老電影資源在上鏈確權的基礎上實現永久保存。[2022/5/17 3:22:44]

糾刪碼會增加額外數據塊,這種情況很容易通過抽樣調查發現,從而提升安全性。以上圖為例,有4個數據,一次只能抽樣一個,假設一個數據有問題,每個用戶抽樣發現錯誤的概率是1/4,但是加入兩數據塊后,還是一個數據有問題,用戶抽樣發現的概率可以高達1/2。這樣就能大幅提升安全性。KZG也可實現糾刪碼,利用拉格朗日公式:比如把(0,3),(1,6)帶入公式可得,y=3x+3y1,y2可以理解為要保存的數據,對應點(3,12)等等,其中y值可以作為糾刪碼數據,其中任意兩個點都可以推出原多項式公式系數。

不同數據可用性項目組成Celestia=Tendermint(cosmos)+2d糾刪碼+欺詐證明+Namespacemerkletree+IPFS基礎設施PolygonAvail=Substrate(Polkadot)+2d糾刪碼+KZG多項式承諾+IPFS基礎設施ETHprotoDankSharding=Blobs數據+2d糾刪碼+KZG多項式承諾+ETH基礎設施EIP-4844升級將在TheMerge之后的下一個以太坊分叉升級中引入“proto-danksharding”并添加blob交易類型,這有望將第2層Rollup的可擴展性提高,同時為實現完全分片鋪平道路。BlobTransaction增加一種新的交易類型,這種交易包含額外的存儲空間——BlobsBlob開始只有128KiB的存儲空間一個交易最多包含2個Blob,即256KiB一個Block最多包含16個,即2MiB;Target是8個,即1MiBBlob以KZGCommitmentHash作為Hash,用于數據驗證,作用和Merkle類似節點同步鏈上的BlobTransaction后,Blob部分會在一段時間后過期刪除

L2需要通過更新目前在L1的合約,以支持DankSharding。Celestia通過欺詐證明實現。當見證人發現數據沒有被正確采用刪碼技術,那么這個人就會將欺詐證明提交從而來提醒其他節點。但是這里需要最少誠實假設和同步假設。protoDanksharding后的以太坊和PolygonAvail則采用了KZG多項式承諾(KZGcommitments)的方法。KZG多項式承諾方案,理論上要優于欺詐證明方案,帶寬需求更小,抽樣所需計算量也更小,也免去了欺詐證明中的包括少數誠實假設和同步假設等的安全假設。未來ETH也有意引入抗后量子密碼學(參考stark,采用哈希,不在使用橢圓曲線作為基礎),避免量子計算機攻擊。2.數據結構優化VerkleTree
VerkleTree的概念在2018年推出,作為ETH升級的一個重要部分,其相比于MerkleTree,在Proof的大小上,有著很大的提升;對于規模在十億級別的數據,MerkleTree的proof大約需要1kB,而對于VerkleTree,它將小于150Bytes。與MerkleTree一樣VerkleTree也能實現ProofofInclusion,而且只需KZGroot和Data就能驗證,不需要額外的Proof,更省帶寬。1.需求:StatelessClient節點不存完整的StateTree,只獲取需要的State來驗證BlockPortalNetwork對StateTree的PoI有更高的性能要求2.回顧DataAvailability里的KZGcommitment每個leaf都是polynomial上的點constantsizeproof,和leaf數量無關

3.VerkleTree

在不同樹結構中構建證明,更新證明,以及證明所需的復雜度:


Verkle方案不需要以太坊客戶端下載完整的狀態數據,使得ETH驗證者輕節點成為可能(甚至可支持手機運行),多項式承諾需要的證明空間復雜度大幅降低,帶寬量需求量也大幅減少。3.零知識證明系統

早期zk技術屬于線性PCP類。除要求可信設置外,主要缺點是如果需要為不同的計算提供證明,都需要一次新的設置。近期zk技術PIOP類支持通用初始設置和透明設置。新的zk證明系統通常可以描述為PIOP+PCS。前者可被視為是證明者用來說服驗證者的約定程序,而后者使用數學方法確保該程序不會遭到破壞。項目方可以按需修改PIOP,且可以在不同PCS中進行選擇。

由Amber文章里的圖可以看到zk系公鏈項目采用KZG方案的最多,有PloygonHermez,Scoll,Zksync2.0,Aztec,Aleo,Manta,以太坊基金會支持的PSE也采用的KZG方案。而Starknet,Risc0,PolygonMiden采用的是FRI方案,PloygonZkvm(Hermez)則是FRI與KZG的結合。值得一提是,一些新的零知識證明系統支持多項式承諾方案的切換,KZG未來也可以切換成其他多項式承諾方案。總的來說,多項式承諾正在重塑整個區塊鏈的架構,不論是在鏈的數據結構優化上,模塊化區塊鏈的數據可用性上,還是零知識證明系統上都將大有作為。其他地方是否還存在應用場景也是非常值得探索與跟進的。原地址
Tags:SOLERKTREEETRESOL價格CYBERKONGZWall Street Decentral TokenWalletreum
借貸一直是DeFi的重要組成部分。根據其運行機制,可以大致分為兩類,一類是抵押借貸,即抵押資產借出資產,另一類是抵押鑄幣,即抵押資產鑄造穩定幣.
1900/1/1 0:00:00進入九月以來,地緣、金融市場的風險次第展開,全球市場在美聯儲超級鷹派政策的帶領下走向越來越未知的領域。通過分析三個局部市場的最新動向,我們可能離聯儲的轉向越來越近.
1900/1/1 0:00:001.為什么會有項目風險?區塊鏈技術由幾個內置的安全功能組成,例如密碼學、軟件中介合同和身份控制。該技術通過啟用分布式方式來驗證訪問、驗證交易記錄和維護隱私,從而提供顯著水平的數據保護和完整性.
1900/1/1 0:00:001688年,英國議會成功推翻了日益暴虐的詹姆斯二世,并讓他的女兒瑪麗和她的丈夫奧蘭治的威廉登上了王位。盡管有許多因素推動了這場革命,但對詹姆斯集權的專制權力的擔憂是關鍵.
1900/1/1 0:00:001.簡介 在以太坊過渡到權益證明共識機制之后,不同的評論家認為,以太坊的新質押模式可能導致其原始Token以太坊被視為美國證券法下的證券.
1900/1/1 0:00:00找出所列項目官網;加入對應的官方DC;進入萬圣節特別頻道,完成任務。清單中有很多值得關注的項目比如NFTGo.io、Web3Go等,可以交互一下.
1900/1/1 0:00:00