BTC/HKD-3.72%
ETH/HKD-6.03%
LTC/HKD-2.46%
ADA/HKD-1.31%
SOL/HKD-4.46%
XRP/HKD-0.07%在很多情況下,人們愿意為稀有物品或獨特體驗支付溢價。古話說,物以稀為貴,但在NFT的世界里,我們該如何量化這個數字資產的稀有度和其對等的價值?從純粹的商業角度來看,許多資產原本不需要任何形式的限制供應,但稀有性的價值將影響消費者需求和市場層面需求的總和,人為進行稀有度和數量設計將產生不同的效果。稀有價值在經濟上植根于這樣一個概念:資源有限,需求無限,而價格就是表示資源稀缺一個信號。藍籌NFT的稀有價值可以從以下四點中衡量,一種是NFT所在項目本身的稀缺性——每個Collection發行特定的數量,大多為1萬個。第二種是與收藏品總量中其他NFT相比的稀有價值。稀有性與炫耀性“專有感”消費的概念密切相關——NFT和擁有者的相似度和美學觀感,在某種情況下也代表了一種態度和身份的情感價值。比如周杰倫所持有的Azuki和其本身特點的同質性。第三是NFT的稀缺效應所帶來的使用價值,或者說是溢價,包括買賣NFT的樂趣,在新領域GameFi和元宇宙中的多種應用和延伸。第四個是獲取難度或時間價值。稀缺性價值同時反映了社區維護成本。比如一些社區PASS的運維成本增長就會反映在價格上,形成一個閉環飛輪。那么,其中稀有度是否是價格的主導影響因子?從1月份以來,雖然市場中NFT的整體交易量有所下滑,但前期市場共識下的藍籌項目依舊因其稀缺性而價格上升,反映了消費者對頂級資產的積極預期。我們可以通過數據量化NFT價格與稀有度之間的內在相關性,從而探索出可能的規律和模式。我們選取了六個各有特點的藍籌項目,評估NFT稀有度對其價格的影響。TL;DR稀有NFT的持有者所擁有的定價權比普通NFT持有者高了不止10倍。與人們的普遍認知“稀有NFT更貴”相反,稀有度對價格的影響并不完全呈正相關。稀有度的影響力有時會讓度給美學價值、社群共識等其他相對于稀有度更加隱性的因子。即使MediumNFT在市場中較BottomNFT的稀有度排名更高,但二者的市場價格分層效應并不明顯。而TopNFT的價值遠超于MediumNFT。列舉的6個項目中,Doodles稀有度與價格的相關性最強,而BAYC顯然還存在其他影響價格的變量。Note:根據稀有度不同,我們把NFT分成了四組,x表示NFT的稀有程度:90≤x≤100:Legendary70≤x<90:Rare40≤x<70:Classic0≤x<40:Normal售價最高的NFT,是稀有度最高的嗎?
本周將解鎖3.32億枚SAND代幣,價值1.35億美元:金色財經報道,據Token Unlocks在社交媒體表示,本周將解鎖3.32億枚SAND代幣,價值1.35億美元,約占流通量的流通量的16.2%。[2023/8/7 21:29:28]
不同NFT的價格受稀有度的影響不盡相同,下圖是各收藏品中售價排名前十的NFT的稀有程度,以及其在二級市場上的總流通時間。

各藍籌Collection中售價前十NFT的稀有度分布,來源:NFTGo.io大部分場景下,很多人會通過各類工具查找稀有度。然而,除了收藏價值以外,NFT的其他價值會在很大程度上稀釋稀有度對于價格的影響。稀有度的影響力有時會讓度給美學價值、社群共識等其他更加隱性的因子。CryptoPunks的市場定位更偏向于OGNFT項目,其作為第一個NFT項目的收藏價值不言而喻,而稀有度在收藏體驗中無疑是極其重要的增味劑。而對于BAYC而言,盡管其也是一個非常經典、較為早期的藍籌NFT,但是其項目背后的社群和商業體系撐起了NFT的部分其他價值,從而分散了稀有度對其價格的影響力。售價前十的NFT中傳說級稀有度的占比相對于CryptoPunks出現了明顯減少。所以,從不同的項目定位這個因素來看,售價最高的NFT并不一定是稀有度最高的。稀有度是否影響價格分層?
Blur創始人:Season 2的積分價值不會被稀釋:金色財經報道,NFT聚合交易市場Blur今日宣布推出Season 2并上線積分“Trait Bidding(特質競價)”功能,有社區用戶質疑“Blur 先是競標積分、再掛牌積分、然后借貸積分、現在又特質競價積分,最終積分價值越來越被稀釋”,對此Blur創始人Pacman在社交媒體回應稱,目前Blur沒有宣布Season 2的結束時間,額外的積分機制也不會稀釋積分價值,因為競標積分和掛牌積分功能從Season 1開始就一直存在,既沒有引入額外積分去稀釋價值,也沒有延長Season時間。Pacman強調,借貸積分絕對不會稀釋積分,特質競價也不會稀釋積分價值,社交媒體上的相關言論是虛假信息。[2023/7/6 22:20:53]
通過對比兩種稀有度不同的NFT的數據——最常見的Normal和最稀有的Legendary,我們可以看出稀有度在不同收藏品中影響程度不一。對PFP項目,總體來說,稀有度越高,價格越高,擁有1/1toptrait的NFT往往擁有較高售價。從下圖中我們可以看出,在Cryptopunks和Doodles項目中,稀有度的巨大差異使NFT平均價格的飆升。而對BAYC來說,顯然,稀有度并沒有很明顯的價格分層,稀有度并不能代表和反映NFT本身的核心價值。

比特幣礦工在兩周內將價值1.74億美元的比特幣轉移到交易所:金色財經報道,Glassnode的數據顯示,自 5 月 31 日以來,比特幣礦工已將6671.99 BTC(價值約1.74億美元)轉移到交易所。僅在6月3日,礦工就將 2,606 BTC轉移到交易所,這是四個多月以來最大的單日交易量。[2023/6/14 21:34:57]
基于稀有度排名的NFT平均售價;來源:NFTGo.io頭部和長尾效應
在比較最高和最低稀有度價格分層差距后,還有一個用戶時常會遇到的問題,如果無法負擔前10%稀有度的高價NFT,那么后90%的稀有度區間中的NFT,該如何選擇呢?我們去除前10%的高稀有度的NFT,在相對較低稀有度NFT中進一步分析。通過收集當下稀有度排名在2000至4000的NFT作為數據集,并將其與排名4000以外的NFT進行價格對比。很多人都會認為,MediumNFT比BottomNFT含有更加稀有的NFT,顯然它的價格也應該更高,結果真的是如此嗎?下圖是兩類NFT的平均售價

不同稀有度排名NFT的平均售價;來源:NFTGo.io我們可以看到,稀有度排名較高的NFT與排名較低的NFT之間有一條很清楚的分界線。為了研究高稀有度的作用,我們將稀有度為Legendary的NFT加入進來,選取排名在2千以內的NFT,下圖顯示了每一組NFT的平均價格:
Aave將為其用戶恢復丟失的價值500美元以上的代幣資產:金色財經報道,借貸協議Aave社區發起“救援任務第一階段長期執行人”投票提案,以恢復社區成員曾發送到錯誤地址的Token。用戶范圍包括:向AAVE Token合約發送AAVE、LEND、USDT和UNI的用戶、向LEND合約發送LEND的用戶、發送LEND到Lend To Aave Migrator合約的用戶、發送AAVE和stkAAVE到stkAAVE合約的用戶。發送給指定合約的LEND將返還AAVE Token,并按1AAVE=100LEND匯率進行兌換。
根據提案數據顯示,將有約218萬美元Token將得到恢復,包括LEND、AAVE、UNI、USDT、stkAAVE等,其中超過29,188枚AAVE與107枚質押中的AAVEToken總價值約216萬美元。此外,該提案僅恢復價值500美元以上的Token。[2023/3/10 12:54:34]

來源:NFTGo.io我們不難發現,即使MediumNFT在市場中較BottomNFT的地位更高,但二者的市場價格分層效應并不明顯。另一方面,雖然MediumNFT在市場上較為稀有,但TopNFT的價值還是要遠超MediumNFT。顯然,一種“頭部效應”影響著NFT的價格。市場上有多種多樣的交易行為,我們常常聽到掃地板、有收集頭部,收集1/1trait,但是對于收集腰部的相關說法卻很少見。即便是對于稀有度和打金關聯的一些GameFi玩法的項目,收集中等稀有度的NFT相對另外兩種策略也顯得并不是很經濟。因此,處于心理和經濟性上的一些原因,稀有度對于價格的影響在腰部存在著一定的“失靈”。哪組NFT的相關性最大?
近50億枚BTT從未知地址轉入幣安 價值約1651萬美元:Whale Alert數據顯示,北京時間3月18日02:58,48.9999億枚BTT從TVxHeYzK開頭未知錢包轉入幣安交易所,價值約1651萬美元。交易哈希為:25fafd1b142c75780ffe47f63f47a9d3d2e97f9239e6897ed5c0939f0eb72803。[2021/3/20 19:02:56]
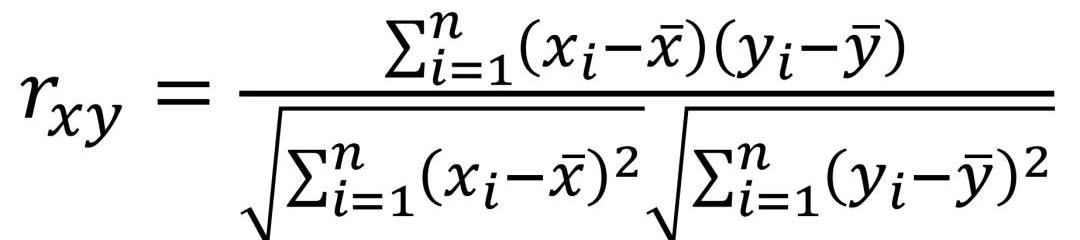
為了進一步印證稀有度和價格的關聯,我們也選用了z-score標準化及標準差和皮爾遜相關系數對Collection的售價進行了分析。一方面衡量數據偏離其所在數據集平均數的大小,同時評估NFT收藏品價格的多樣性,從而理解賣家如何推動市場。

皮爾遜相關其中,x表示稀有程度,y表示最新售價。只有當每個數據集都是正態分布時,皮爾遜相關才成立,而NFT數據連近似正態也不是,通常更多是非正態的。為了評估兩個數據集的分布,我們統計了六組收藏品樣本的NFT稀有度和價格,如下:

NFT收藏品的稀有度和價格分布;來源:NFTGo.io通過上圖,我們不難發現,盡管某些收藏品,例如BAYC,呈現出正態分布,但在價格方面,NFT收藏的數據分布仍然是非正態的,這也意味著稀有度對價格的影響較小。在價格數據集呈現非正態的情況下,我們用QQ-plotmethod來檢驗數據是否符合正態分布。將NFT價格與正態分布進行比較——圖上的紅線代表符合正態分布的數據,點代表真實的數據。

NFT價格的QQ-plot;來源:NFTGo.io我們觀察到,數據集中有一部分是符合正態分布的,但我們選擇分析方法時,必須要考慮到收藏品中的所有異常值。一般來說,NFT價格傾向于非正態分布,一些研究證實,也正是這種傾向導致了皮爾遜相關系數的估計值出現了誤差。非正態分布導致相關系數膨脹了+0.14,同時我們選用了一種更加穩健的方式進行驗證——斯皮爾曼相關對稀有度與價格相關的估測要相對保守,下面是斯皮爾曼相關的簡化公式。

SpearmanCorrelation該式的結果是一個介于-1到1之間的值,表示關系完全為正或完全為負,這個數值越接近0,則表示相關性越呈現出非負相關。斯皮爾曼相關在不同收藏品之間變化很大,根據計算結果顯示,某些收藏品稀有度與價格的相關性很小,也就是說還存在其他變量,而某些收藏品的稀有度與價格是顯著相關的。下圖顯示了皮爾遜相關和斯皮爾曼相關分析結果的差異。

皮爾遜相關和斯皮爾曼相關的差異;來源:NFTGo.io研究結果表明,斯皮爾曼算法所產生的誤差較小,而在使用皮爾遜相關時,由于非正態分布的存在,所有收藏品的估計結果都出現了過大或過小的情況。最終的統計結果表明,在列舉研究的6個項目中,Doodles稀有度與價格的相關性最強,而BAYC顯然還存在其他影響價格的變量,也許這就是BAYC成為史上最成功NFT項目之一的原因所在,除了一只稀有的猴子,人們還看重BAYC所帶來的其他更加有價值的東西。價格由社區定義還是稀有度定義?
就像是PaniniNBA球星卡,稀有游戲卡牌,當一類收藏品的玩家群體數量足夠多的時候就會產生價格分層。NFT也是如此,但NFT價格分層不僅有稀有度單個影響因子。更多或許是由社區定義。比如mfer,比如StartCatchers,里面有不同的DynamicTraits,社區會定義3個dynamictraits>2個>1個>全都靜止。再者,mfers的項目價值點在于其背后的文化共識,NFT形象讓眾多的持有者都仿佛看見了自己,引起共鳴。稀有度對價格的影響力被極大的稀釋了,取而代之的是美學上的共鳴以及社區共識。此外,NFT價格也和名人效應相關,一些和名人相關聯的TraitNFT售價會高于平均值。比如,很多人會選擇買和周杰倫持有Azuki相同Trait的NFT,從而推高這類NFT的價格。由此可見,在發行NFT上,項目方也需要有很多構思。社區通過打造出更多玩法意味著更容易宣傳以及增加流通量,PFP項目圖片中蘊藏的玩法是其中需要考慮的一環。另一方面,對于那些打算做NFT估值工具的項目方來說,需要了解NFT價值由多種因素決定和影響。PFP項目通過合作和meme傳播,在拓展自身影響力的同時,重新定義稀有度,隱性提升NFT售價。結論通過構建數據分析機制,我們探究了NFT稀有度與價格的相關性,量化分析了NFT定價權,重新評估稀有度對價格的影響。同時,需要注意,由于持有時間不同,以及購買者買入時間的差異,在價格和稀有度分析下也存在著一定偏差和變量。此外,我們基于二級市場流通時間、項目活動及差異性等動態因素,針對不同藏品系列的特性進行了進一步分析,幫助投資者更好地規劃NFT市場的投資策略及收益預期。
作為一個NFT收藏家,你應該關心鏈上的合約出處,NFT最真實的出處是直接從創造者的錢包或創造者擁有的智能合約中鑄造出來的.
1900/1/1 0:00:00NFT是一個新興的小眾加密領域,2020年起愈發引人注目,越來越多的名人、高凈值收藏家入場參與投資NFT產品,知名機構參與NFT項目的部署,NFT快速發展得益于DeFi的火爆.
1900/1/1 0:00:00最近,在發布Avalanche子網DFKChain后,DeFiKingdoms這個安靜的「礦場」又熱鬧了起來.
1900/1/1 0:00:00不出意外,美聯儲預計將在3月17日發布利率決議,上調聯邦基準利率成為大概率事件。除了2月美國CPI的高企外,俄羅斯與烏克蘭的沖突也推高了能源、糧食等大宗商品的價格,加劇了通脹水平,全球金融市場都.
1900/1/1 0:00:00相關閱讀 深入探討Web3:用戶擁有的互聯網 Web3旨在賦予網絡中的任何參與者自治的權力和控制權,但要去除中介,我們需要將網絡層與應用層分開的方法,進入數據中心.
1900/1/1 0:00:002022年2月,科銳發布的人才報告顯示,在互聯網、泛娛樂、金融等行業,對區塊鏈、元宇宙游戲制作等方面的人才需求增加.
1900/1/1 0:00:00