BTC/HKD+2.27%
ETH/HKD+1.95%
LTC/HKD-0.36%
ADA/HKD+0.81%
SOL/HKD+1.39%
XRP/HKD+1.32%考慮到文章較長,我們分上、中、下三篇進行更新。自由激進主義:慈善配對基金的靈活設計VitalikButerin、Zo?Hitzig和E.GlenWeyl2018年12月Glen將這篇論文獻給KwameAnthonyAppiah,他首先向介紹了自由社區主義辯論,努力協調中立性和靈活性與對社區的承諾是指導我們分析的精神。我們感謝JulianGewirtz、AtifMian、DannyErickson和EricPosner的有益評論,感謝AvitalBalwit和CharlieThompson提供的出色研究幫助。VitalikButerin:以太坊組織,http://vitalik.ca,vitalik.buterin@ethereum.org。Zo?Hitzig:哈佛大學,http://scholar.harvard.edu/hitzig,zhitzig@g.harvard.edu。E.GlenWeyl:微軟公司與普林斯頓大學,http://www.glenweyl.com,weyl@princeton.edu。§4設計與分析
考慮資金機制,我們將其稱為自由激進機制,原因我們將在結論中進一步討論。

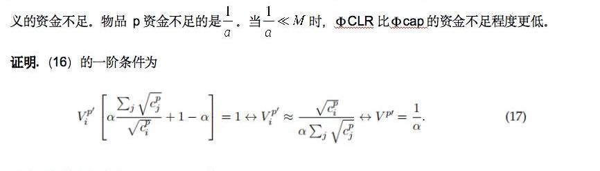
對每個公民征收的人均稅來資助。目前,我們還將假設公民忽略了他們對預算和由此產生的成本的影響。正如我們將看到的,這是否是一個沒有影響的假設將取決于上下文;我們將在下面的§4.5中討論這個問題。然而,最容易理解的是不用擔心赤字的邏輯。4.1基本假設在這個假設下,公民I對物品p的貢獻會被選為最大化

4.2與康德倫理學的聯系或許更直觀的推導LR的方法來自規范理論。道德哲學的一個經典原則,尤其是在猶太教-基督教傳統中,是個人的行為方式應該對自私的動機不偏不倚。馬太(7:12)引用耶穌的話,他吩咐他的追隨者“對別人做你希望他們對你做的事”,塔木德引用拉比希勒爾將妥拉的教義總結為“對你來說是可恨的”不要對你的鄰居。”康德(1785)在他的“絕對命令”中將這一戒律正式化,即個人應該“只根據你可以同時愿意它應該成為普遍規律的格言行事”。該原則與公共物品提供的相關性非常直接。搭便車的標準邏輯是,每個公民都認為自己愿意為公共利益做出貢獻,如果她這樣做,其他人也會這樣做。例如,每個公民可能愿意看到她的稅收增加1%以資助公共物品,但不愿意單方面做出貢獻。事實上,Roemer(2010)已經提出,公共利益問題的正確解決方案是引起人類行為的改變,使每個公民都按照“康德均衡”行事。在每個公民都是對稱的情況下,康德原則的適當應用似乎很簡單:每個公民都應該表現得好像,通過為公共物品多出一美元,所有其他公民都會被誘導去做同樣的事情。對于純粹自私的公民來說,這可以通過每次貢獻的N1比1匹配來反映。然而,在不對稱的情況下,適當的原則不太清楚:如果所有公民的處境不同,那么每個公民通過她的行動使所有人類行為的最大普遍性究竟意味著什么?


4.3自由激進機制的特性這個討論讓我們自然而然地考慮到LR機制的特性。首先請注意,它是一級同質的,從某種意義上說,如果一組固定的公民做出貢獻并且將他們的貢獻加倍,這將使資金加倍。這是一個有用且令人放心的屬性,因為它意味著,除其他外:?更改貨幣對機制沒有影響。通過將項目與同一組參與者拆分或組合,小組將一無所獲。該機制運行的頻率是否準確無關緊要,無論捐款是按月、日還是年匯總,除非捐款模式在一個重要方面存在時間上的不平衡。
V神:不可轉讓的NFT有助于改善Web 3的體驗:金色財經報道,在一篇博文中,以太坊創始人Vitalik Buterin用soulbounds解釋了不可轉讓NFT的概念。V神認為,soulbounds有助于使游戲更具挑戰性和趣味性,確保有特定的、強大的物品不能用錢購買。此外,這些物品只有在完成困難的任務后才能獲得,這進一步提高了游戲的趣味性。在同樣的意義上,他認為不可轉讓的NFT可以帶來新的可能性,并有助于改善Web 3的體驗,這是一個由區塊鏈技術驅動的互聯網的新迭代。
此外,雖然可轉讓的 NFT 有其一席之地,并且對于支持藝術家和慈善機構而言非常有價值,但對于不可轉讓的NFT 可能成為什么樣的設計,還有一個巨大且尚未開發的設計空間。
注:soulbounds是流行的多人在線角色扮演游戲《魔獸世界》中的物品,一旦撿到就不能轉讓或出售。(cryptonews)[2022/1/28 9:19:13]

第三,從這一點開始,請注意,一個社區分成兩半,貢獻概況大致相似,將獲得整個社區總資金的一半:兩半都將獲得四分之一。這是對碎片化和原子化的明顯威懾,也是LR機制能夠解決公益問題的核心原因。然而,這個特征并不意味著在LR下只會形成非常大的社區。不同的公民集合在使用他們的資金時會有不同的目的,有些是小團體,有些是大團體。偏好異質性和規模收益之間的權衡是經濟學家眾所周知的,例如,從關于國家最佳規模的文獻中。LR不會預先判斷這個最佳規模,但與資本主義或1p1v不同的是,它提供了一種機制,可以在不同規模的社會組織之間創造真正中性的激勵。然而,事實證明,出于明顯的集體行動原因,需要為更大的群體提供更多的資金:每個公民在沒有這種激勵的情況下,往往會向更大的群體貢獻更少的資金,如果她收到較小份額的相關利益。第四,請注意,如果一個公民試圖使用該機制為自己致富,則該機制將恢復為標準的私人物品。在絕大多數貢獻來自一個公民的情況下,對平方根總和的其他貢獻大約會消失,我們只剩下平方根的平方,這只是貢獻本身。更廣泛地說,當我們處理近似私有的商品時,該機制將它們視為近似私有的商品。第五,實際上只是總結一下,該機制為許多小額捐款提供了比少數大額捐款更多的資金。這不是出于公平或分配正義的任何原因,盡管從這些角度來看可能有很好的理由來欣賞它所提供的結果。相反,這是因為相對于集中的利益,資本主義的大社區每個人都只獲得很少的好處往往處于不利地位,這是民主理論的核心關注點,至少自Madison以來,并與MancurOlson的集體行動邏輯有關。雖然其中一些屬性可能會打開這樣一個系統,導致潛在的共謀或操縱,我們將回到下面的§5.2,但總的來說,我們將它們視為令人振奮的確認,我們的分析抓住了解決公共物品問題的直觀核心。4.4用戶情況確切地說,LR機制的“樣子”超出了我們的范圍,但對可能性的簡要描述有望幫助讀者想象它是為何可行的。任何公民都可以隨時提議將新組織納入系統。根據上下文,可能會有一個或多或少廣泛的過程來被管理員批準在系統中列出;這對于范圍有限的慈善贊助版本尤其重要,因為慈善家不想資助任何項目。公民可以定期向任何列出的項目捐款。公民將獲得一些各種項目總資金的指示。這將有助于公民確定如果他們為特定項目貢獻一點額外項目將獲得的資助金額,以及項目是否有足夠的資金獲得成功。這將有助于避免項目過度分散:考慮到一個由許多人支持的項目比分散的項目可以獲得更多的資金,因此一千個項目的擴散比資本主義少得多,即使在目前的資本主義下也有一定程度的協調似乎在實踐中限制了這種碎片化。正如我們在下面的§5.2和5.6中所討論的,需要系統的各種更詳細的功能來幫助確保安全性并實現參與者之間的協調。此外,系統的精確外觀和感覺需要更多的思考,甚至可能會以某種方式影響正式規則。我們都不是設計師,所以我們遠非這些問題的專家。我們期待看到這些領域內的專家提出什么樣的具體設計。4.5納入赤字在前面的分析中,為了清楚起見,我們假設公民忽略了他們對赤字的影響。我們現在將看到消除這個假設有什么不同。假設公民i在減少預算赤字上有一個影子值λi;我們可以將其視為將通過向它征稅來資助的赤字的一部分,或者,正如我們將在下面的第5.1節中探討的那樣,它減少對更大赤字所需的其他公共物品的資助的成本。
V神:ETC應該考慮轉向PoS了:8月6日,針對ETC再次遭遇51%攻擊,V神發推稱,ETC應該轉向PoS機制了。即使考慮到其規避風險的傳統,轉向PoS的風險似乎也比保持現狀的風險要低。[2020/8/6]



簡而言之,雖然考慮影響赤字的激勵措施會產生一些并發癥和與完美最優性的潛在偏差,但影響很小且通常無關緊要。因此,我們在上面的主要分析中省略了它。§5變化和拓展
上面的概述遺留了許多在不同應用中懸而未決的問題。在本節中,我們將嘗試解決一些最重要、最突出的問題。5.1預算配套資金在大多數實際應用場景中,LR的資金可能來自慈善家或一些政府專項撥款,而不是無限的稅收。這種慈善的資助的一個好處是,如果大多數參與者個人不關心慈善家的財富,它消除了上述§4.5中的融資問題和對赤字的擔憂。然而,大多數慈善家并沒有無限的資金,因此不會輕易同意為任意巨額赤字提供融資。在本小節中,我們將描述LR機制的一個變體,它可以限制所需的資金及其一些好處。考慮一個規則,即資本主義的α權重與1?α的混合。我們稱之為資本約束的自由激進(CLR)機制。考慮一個規則,它是權重為α的LR,以及權重為1?α資本主義的混合。我們稱之為資本約束的自由激進機制。



該近似值基于為該產品提供資金的人口相對于任何個人而言都很大,真正的公共產品也是如此,不管是對小社區或者公民的產品供應。資金將比這個近似值要多,但這些額外的資金將主要來自私人渠道,而不是由慈善家補貼,因此不應該太擔心。


CLR的一些資金不足并非完全不可取,因為它可能會平衡由于扭曲稅造成的私人物品投資不足,而這通常是資助這種機制所必需的,并且可以制止勾結,正如我們現在討論的這樣。5.2勾結和威懾LR的核心弱點,與其他基于單邊優化假設設計的機制一樣,都是勾結和欺詐。當多個代理為他們的共同利益行事而損害其他參與者時,就會發生勾結。當一個人假扮成多個人時就會發生欺詐。


V神:以太坊2.0數據擴容將先于一般計算擴容:以太坊聯合創始人Vitalik Buterin在推特上發文表示,以太坊2.0數據擴容將先于以太坊2.0一般計算擴容。這意味著rollups將在至少幾年內成為主要的擴容返利:首先,ETH 1將作為數據層,系統吞吐量(TPS)將在2-3K,接下來以太坊2.0(第一階段)的系統吞吐量將達到100k,之后會進行相應的調整。任何“剛剛”使用ETH/ERC 20/ERC 721代幣的人都應該考慮這個問題。如果僅用于更復雜的東西,基礎鏈上的gas價格可能會大大下降。[2020/7/1]
這里有一個更廣泛的觀點。如果可能進行利益的完美協調,那么資本主義就會帶來最佳的結果。LR旨在克服這種缺乏協調的情況,并在錯誤地假設協調困難時做出犧牲。這里有一點悖論:雖然LR試圖通過其設計來引領社區發展方向,但這樣做依賴于不存在的與設計之外的社區的強大聯系。阻止欺詐和串通的合適方法將取決于該系統支持的功能。首先考慮欺詐行為,這是一個更簡單、更具破壞性的問題。如果欺詐無法得到合理控制,LR根本無法起步;它將立即成為第一個欺詐者的資金泵。但是,請注意,幾乎任何具有民主風格的系統都是如此:1p1v很容易通過欺詐而被利用。對欺詐的最簡單和最必要的解決辦法是一個有效的身份驗證系統。除此之外,在可能的情況下,應該對提供大量捐款并因此獲得大量資金的相對較小的團體進行審計,以確定是否發生了欺詐行為,并對欺詐者施加巨額罰款并把錢轉給其他誠實的公民。考慮到社區建設和勾結威懾之間的緊張關系,勾結是一個更微妙、更有害的問題,可能是LR面臨的最大挑戰。在所有情況下,適度的α值和對資金充足的小型團體的審計將有助于阻止緊密的串通團體,并且可能主要解決這個問題。然而,阻止更廣泛勾結的最佳方法將取決于環境的性質:其中公民友好且彼此認識的情況如在小鎮,將不同于參與者對彼此信任度低并且高度多樣化的情況就像在區塊鏈社區中。我們首先考慮后一種情況,然后再回到前一種情況。在廣泛的社會環境下,可以通過技術手段降低串通的可能性。長期以來,在投票系統文獻中,人們一直認為,減少投票購買需要強大的隱私屬性,稱為抗強迫性:不僅投票是私密的,而且即使他們愿意,也無法向其他任何人證明他們投票支持誰。我們可以通過這種方法減少參與者權利來改善民主的結果,這似乎是自相矛盾的。但這樣的悖論不幸地自然出現在一些常見場景中:參與者從一些行動,但只支付一小部分的成本。技術含量最低、甚至可能值得考慮的解決方案是真正的面對面投票站。在這些站點中,任何人都可以攜帶一定數量的現金進來,并在不同項目對應的不同箱子之間私下分配現金。個人會先將自己的捐款放入信封,然后再放入箱子,這樣可以通過計數來推斷捐款的大小。然后可以計算匿名投票,每個投票站只返回貢獻的平方根之和,而不是任何個人貢獻者的金額。投票站可能還有一個不與任何項目對應的箱子,參與者可以在那里存入錢寄回他們;這確保了即使參與者花錢也會被隱藏起來。這個過程將是低效的,但是強制抵抗的特性將以一種普通人能夠理解并看到它為什么會成立的方式得到滿足。也就是說,將基于LR的工具擴展到更多生活的場景,而不僅僅是不頻繁的選舉,比線下投票實際的效率更高,因此完全電子化的替代方案將是最好的選擇。正如我們在下面的§5.6中所討論的那樣,以允許的最佳協調方式使這種低技術解決方案完全實現運轉也將具有挑戰性。可以實現強制抵抗的電子投票系統已經被開發出來,并且類似的工作已經擴展到二次方方投票的設置。這些方案通常依賴于稱為多方計算的加密方案以及您可以信任部分公民的假設。它們允許選民產生某種形式的假密鑰或假投票,攻擊者無法將其與真實事物區分開來,但投票機制可以做到這點。然而,這些方案在設置時不可避免地存在漏洞:如果攻擊者可以在流程開始之前賄賂某些參與者將他們的密鑰交給攻擊者,那么攻擊者就可以使用這些密鑰投票給攻擊者想要的候選人。即使攻擊者只有50%的時間“贏得比賽”,攻擊者依然會產生很大的影響。因此,Juels等人進行了信任假設說明。用他們的話來說:我們假設登記階段沒有選民腐敗。這種假設在某種程度上是無強制選舉的要求,因為能夠在這個初始階段破壞和奪取選民證書的攻擊者可以發起模擬攻擊。更準確地說,我們必須對注冊階段做出三個假設中的一個:我們假設登記階段在沒有選民腐敗的情況下進行。這個假設在某種程度上是無強制選舉的要求,因為能夠在這個初始階段破壞和奪取選民證書的攻擊者可能發起模擬攻擊。更準確地說,我們必須對注冊階段做出三個假設中的一個:刪除選民與R交互的數據是對選民的強制性要求。這可以防止攻擊者在事后請求注冊記錄數據;對手不能賄賂R中的任何玩家。選民們會意識到R中任何腐敗玩家的身份。進一步的攻擊可以使用受信任的硬件,如SGX發生。攻擊者可以賄賂選民,讓他們在一個SGX區域中生成密鑰,并使用來自該區域的簽名來證明他們已經這樣做了。這個區域將運行只允許發出與攻擊者首選原因的投票相對應的信息的代碼。并且不允許他們使用誘餌投票或密鑰。這個屬性——能夠證明人們持有一個加密密鑰,以便它可以用于某些目的而不是其他目的——是受信任的硬件所特有的。此外,它提供了攻擊所有假定的抗脅迫投票方案的機會。可以通過一個假設的密碼原語來減輕這種可能性,該原語代表一個“不在可信硬件內部的證明”,例如由于內存而導致的一些計算要求可以在傳統硬件中完成,但不能在容量更有限的芯片中完成。另一種方法是Juels等人提出的。他們表示:權威機構發布本身位于受信任硬件中的私鑰,從而證明它們不在其他被惡意使用的受信任硬件中。智能卡可能具有輸出密鑰并立即用誘餌密鑰替換卡中存儲的密鑰的功能,允許任何用戶在收到卡后立即詢問該密鑰并將其存儲在某個秘密位置。想要購買用戶選票的對手,即使他們購買了智能卡,也無法判斷現在存儲在卡中的誘餌密鑰是非法的,但是投票機制使用多方計算來確保它不受任何單一政黨的影響,能夠并且會拒絕選票并接受原始選民的選票。通常,這些技術可以在LR設置得到使用。LR設置帶來的主要新困難在于揭示用戶在捐款上花費的總金額,以便可以減去他們的余額,并允許用戶在機制內執行“向自己匯款”的操作。如果這個問題沒有得到完全解決,用戶就可以假裝他們貢獻的金額比他們貢獻的多。多方計算除了計算貢獻的平方根總和的平方之外,還可以計算來自該參與者的貢獻的總和加上“誘餌量”。它還會要求每個參與者提供一個“誘餌退款地址”。該計算將持有一個完全保護隱私的支付系統私鑰,例如Zcash,它將生成交易,退還參與者的誘餌金額并發布它們。該計算還將公布每個參與者的總貢獻加上誘餌,以便可以從參與者的帳戶中減去這些金額。其他適用于大規模、信任度相對較低的環境的潛在方案更具投機性,但基于利用和破壞運營所需的信任,可能會帶來一些好處。針對大規模、相對較低信任環境的其他潛在方案更具投機性,但基于開發和破壞實施串通方案所需的信任,可能會獲得一些好處。例如,代表系統運作的執法者可能會冒充尋求賄賂的選民;那些提供賄賂的人可能會受到懲罰。如果能夠反抗脅迫,即使沒有懲罰,這種誘餌也可以發揮作用,因為提供接受賄賂然后背叛行賄的簡單行為會破壞勾結。誘餌還可以冒充行賄者并懲罰那些接受賄賂或未能履行賄賂行為的人。那些提供證據證明勾結正在進行的人可以獲得大赦甚至獎勵,并且可以通過對參與勾結的人處以罰款獲得報酬。許多這樣的方案目前在執法中得到了好的效果,并且可以通過周到的機制設計進行擴展和改進,這是未來研究的一個有趣方向。在相互知識和信任程度高得多的小群體中,許多這些方法的效果會較低。LR可能在這些場景下使用不太廣泛。因為社會規范可能足以確保合理的公共物品供應。但如果情況不是這樣就需要形成一種文化承諾,即子團體的勾結構成作弊,就像竊取公共資源將構成作弊一樣。更一般地說,在小型和大型社會之間的情況下,將規范/社區執法與我們上面描述的正式計劃進行合理組合可能足以解決勾結造成的問題。但是,作為LR有效運營的最大威脅,只有通過實驗才能說明這些問題的嚴重程度以及如何最有效地克服它們。5.3負貢獻并非所有的公共項目都能單獨帶來收益;有些人可能會通過制造污染等負面外部性或仇恨言論等冒犯行為來傷害某些公民。這并不立即意味著我們應該允許負面貢獻來反映這些危害:其中一些負面外部性可以通過立法直接解決,允許公民為他們不喜歡的項目提供資金存在一些危險,并且正如我們在上面§4.5中討論的那樣允許負面貢獻會帶來一些棘手的問題。然而,在某些情況下,允許表達負面外部性的好處將超過這些擔憂,因此負貢獻將是可取的。LR允許負貢獻的自然延伸是,公民可以根據相同的成本結構選擇不資助公共物品。
吳忌寒:V神實現PoS的愿望短期內不可能實現:昨日晚間,吳忌寒做客王峰十問。被問及以太坊是否最終會脫離POW算法時,吳忌寒表示:“Vitalik希望推動區塊鏈實現PoS的努力已經持續很多年了。中間也遇到過挫折。最早,ETH希望能夠一次性實現完全的PoS,但是很快就退回到PoW+PoS的混合設計。目前看來,要做到沒有中央權威,只有PoW是經過驗證且安全的。我們自己的技術研究判斷,完全PoS系統的安全性和去中心化特性,短期內都是不可能的。我們會積極跟蹤PoS技術的發展。”[2018/6/16]


然而,正如上文4.5中所指出的,如果公民考慮到其對赤字的影響,它主要允許導致資金不足的負面捐款,盡管正如前一小節中所指出的,一些這類資金不足實際上可能有助于阻止勾結。更廣泛地說,負面貢獻可能是阻止串通計劃的一種相當強大的方式,因為它們提供了一種讓任何公民都能成為反對欺詐和虐待的“治安維持者執法者”新方式。然而,這種好處的缺點顯然是,在某些情況下,絕對的言論自由和其他保護措施可能會導致我們不信任這種維護治安的政策。簡而言之,允許負面貢獻有各種成本和好處,我們覺得它的可取性在不同情況下不同。5.4函數形式的變化人們可能自然會想,我們提出的函數形式是否是唯一最優的。我們相信,這有一定的巧合。我們為未來的工作給出了一個正式的證明,通過考慮一類同時嵌套LR和資本主義的規則來說明這一點,從而說明了一系列潛在的解決方案。


由于兩個原因,該結果可能存在問題。首先,從效率的角度來看,這是有問題的。它遠比我們在上文第5.1節中從CLR獲得的受預算約束的效率差得多。這并不是說使用二次方方函數以外的函數沒有意義,也不是說CLR不會導致有一些強烈支持者的項目的相對過度資助。在某些情況下,將平方根和平方函數替換為在原點附近表現得更像絕對值的函數可能會很有用,并且只會在更遠的地方變成二次方方方,以避免大團體以極少量的錢進行瑣碎的勾結。并且CLR在強烈支持者的支持下確實為商品提供了相對過度的資金,盡管只是在它具有資本主義元素的意義上。但一般來說,我們主要將這些其他功能形式視為幫助我們理解LR以及資本主義的失敗的陪襯,而不是我們提倡使用的東西。5.5亨利·喬治定理到目前為止,我們對LR的資金來源很隨意:我們想象資金通過善意的慈善家“從天上掉下來”,或者從公民那里免費收取。在本小節中,我們將更認真地對待這個問題,盡管一個完整的解決方案超出了本文的范圍,并且是未來研究的領先方向。在深入研究之前,我們需要提供一些背景資料。我們關于如何為公共產品融資的問題是一個經典的問題,我們的解決方案遵循了喬治和他最重要的當代學術追隨者威廉·維克里開創的解決方案的傳統。這個“亨利·喬治定理”大多數人都比較熟悉。考慮一個剛修繕學校的城鎮。通常情況下,那個城鎮的房地產價值都會上漲。如果人們有足夠的流動性,所有人都需要相同大小的房子,并且往往對學校的重視程度相同,因此,房地產的價值必須完全根據人們對學校的重視程度而上升。現在假設對于學校的改進是昂貴的。因此,只有當它的價值大于成本時,它才值得制作。那么房地產價值上升的總和應該超過改善學校的成本。因此,如果這種房地產價值的增長可以作為一種稅收來征收,這種稅收將超過改進學校而提供資金。因此,對土地價值征收100%的稅就足以資助任何對學校進行的改善,這同樣也適用于任何當地的公共改善。雖然這種基本邏輯是亨利·喬治本人想象這些理論的主要方式,也是最容易想象的,但維克里指出,這種邏輯既寬泛得多,在某種意義上也比這窄得多。范圍更廣是因為該邏輯不僅適用于學校或其他公共設施,還適用于任何使城市成為更理想居住地的事物,包括藝術館或餐館、企業或公共交通,如果有效定價低于成本,可能需要補貼等等。范圍更廣同樣因為該原則適用于與土地無關的環境。例如,在一個加密貨幣社區中,我們應該期望由開源項目創造的使社區功能更好的價值最終會歸于擁有該貨幣的人或在其上運行的營利性企業。然而,它的范圍更窄,因為正是出于這個原因,顯然需要征稅的不僅是“土地”,還有其他有價值“匯”。這種價值“匯”在原則上可能與土地完全不同。例如,想象一個擁有無限同樣美好土地的世界。但是假設每個家庭都有自己的語言,不能學習其他家庭的語言;因此,幾乎不可能進行貿易和合作。現在想象一下,全世界有五個人有能力在人與人之間進行翻譯和合作,但他們只能在某些局部地區做到這一點,而且只能做到一定數量的人,允許文明的爆炸性發展只在他們的所在地區附近。自然地,城市將圍繞這些人形成,他們將能夠為其服務收取幾乎全部文明價值,因為他們總是可以威脅去其他地方開始另一個文明。在這種情況下,價值增加的遞減回報資源將是這些特殊的個體而不是土地。從廣義上講,問題是如何為規模報酬遞增活動所需的補貼提供資金。如果一項活動能夠以比單獨提供給這些人的成本總和更便宜的價格提供給許多人,那么它的規模報酬就會遞增。此類活動的邊際成本低于其平均成本,因此應收取的價格如果收取,則不會首先涵蓋創建它的成本。這些活動的邊際成本低于其平均成本,因此應收取一個一開始就不能支付創建它的費用的價格。因此,它將需要補貼。純粹的公共物品是一個特例,但公共交通、疫苗、軟件等都有這樣的屬性,如果只對使用它們的邊際成本收費,就幾乎沒有機會能夠覆蓋掉創造它們的成本。亨利喬治定理(HGT)給出了這個問題的一般答案。它指出,只要這些商品創造的價值超過它們的成本,支持它們所需的融資就必須通過一些規模收益下降的活動獲得的租金或利潤來累積,例如作為土地,某種形式的固定資本或經濟中某些代理人積累的壟斷資產。因此,總是有可能通過對收益遞減的租金征稅來為公共物品的最佳供應提供資金。那么問題顯而易見,如何確定值得進行的收益遞增活動,以及如何在不損害經濟的情況下識別與規模收益遞減活動相關的租金并征稅。LR對第一個問題提供了相當全面的答案,但沒有回答第二個問題。盡管如此,減少回報的例子并不難列舉,而且現有的稅收明確規定對他們征稅。交通繁忙道路的擁堵收費、空中交通權、土地稅和企業利潤稅等政策都是旨在對遞減回報活動征稅。此外,George和Vickrey思想的實例提供了一種識別遞減回報活動及其相關租金的特定方法。Harberger(1965)以及最近的Weyl和Zhang(2018)提議對任何愿意支付擁有者自我評估價格的買方具有強制購買權的資本征收自我評估稅。由于這項稅克服了賣家堅持增加資產的壟斷問題,它可以減輕資產的分配不當,增加總財富,同時對與固定資產相關的租金征稅。從這個意義上說,它完全符合HGT稅收方面的要求。同時,它將在由LR治理的社會中扮演一個有趣的角色,因為由LR資助的社區可能是相關稅收的主要支付者,因此它不僅會起到資助作用,而且還會起到在社區中分配資產的作用。使它們能夠爭奪稀缺資源。從這個意義上說,LR與Harberger稅相結合,提供了一個有趣的愿景,即一個通過高效率的稅收提供資金的新社會。綜上所述,有幾個警告值得牢記。首先,Harberger稅雖然增加了總體價值,Harberger稅雖然增加了總體價值,但至少在應用時需要一些投資來維持、創造或改進。Posner和Weyl認為,在大多數私人資本的最優利率下,私人生產性投資的回報率約為最佳水平的1/3倍。這導致了私人物品的資金不足,與上述5.1中α=1/3中公共物品的資金不足幾乎相同。這指向一個有趣的平衡,在這個社會中,所有私人或公共投資的資金不足比率都是相同的,因此不同規模的項目之間沒有偏差。對于Galbraith(1958)聲稱許多社會在“私人富裕”中面臨“公共貧困”的問題,這將是一個令人滿意的解決方案。一個更嚴重的問題是,一些租金最終不會產生于固定的物質資本,而是產生于人力資本或公民之間的關系,而公民之間的關系仍然是更廣泛社會的一小部分。我們上面提到的五位翻譯者的例子就是一個明顯的例子,在一個人口不變的世界里,任何能平等地增加全球所有人的幸福感的公共物品也是如此:這些福利不會影響價格,而且只會直接惠及這些公民。在這種情況下,任何已知的有效稅收都無法獲得此類租金;扭曲的所得稅是唯一被廣泛接受的方法。這可能導致公共產品甚至私人資本投資的資金更加不足,以及對可以自由賺取租金的個人能力的相對過度投資。如何解決這個問題遠遠超出了本文的范圍,但我們懷疑它會成為LR社會的主要社會問題。5.6凹面和動力解的失效
V神反對通過硬分叉來阻止螞蟻ASIC礦機:以太坊創始人Vitalik Buterin已經提出反對通過硬分叉來使最近發布的ASIC螞蟻礦機E3失效。Buterin表示這一問題可能不值得進行必要的協調以作出改變。Buterin表示:“讓每個人都進行升級可能導致混亂,并使我們從更重要的事情分散精力。所以,在這一點上,我個人傾向于不采取行動。”[2018/4/7]

這個問題的一個自然解決方案是通常被稱為“保證合同”,由Dybvig和Spatt(1983)提出。最自然的實現是動態的,我們懷疑這就是LR機制在任何情況下的運行方式,但靜態實現也是可能的。本質上,一個供款和提取供款的機制在一段時間內發生變化窗口是開放的。因此,公民能夠做出貢獻,而不必擔心他們會“暴露”在其他人不會做出貢獻的風險中。因此在達到相關閾值之前,每個公民都可以做出合理的貢獻。本著Tabarrok(1998)的精神,如果公民同意暫時資助該機制以避免任何潛在的協調問題,那么企業家可以通過向公民付款來進一步促進交易。

參考文獻:
如果每個人都是完全理性的,那么在極端情況下微小的貢獻會影響大量的資金。我們不會在實踐中提倡這一點,因為操縱這樣一個系統的風險似乎比資金不足要嚴重2倍。人們可能會擔心,公民不會像所說的那樣采用這種機制,而考慮調整后會耗盡資金,因此,在給予額外的一美元時,他們會考慮從他們看重的其他項目中減去資金。然而,可以很容易地證明,這種關注在總體上等同于參數的變化。因此,如果選擇只用盡預算,那么公民在多大程度上考慮這一點在是無關緊要的:如果他們確實考慮了這一點,則可以選擇更高的價格來用盡預算,因為公民對預算的擔憂實際上會降低商品的感知價值。用戶可以收到一個小的,例如0.001%的“誘餌”捐款,鼓勵每個人超額捐款,從而為那些想要隱瞞其總捐款較大這一事實的參與者提供掩護;這些參與者可以聲稱他們發送了大量的誘餌,并為此支付了利息。正如Eguia和Xefteris(2018)所示,在足夠大的總體中,則應用于數字的函數的總和比應用于該和的函數更大。正如阿諾特所指出的那樣,維克瑞是第一個發現正式HGT的人,但他是最后一個發表文章的人,因此無法讓人們相信是他第一次發現了這個。HGT的一些最規范和更普遍的陳述是斯蒂格利茨和阿諾特和斯蒂格利茨的工作。例如,公民可以根據他人的貢獻,說明他們想要貢獻多少,或一些粗略的近似,例如他們貢獻的最低閾值。然后,一個自動化的系統就可以計算出這些平衡值。但是請注意,Tabarrok的建議在不脫離資本主義的情況下,僅這樣一種方案就足以為公共物品提供資金,這基本上是“錯誤的”:它基于效用函數在單個點上精確的無限導數的非一般假設。任何平滑的正弦結構都會破壞這一點并導致任意資金不足,無論結構如何。對于值的通用信息結構的字面上不連續的收益函數也是如此。有關競選財務改革的有影響力的討論,請參見Ackerman和Ayres(2002)、Lessig(2011)和Hasen(2016)。
經Odaily星球日報不完全統計,11月29日-11月28日當周公布的海內外區塊鏈融資事件共57起,較上周有明顯增加;已披露融資總額約為12.41億美元,較上周數據有一定下降.
1900/1/1 0:00:00撰文:YvesLaRoseEOS網絡基金會ExecutiveDirector錢包是終端用戶進入區塊鏈生態系統的第一個入口,也是EOS生態長期以來一直缺乏資金、標準化和更多關注的領域.
1900/1/1 0:00:00元宇宙概念持續火熱,對此萌生興趣的新流量源源不斷涌向還一團模糊的新世界。而此刻的元宇宙不僅缺平臺應用,還缺入口和橋梁.
1900/1/1 0:00:00我的朋友小A是一名NFT狂熱愛好者,他的錢包中有著不少熱門頭像NFT。但最近當他想賣些NFT時,卻遇到這樣的問題:一些熱度已逝的NFT即便掛到了地板價,也無法成交;而要再將價格下調,小A又不太甘.
1900/1/1 0:00:00目錄 一、所屬賽道及現狀1.所屬賽道2.現況二、生態介紹及核心運營目標1.生態介紹2.游戲開發技術3.區塊鏈技術4.核心運營目標三、VBN分配及游戲發展規劃1.VBN代幣的主要功能2.
1900/1/1 0:00:00圖片來源:網絡作者:比推獨家ChenZou近幾年,傳統的銀行業務越來越不受人待見,美國一些銀行儲蓄賬戶的年利率甚至可以低到可笑的0.1%;而同期.
1900/1/1 0:00:00