BTC/HKD-0.27%
ETH/HKD-0.32%
LTC/HKD-0.56%
ADA/HKD-1.19%
SOL/HKD-0.89%
XRP/HKD-0.88%導語
本文為QuarkChain創始人兼CEO周期博士為其擔任顧問的項目提供的一套提高資金率的原理設計。目的在于分享DeFi設計思想并同更多DeFi愛好者進行交流,周期博士首先從對Uniswap的資金利用公式出發,分析了Uniswap采用的提高單個交易對資金利用率的方法,然后在這個基礎上設計了更多個幣種構建集合資金池的流動性原始方案,并分析了這種方式能夠帶來的優點如更高的資金利用率,更低的Gas和更高的LP回報。歡迎就本文的模型設計同周期博士進行交流。UniswapV2的簡要回顧
UniswapV2是最受歡迎和最成功的DEX,以交易對形式,通過曲線對成對資產進行定價并進行兌換,其原理如下:

Etherscan現支持以太坊域名服務ENS反向解析:5月12日消息,以太坊域名服務(Ethereum Name Service,簡稱ENS)發推稱,Etherscan目前支持ENS反向解析。ENS反向解析可使用戶的ENS域名成為跨DApp的以太坊賬戶的便攜式用戶名。除Etherscan外,使用此功能的其他DApp包括Uniswap、Opensea、Aavegotchi和Snapshot Labs等。目前,要使用該服務,用戶必須手動啟用反向解決,之后將更改為自動啟動;DApp須在其UI代碼中使用PR。
注:正向解析(Forward resolution,FR)是將一個ENS域名解析到以太坊地址等資源,反向解析(Reverse resolution,RR)是指將一個以太坊地址解析到一個ENS域名。[2021/5/12 21:52:40]
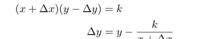
其中x和y是池中資產的余額。給定Δx,為了將Δx交換為Δy,UniswapV2將執行以下計算
BitDNS入選火種源計劃,將為BitCherry生態應用提供域名解析服務:據官方消息,2021年4月14日,BitDNS成為首批加入BitCherry分布式商業生態的合作伙伴。BitDNS將為BitCherry鏈上應用提供分布式域名解析服務,實現一鍵去中心化,幫助企業和個人用戶更加便捷、安全的參與數字資產交易,管理鏈上價值數據信息。BitCherry將攜手BitDNS打造去中心化的網絡生態系統,建立安全便捷的鏈上分布式商業生態體系。[2021/4/14 20:18:34]

這樣兌換后仍然滿足xy=k不變量,價格為

浪潮集團王偉兵:標識解析、標識密碼、區塊鏈是構建工業區塊鏈三個技術要素:金色財經現場報道,12月5日,2020世界區塊鏈大會于武漢舉辦,會上浪潮集團區塊鏈技術研究院首席架構師王偉兵演講表示,消費互聯網是實現人和人的連接的,工業互聯網從技術上看更偏重物,工業互聯網數量多,管理難度大,面向物的標識解析和密碼學適合應用。標識解析的本質是提供名稱映射的分布式數據庫,構建工業區塊鏈的三個技術要素是標識解析、標識密碼、區塊鏈。標識解析需要目錄服務、數據共享,標識密碼主要做設備身份認證、設備寫入鏈,區塊鏈則增強安全,完成可信交易。[2020/12/5 14:06:24]
UniswapV2的一個很大的特點是無需授權-任何人都能夠通過提供代幣創建一個兩種資產的交易對。例如,通過在池中提供x=1ETH和y=3000USDT,LP可以創建一個交易對,ETH最初定價為3000USDT/ETH。盡管UniswapV2獲得了廣泛采用,但UniswapV2的關鍵問題是其資金效率低,因為流動性分布在價格上。這意味著如果兩種資產的價格集中在一個相對較小的范圍內,池中沉淀大部分資產并沒有參與兌換,從而導致高滑點和LP較低的手續費收益。將流動性集中的UniswapV3
V神:預測市場的結果解析層和市場層正在分離:V神在推特表示,預測市場正在分離:結果解析層(如果發生某些事件,給1美元的代幣,沒有發生返回0代幣)與市場層(如何交易這些代幣)分離。[2020/9/26]
UniswapV3通過一種稱為集中流動性的技術改善了低資金效率問題,該技術使用以下曲線:

其中兌換的實際價格在范圍,p_a<p_b。如果設置p_a=0和p_b=+∞,V2本質上是V3的特例。在提供流動性時,UniswapV3會向LP詢問流動性的價格范圍。

動態 | EOS疑似將推出基于EOS的HandShake DNS解析服務:EOS疑似將推出基于EOS 的 HandShake DNS解析服務,一位開發者的Github顯示正在開發EOS-handshake服務。Cosmos社區總監Chjango Unchained4月30日發推表示發現EOS開發者正在復用 Handshake 的開源代碼。EOS或許會加入域名解析服務,生態會進一步擴大。(IMEOS)[2019/4/30]
這允許LP將流動性集中在目標價格范圍內,從而實現更高的資金效率。以穩定幣兌換為例,從下圖中,95%的流動性集中在價格區間,實現了比UniswapV2約2000倍的資金效率。由于流動性集中,兌換USDC/USDT的滑點遠低于V2,因此對于池中提供的相同數量的資產,相比V2LP可以收到更多的手續費獎勵。

由于流動性集中,UniswapV3的TVL增長非常順利,3個月左右達到2.5B。集中多資產的流動性
UniswapV3只為一對資產提供集中流動性。那么一個自然的問題是:「如果在一個資金池中集合多個資產會怎么樣?」通過集中更多資產的流動性,我們可以實現更高的資金效率,因為資產可以共享一個池中的流動性而不是各自的流動性。相比之下,在V3中,由于直接兌換的流動性不足,兌換可能會被路由到多個交易對。例如,交換TUSD->BUSD可能會被路由到TUSD->USDT->BUSD,這意味著交易者將支付更多的費用,滑點也隨之提高。所以核心問題是「多資產流動性集中的曲線應該是怎樣的?」遺憾的是,答案并不簡單,而是更為復雜。讓我們從從集中流動性能夠獲益最多的穩定幣兌換開始。假設兩個穩定幣的價格在之間,我們可以將V3曲線簡化為

其中=。簡化曲線的好處是它有點對稱。首先,讓我們先添加第三個穩定幣交易對,得到以下等式

請注意,三個資產的方程與兩個資產方程相比有一些細微變化:●等號右邊是L3而不是L2●等號左側我們使用p的立方根,而不是使用p的平方根。依靠這個等式,我們有一個關鍵結果:

命題1.給定池中任意數量的資產,{x,y,z},通過上圖曲線交換任意兩個代幣的價格會在的范圍內示例:三個幣種均勻分布的情況●3個穩定幣,取小數點后6位●x,y,z=,即每個資產在池中各有1M●p=0.999,即價格區間為由于三項相等,我們有:L=x/(1—?0.999)=2998.99977x請注意,與xy=k曲線相比,我們的資金效率約為2000倍。用10,000e6的代幣0交換代幣1將返回9999.96e6T1,曲線看起來像

●多個價格區間。例如,假設我們有p_0<p_1,LP可以選擇其流動性的價格范圍之一。因此,該算法將聯合求解以下方程以進行兌換。

●不同資產的不同價格范圍,其中的等式可能看起來像

結束語
集合資產的流動性是DEX中最熱門的話題之一,因為它具有以下好處:●更高的資金效率●降低滑點●更多LP收益UniswapV3是第一個為成對資產提供集中流動性的DEX。對于穩定幣兌換,資金效率可以提升至2000倍。我們也設計出了一個可以集中超過三個資產的流動性池:●在多種資產之間共享流動性●非常適合穩定幣兌換●可以成為同一資產穩定幣互換市場中的競爭性產品●用Solidity編寫的智能合約
Tags:UNISWAPUniswapUSDuni幣歷史最高價和最低價IX SwapUniswap FinanceUSDSB
撰文:IanKane本文編譯自DappRadar隨著新的NFTs與日俱增,Gas戰爭愈演愈烈。與DeFidapps交互的活躍錢包數量在8月份下降了17%,而與此同時,NFT的炒作不斷增加.
1900/1/1 0:00:00dYdX是最早成立并推出可用產品的去中心化期貨交易所,為訂單簿式DEX,交易者之間進行點對點交易,由做市商和多空雙方交易者三方博弈.
1900/1/1 0:00:00一幅電子圖片,最多能賣多少錢?答案是6930萬美金。數字藝術家Beeple不久前就在佳士得上拍賣出了這樣的一張圖片:這幅名為《每一天:最初的5000天》的圖片,由Beeple在過去十三年里每天的.
1900/1/1 0:00:009月10日,Centrifuge聯合Odaily星球日報和PolkaWorld舉辦「星際巡航——與Centrifuge一起探索波卡DeFi新范式,暨Altair平行鏈競拍發布會」.
1900/1/1 0:00:001.前言 拒絕服務(DoS):DoS是DenialofService的簡稱,即拒絕服務,任何對服務的干涉,使得其可用性降低或者失去可用性均稱為拒絕服務.
1900/1/1 0:00:00播報數據由Greeks.liveDataLab格致數據實驗室和Deribit官網提供。昨日晚間沃爾瑪和LTC合作的假消息帶動主流幣上漲,被證實為假消息后跌去全部跌幅.
1900/1/1 0:00:00