BTC/HKD+1.58%
ETH/HKD+1.36%
LTC/HKD+1.22%
ADA/HKD+0.83%
SOL/HKD+1.61%
XRP/HKD+1.51% 
之前UniswapV3推出的時候,不少小伙伴們在想:Curve會不會被UniswapV3干掉。如今CurveV2出來了。Curve非但沒有被干掉,且其前進的步伐更進一步。從目前看,Curve的TVL達到91.7億美元,接近于第一位的AAVE,按照當前趨勢,Curve的TVL在未來一段時間有一定的概率超過AAVE位居首位。

目前UniswapV3的TVL是16.1億美元,UniswapV2為44.2億美元,僅從鎖定資產總量看,距Curve有較大距離。雖然TVL不能代表全部,但從一個側面說明了Curve發展的迅速,它對于資金的吸引力在增強,之前不少人擔心Curve會被UniswapV3干掉的局面并沒有發生。Uniswap的V3更適合專業的做市商
要想理解CurveV2的迭代,理解Uniswap的迭代也有幫助。在UniswapV2的設計中,其所有LP的做市模式是無差別的,唯一差異是每個LP因為其提供的做市資金不同而產生份額比例的不同。在這種設計機制下,計算貢獻的主要方式是資金和時間,資金份額越大,提供時間越長,收益越大。因此,LP增加其收益方法是,增加其份額比例和提供時間。UniswapV3則打破了這種設計,引入了競爭性的模式。對于LP來說,要想獲得更大的收益,不僅關乎投入的資金量,也關乎LP的策略設置。在這種情況下,對于專業的LP提供商有利,對于非專業的普通用戶或大資金提供者不一定有利。在UniswapV3的流動性提供機制設計下,LP可以將其提供流動性的資金進行個性化設置,將其資金自定義地置于某個區間,以增大其資本的利用率,同時獲得了更高的杠杠,有利于獲得更大的收益,不過,同樣不可避免的是,也增加了相應的無常損失的風險。總結來說,當LP將其資金聚集在當前市場匯率的周圍時,本質上是對市場趨勢的一種判斷。流動性聚集區間越窄,可獲得的杠杠越高,收益也可能越高,但如果波動過大,則無常損失也會相應增大。因此,會有大量的LP不斷進行各種策略的探索,從目前看,大量的資金都匯集在50%的波動性范圍之內。
Beosin:Skyward Finance項目遭受攻擊事件簡析:金色財經報道,根據區塊鏈安全審計公司Beosin旗下Beosin EagleEye 安全風險監控、預警與阻斷平臺監測顯示,Near鏈上的Skyward Finance項目遭受漏洞攻擊,Beosin分析發現由于skyward.near合約的redeem_skyward函數沒有正確校驗token_account_ids參數,導致攻擊者5ebc5ecca14a44175464d0e6a7d3b2a6890229cd5f19cfb29ce8b1651fd58d39傳入相同的token_account_id,并多次領取了WNear獎勵。本次攻擊導致項目損失了約108萬個Near,約320萬美元。Beosin Trace追蹤發現被盜金額已被攻擊者轉走。[2022/11/3 12:12:36]



Beosin:EthTeamFinance項目遭受到了漏洞攻擊事件簡析:據Beosin EagleEye 安全預警與監控平臺檢測顯示,ETH鏈上的EthTeamFinance項目遭受漏洞攻擊,攻擊合約0xCFF07C4e6aa9E2fEc04DAaF5f41d1b10f3adAdF4通過LockToken合約的migrate函數沒有正確驗證_id和params的漏洞,將WTH,CAW,USDC,TSUKA代幣從V2流動性池非法升級到V3流動性池,并且通過sqrtPriceX96打亂V3流動池的Initialize的價格,從而獲取大量refund套利。共計套利了約1300多萬美元。[2022/10/27 11:49:12]



慢霧:GenomesDAO被黑簡析:據慢霧區hacktivist消息,MATIC上@GenomesDAO項目遭受黑客攻擊,導致其LPSTAKING合約中資金被非預期的取出。慢霧安全團隊進行分析有以下原因:
1.由于GenomesDAO的LPSTAKING合約的initialized函數公開可調用且無權限與不可能重復初始化限制,攻擊者利用initialized函數將合約的stakingToken設置為攻擊者創建的虛假LP代幣。
2.隨后攻擊者通過stake函數進行虛假LP代幣的抵押操作,以獲得大量的LPSTAKING抵押憑證。
3.獲得憑證后再次通過initialized函數將合約的stakingToken設置為原先真是的LP代幣,隨后通過withdraw函數銷毀LPSTAKING憑證獲取合約中真實的LP抵押物。
4.最后將LP發送至DEX中移除流動性獲利。
本次事件是因為GenomesDAO的LPSTAKING合約可被任意重復初始化設置關鍵參數而導致合約中的抵押物被惡意耗盡。[2022/8/7 12:07:06]
從上面的圖中,我們可以看出,絕大多數的流動性都往當前匯率價格附近聚集,且有些流動性的聚集度非常高。通過流動性聚合,UniswapV3本質上是引入了LP做市的競爭。會玩的LP可以根據市場的波動將其流動性進行合理調整,以獲取更大的收益;而有些LP調整如果沒那么及時,其收益就會降低,甚至如果市場價格波動到其價格范圍之外,其流動性資金也無法賺取費用。當然,如果LP設置的價格區間過窄,無常損失也會更大。收益越高風險越大,這一點并沒有變化。但如果設置不到位,收益變小,甚至沒有收益。因此,根據市場的變化,需要講究策略。在這種情況下,作為普通LP可能越來越無法跟專業的LP競爭,在交易市場總量相對的情況下,專業LP會賺取更多的收益。因此,可能會催生更多的做市策略商,它們的資金不一定多,但如果其策略足夠好,它可以幫助其他非專業的LP進行做市管理。普通LP可以將其資金存入到專業做市管理商的合約中,由這些專業的策略商聚合后進行統一管理,包括如何選擇價格范圍、重置的頻率等。在UniswapV3的設計下,大資金不一定收益就更高,策略的權重在上升。CurveV2也適合普通LP的參與
慢霧:BSC項目Value DeFi vSwap 模塊被黑簡析:據慢霧區情報,幣安智能鏈項目 Value DeFi 的 vSwap 模塊被黑,慢霧安全團隊第一時間介入分析,并將結果以簡訊的形式分享,供大家參考:
1. 攻擊者首先使用 0.05 枚 WBNB 通過 vSwap 合約兌換出 vBSWAP 代幣;
2. 攻擊者在兌換的同時也進行閃電貸操作,因此 vSwap 合約會將兌換的 vBSWAP 代幣與閃電貸借出的 WBNB 轉給攻擊者;
3. 而在完成整個兌換流程并更新池子中代幣數量前,會根據池子的 tokenWeight0 參數是否為 50 來選擇不同的算法來檢查池子中的代幣數量是否符合預期;
4. 由于 vSwap 合約的 tokenWeight0 參數設置為 70,因此將會采用第二種算法對池子中的代幣數量進行檢查;
5. 而漏洞的關鍵點就在于采用第二種算法進行檢查時,可以通過特殊構造的數據來使檢查通過;
6. 第二種算法是通過調用 formula 合約的 ensureConstantValue 函數并傳入池子中緩存的代幣數量與實時的代幣數量進行檢查的;
7. 在通過對此算法進行具體分析調試后我們可以發現,在使用 WBNB 兌換最小單位(即 0.000000000000000001) vBSWAP 時,池子中緩存的 WBNB 值與實時的值之間允許有一個巨大的波動范圍,在此范圍內此算法檢查都將通過;
8. 因此攻擊者可以轉入 WBNB 進行最小單位的 vBSWAP 代幣兌換的同時,將池子中的大量 WBNB 代幣通過閃電貸的方式借出,由于算法問題,在不歸還閃電貸的情況下仍可以通過 vSwap 的檢查;
9. 攻擊者只需要在所有的 vSwap 池子中,不斷的重復此過程,即可將池子中的流動性盜走完成獲利。詳情見原文鏈接。[2021/5/8 21:37:37]
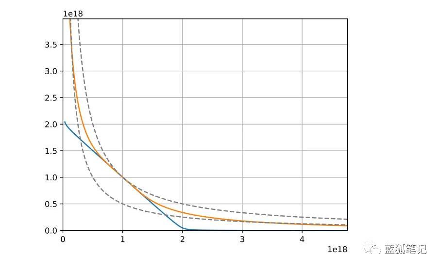
CurveV2跟UniswapV3在聚集流動性和提升資本效率方面目標相同,但具體方法不同,最終對于不同主體的影響也不同。*CurveV2價格曲線的兼容性CurveV2在兼容性上表現不錯。下面是CurveV2白皮書上的圖:
Harvest.Finance被黑事件簡析:10月26號,據慢霧區消息 Harvest Finance 項目遭受閃電貸攻擊,損失超過 400 萬美元。以下為慢霧安全團隊對此事件的簡要分析。
1. 攻擊者通過 Tornado.cash 轉入 20ETH 作為后續攻擊手續費;
2. 攻擊者通過 UniswapV2 閃電貸借出巨額 USDC 與 USDT;
3. 攻擊者先通過 Curve 的 exchange_underlying 函數將 USDT 換成 USDC,此時 Curve yUSDC 池中的 investedUnderlyingBalance 將相對應的變小;
4. 隨后攻擊者通過 Harvest 的 deposit 將巨額 USDC 充值進 Vault 中,充值的同時 Harvest 的 Vault 將鑄出 fUSDC,而鑄出的數量計算方式如下:
amount.mul(totalSupply()).div(underlyingBalanceWithInvestment());
計算方式中的 underlyingBalanceWithInvestment 一部分取的是 Curve 中的 investedUnderlyingBalance 值,由于 Curve 中 investedUnderlyingBalance 的變化將導致 Vault 鑄出更多的 fUSDC;
5. 之后再通過 Curve 把 USDC 換成 USDT 將失衡的價格拉回正常;
6. 最后只需要把 fUSDC 歸還給 Vault 即可獲得比充值時更多的 USDC;
7. 隨后攻擊者開始重復此過程持續獲利;
其他攻擊流程與上訴分析過程類似。參考交易哈希:0x35f8d2f572fceaac9288e5d462117850ef2694786992a8c3f6d02612277b0877。
此次攻擊主要是 Harvest Finance 的 fToken(fUSDC、fUSDT...) 在鑄幣時采用的是 Curve y池中的報價(即使用 Curve 作為喂價來源),導致攻擊者可以通過巨額兌換操控預言機的價格來控制 Harvest Finance 中 fToken 的鑄幣數量,從而使攻擊者有利可圖。[2020/10/26]

藍線是其穩定幣兌換曲線,是CurveV1的兌換曲線,而黃線是更通用的代幣兌換曲線,是CurveV2的兌換曲線。從這條曲線,我們可以看到它的兼容性:一方面,兼顧了V1的穩定幣兌換,同時還兼顧流動性的尾部,由此應對匯率的快速變化。相對而言,在UniswapV3,絕大部分的流動性會集中在于盤口附近,尾部的流動性可能極小,我們在上面的實例中可以看到,這在事實上已經發生。*CurveV2的自動化做市上面我們提到,UniswapV3也可以改變其流動性聚集點,不過,它主要是通過LP們對市場的判斷進行主動化的管理來達成。而CurveV2則是根據預言機進行自動化的調整。這使得普通的LP參與CurveV2更方便,而UniswapV3正如上面提到的,逐漸變成了比拼LP策略的陣地,更適合專業的LP做市商。比較來說,UniswapV3是個性化的管理,而CurveV2是自動化的管理,這有點像互聯網時代的個性化設置和自動化推薦之間的關系。互聯網web1.0時代,用戶是受眾,無法上傳內容或個性化管理自己的偏好;而2.0時代用戶可以上傳內容,可以進行個性化設置;而如今則進入智能推薦時代,以算法自動化推送為主,這更符合大多數用戶“懶”的需求。從UniswapV3到CurveV2也一種類似的感覺。那么,CurveV2如何實現其自動化做市?*不斷變化的新曲線CurveV2為什么可以實現自動化的做市管理?可以讓LP無須主動設置即可實現其流動性的再平衡?CurveV2的價格曲線并不是固定不變的。它會不斷通過內部預言機的方式來改變其流動性聚集點,一方面可以實現更好的流動性和提升資產效率,也有利于減少LP的無常損失。也就是說,CurveV2的“內部價格預言機”在其流動性聚集點遷移方面起到重要作用。Curve的內部價格預言機機制為EMA,意為指數移動平均線,它會根據Curve中的歷史價格和最新交易價格等綜合得出參考價格。有了EMA,CurveV2可以構建新的價格曲線,使得流動性重新聚集在盤口價格附近。當然,什么時候進行流動性聚集的再平衡,也需要閥值。它會根據EMA來不斷獲取內部匯率的移動,并更新Xcp的變量,以此來衡量波動率。如果匯率波動超過一定的閥值,則會更新曲線,產生新的流動性聚集點,由此保護LP的利益。這對Curve2的所有LP都是一樣的,不用主動設置其流動性的價格范圍,由系統根據其預言機價格自動將LP的流動性聚集到盤口價格附近。由于是通過自動再平衡來調整流動性的聚集,不同LP之間的流動性只有數量和提供時間差異,沒有其他方面的差異,這跟之前的流動性提供沒有區別,因此其LP份額代幣依然可以是同質化的代幣,這有利于其可組合性。而UniswapV3由于不同LP做市價格范圍不同,只能用非同質化的代幣NFT來表達。在UniswapV3,LP除了自行設置價格范圍,還可以自定義手續費用。而在CurveV2,這也是以自動化方式來解決。如果市場價格接近于流動性聚合的中點位置,其手續費最便宜,如果偏移越大,其費用會越高。總結來說,從LP做市的角度,UniswapV3越來越適合專業的LP來玩,相對而言,普通的LP較難跟上其調整的節奏,如果沒有及時調整,很難爭取到其做市的收益。這也催生了專業的LP,可以為普通的LP提供做市管理的服務。CurveV2則不用考慮這一點,只需要將資金注入到其流動性池,剩余的事情交由協議來完成,協議會根據價格的波動,不管構建新的價格曲線,將流動性聚集在交易價格附近。跟CurveV1相比,CurveV2的價格均衡點會不斷移動,會產生不斷變化的曲線,就像是形成了一個虛擬的面。這種不斷變化的曲線,使得流動性永遠朝匯率附近聚集,提升資本效率,并減少了無常損失,同時對于用戶來說,也可以降低滑點。假設Sushiswap采用Curve2的模式
在目前的競爭態勢下,Sushiswap采用UniswapV3的做市模式,不如采用CurveV2的做市模式,從某種意義上,CurveV3更貼近DEX內在的發展趨勢。當然UniswapV3也有其靈活性的特點,也有不少優勢。假設SushiSwap采用了CurveV2的做市模式,鑒于其目前的用戶數和多鏈平臺的策略,也許通過它可以更接近于Uniswap。從UniswapV3的迭代,再到CurveV2的迭代看,未來的DEX格局還存在很大的變數。還要考慮到一點,就是DeFi目前還處于非常早期的階段,如逆水行舟,不進則退。我們可以來看看,DeFi上最重要的領域之一借貸市場的情況:去年六月,MakerDAO和Compound的用戶數占據整個DeFi借貸市場的絕大部分,而AAVE僅有10%左右,如今,AAVE用戶數占據市場的57%以上,而MakerDAO和Compound分別下降到19%和24%左右。

DeFi的未來版圖不會是固定的,而是充滿無限可能性。
Tags:CURCurveSWAPUniswapExcursion TokenLP-yCurvePSWAP價格Uniswap Finance
隨著加密資產市場下行,鏈上DeFi鎖倉數據也在下降。根據DeFiPules數據顯示,7月22日,DeFi市場鎖倉資金額在575億美元,據頂峰時期的1000億美元,縮水近50%,但別個資管協議的鎖.
1900/1/1 0:00:00據OurNetwork數據顯示,目前Polygon已擁有以太坊上20.38%的DAU以及幣安智能鏈上20.09%的DAU.
1900/1/1 0:00:00本文來自比推Bitpush.News,星球日報經授權轉載今日,在眾議院金融服務委員會小組委員會的聽證會上,加密貨幣的話題再次亮相.
1900/1/1 0:00:00目前在DFINITY上開發生態應用除了Motoko編程語言之外,還有Rust。Rust是一門系統編程語言,相對于應用級編程語言它更接近于硬件層面并為上層的應用軟件提供支持.
1900/1/1 0:00:00作者|JamieBurke 像《頭號玩家》這樣的科幻作品,將"Metaverse"既描述為一個終點,也描述為一個捕捉和控制的反常過程.
1900/1/1 0:00:00連金沙江創投都在了解Crypto了。律動獲悉,近期金沙江創投、光速中國、北極光創投等創投基金都在關注加密賽道。國內互聯網VC開始入局Crypto.
1900/1/1 0:00:00