BTC/HKD-1.98%
ETH/HKD-3.17%
LTC/HKD-4.47%
ADA/HKD-4.15%
SOL/HKD-3.55%
XRP/HKD-2.84%撰文|區塊鏈金融分析師.Matlif出品|NEST愛好者已獲作者授權發布NESTProtocol于2021年1月20日成功升級到3.5版本,升級后NEST預言機系統增加了兩個輸出的數據:移動均價和波動率。對用下游合約調用者來說,每調用一次將獲取3個數據:實時價格、移動均價、波動率,但是調用者的調用費用并沒有增加,維持不變。圖表1、2是NESTv3.5近期提供的實時價格、移動均價和波動率走勢圖。NESTv3.5系統增加波動率、均價指標,是NestCore開發者小組在社區的支持下,為滿足下游DeFi對預言機的真實性需求所做的一項重要調整,下面就來具體分析一下NESTv3.5引入均價和波動率預言機的重要意義。首先讓我們來了解一下均價和波動率的概念以及NESTv3.5的均價與波動率的計算公式是怎樣的。圖表1:NESTv3.5提供的實時價格和移動均價

數據來源:Etherscan區塊瀏覽器圖表2:NESTv3.5提供的波動率

加密藝術家Terrell Jones將在蘇富比拍賣“American Dream Life”NFT:金色財經報道,加密藝術家Terrell Jones在社交媒體宣布將在蘇富比拍賣“American Dream Life”NFT,據悉本次拍賣于 2 月 22 日開始,并且通過蘇富比的Contemporary Discoveries Collection拍賣,該作品估價從 6,374 美元到 12,748 美元之間,競價將會在3月1日結束,此前加密藝術家Des Lucrece也宣布和蘇富比達成了1年合約。[2023/2/22 12:21:38]
數據來源:Etherscan區塊瀏覽器一、基礎概念
1.1波動率Volatility波動率是一個統計概念,主要是用來衡量標的資產價格波動的劇烈程度的,是對資產收益率不確定性的衡量,用于反映資產的風險水平,波動率越高,資產價格的波動越劇烈,資產收益率的不確定性就越強;波動率越低,金融資產價格的波動越平緩,資產收益率的確定性就越強。不同的標準下,波動率可以進行不同的分類,按照波動率的計算方法與應用不同,波動率可以分為:隱含波動率、歷史波動率、已實現波動率(高頻波動率/日內波動率)、實際波動率、預期波動率等幾類。1.2移動均價移動均價是指對價格進行移動平均計算,以對原價格的時間序列數據進行修正,從而消除季節變動和個別不規則變動對整體數據的影響,以反映長期趨勢的方法。移動均價的本質是一種低通濾波,它的目的是過濾掉時間序列中的高頻擾動,保留有用的低頻趨勢。移動均價是一個最老也是最流行的一種分析時間序列的常用工具。流行的移動平均包括簡單移動平均、加權移動平均、指數平滑平均。二、計算與衡量
0xScope:Genesis疑似通過Coinbase出售了價值1200萬美元的以太坊:金色財經報道,據0xScope Protocol監測,Genesis疑似通過Coinbase出售了價值1200萬美元的以太坊。此前Genesis向Coinbase轉入數萬枚以太坊,之后Coinbase地址向Genesis轉回了約1200萬枚USDC。[2023/1/20 11:23:44]
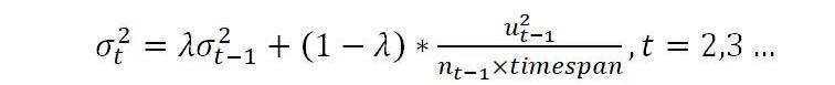
2.1波動率的計算與衡量由于價格是一個隨機過程,實際的波動率永遠是一個未知數,或者說,實際波動率是無法事先精確計算的,人們只能通過各種方法得到它的估計值,這類似于統計學中總體參數的概念,總體參數一般是未知的,需要通過樣本統計量去估計,價格的標準差就是最簡單最常見的波動率統計量,同時樣本和時間周期的選擇都對波動率有較大的影響。考慮到鏈上的計算費用,我們采用指數平滑移動平均模型來計算NEST有效報價的波動率。時間比較久遠的變量值的影響力相對較低,時間比較近的變量值的影響力相對較高。指數平滑法對波動率的計算需要保留上一個的波動率值和最近連續兩個價格數據即可,運行也相對簡單很多,這是一個很好的減少內存空間和gas費消耗的做法。NESTv3.5提供的波動率指標具體計算方法如下。假設NEST預言機區塊價格服從幾何布朗運動模型或資產價格的對數收益服從幾何布朗運動模型。設:
Enumivo團隊成立Regenesis DAO,將向所有ETH和EOS預售參與者分發治理Token:2月17日消息,牛油果 Enumivo 團隊宣布將成立 Regenesis DAO,并宣稱該項目無 IC0、無預挖。根據其 GitHub 文檔,Regenesis DAO 將各有 5 億治理 Token 分發給 ETH 和 EOS 的預售參與者。分發規則是:去除創世區塊持倉小于 1ETH/EOS 的地址,并設定持倉大于 50,000ETH/EOS 的賬戶按照 50,000ETH/EOS 封頂計算,按比例分發治理 Token。[2022/2/17 9:58:15]

則當期波動率可指數平滑移動平均模型來計算,公式為:

其中:

Genesis Mining運營主管:無論交易費用如何,比特幣都是很好的價值存儲手段:針對比特幣及其區塊鏈網絡是否能在不需要第二層解決方案的情況下作為一種價值儲存手段被主流采用,比特幣采礦公司Genesis Mining運營主管Philip Salter表示,無論交易費用如何,比特幣都是一種很好的價值存儲手段。費用越高,能夠有效轉移的最小價值也就越大。然而,如今比特幣被更多地視為一種價值儲存手段,而非數字現金。Philip Salter認為,這種觀念的轉變仍可能引發一些問題。他說:“幾年前,由于交易費用實際上為零,所以1美元的存儲和傳輸是可行的。目前,發送一筆交易很容易花費15美元,所以再發送1美元是不明智的。如果這一趨勢繼續下去,由于更多的比特幣使用和更高的比特幣價格,它將禁止普通金額的價值轉移,它將只會成為非常大金額的有效價值存儲。”Salter補充道:“這就是為什么我認為第二層解決方案不僅對于比特幣作為貨幣的使用是必要的,而且對于比特幣作為價值儲存手段的長期可行性也是必要的。”(Cointelegraph)[2021/1/22 16:48:07]
因為NEST的有效報價有區塊間隔,上述公式可調整為:

Coinnest將開啟比特幣(BTC)市場:4月9日,Coinnest將開啟比特幣(BTC)市場。比特幣市場將支持ETH、ETC、QTUM、NEO、LTC、BCH、TRON、PXS、WTC、KNC的交易。為了紀念比特幣市場的開啟以及回報用戶,Coinnest將進行充值獎勵活動和交易獎勵活動。[2018/3/30]

以此權重計算,最新的50個波動率占90%以上的權重,各數值的影響力隨時間呈指數式遞減,時間越靠近當前時刻的數據影響力越大,σ就是我們所輸出的波動率的指標。2.2移動均價的計算與衡量常見的移動平均包括簡單移動平均、加權移動平均和指數平滑移動平均等,它們的主要區別是計算平均值的公式不同。簡單移動平均是對某個時期內時間數列的過去數據一個不漏地全部加以同等利用,加權移動平均則給予近期價格更大的權重,遠期的價格更小的權重,而指數平滑法則兼容了簡單移動平均和移動平均所長,不舍棄過去的數據,但是僅給予逐漸減弱的影響程度,即隨著數據的遠離,賦予逐漸收斂為零的權數。指數平滑法均價是布朗所提出,布朗認為時間序列的態勢具有穩定性或規則性,所以時間序列可被合理的順勢推延;他認為最近的過去態勢,在某種程度上會持續到最近的未來,所以將較大的權數放在最近的價格。同時像指數平滑法計算波動率一樣,指數平滑法計算均價也只需要保留上一個的均價和最近的一個價格數據即可,運行簡單,減少內存空間和gas費的消耗。所以NESTv3.5采用指數平滑法來計算均價指標,具體計算方法如下:


三、應用與意義
3.1波動率的應用與意義1)波動率是衍生品定價最關鍵的參數之一。對于衍生品金融工具來說,無論是期權、或是更加復雜的金融衍生品,標的物價格波動率都影響衍生品價格的重要因素,比如最著名的布萊克-斯科爾斯期權定價模型,其中就代表標的物的波動率,波動率是影響期權價格的重要因素之一,所以對于下游DeFi的期權項目,波動率對其來說都是剛性需求數據。圖表3:Black—Scholes期權定價公式

圖表4:期權價格影響因素

2)波動率也是風險管理技術最關鍵的參數之一。波動率就是預期收益的標準差,反映了資產的風險水平,是風險的測度指標。而我們知道所有去中心化金融活動都是以管理和處理風險為中心的,所有DeFi項目都要有風險控制,預期市場波動或規避風險,波動率是不可或缺的指標。比如對于下游DeFi借貸項目,由于抵押資產具有極強波動性,抵押率或清算線的制定與選擇極其重要,決定了項目的風險程度,同時又決定了用戶資產的利用率,最優的抵押率或清算線的制定與選擇要考慮的首要指標就是資產的波動率,例如抵押資產是USDT,其價格波動率較小,那么抵押率和清算線應該低一些,如果抵押資產是NEST,其波動率較大,那么抵押率和清算線就要高一些。同樣對于數字資產抵押型穩定幣項目以及NEST社區規劃的平行資產項目,其重要參數的制定與選擇也都離不開波動率指標,比如QIAN穩定幣項目,其的啟動充足率公式就只取決于計算出的實時波動率,基于波動率設立一套自動化調節機制,在用戶資產利用率與清算風險之間尋求最佳平衡,據了解未來NEST生態平行資產項目的抵押率和平倉線也很大程度上取決于抵押資產的波動率。3)基于波動率可以直接設計DeFi金融產品,比如波動率期貨、波動率掉期等,波動率交易是指基于對波動率的分析和預測而進行的交易,它削弱了價格變動對策略的影響,主要依賴波動率本身或波動率背后所蘊含的波動形式來獲取利潤,有其獨特吸引力,市場需求很大,但目前DeFi市場上還沒有基于波動率的金融產品協議。3.2移動均價的應用與意義1)對于某些對價格實時性要求不高的DeFi項目,它們更傾向于采用均價而不是實時價格,這是因為實時價格時間序列的數值受周期變動和不規則變動的影響,起伏較大,不易顯示出發展趨勢,而均價可以消除這些因素的影響,均價有時可能更能準確的反應市場的供需關系。比如抵押資產的清算采用均價來清算或許更合理更公平。比如最近比較火的永續合約項目PerpetualProtocol,其指數價格的喂價來源就是預言機提供的時間加權平均價格。2)對于NEST預言機來說,移動均價格預言機相對實時價格預言機,其對預言機操縱攻擊有更強的抵抗力,所以對價格抗攻擊性要求更高的DeFi項目可以采用均價。3)其實當前第二大預言機Uniswap價格預言機系統,其提供的就是時間加權平均價格,而不是實時的價格數據。4)均價還可以用于排除異常價格數據。根據NEST預言機提供的價格數據,價格偏差高出或低于2.5%以上的概率僅為0.19%。因此可以用公式:

來限制正常價格取值范圍,用來排除異常價格數據。3.3總結NESTProtocol升級到3.5版后,引入了移均價格和波動率預言機,供鏈上開發者使用,正是NEST開發者在深入思考和調研后,為滿足下游DeFi對預言機的真實性需求,對NESTProtocol所作的一次重要的升級迭代,本質也是NEST直面需求的必要選擇。
上周,波卡創始人GavinWood做客區塊鏈投資媒體RealVision,和副主編SebastianMoonjava進行了一個多小時的對談,深入簡出地聊了聊波卡、Kusama的創新之處.
1900/1/1 0:00:00原地址:https://www.finder.com/ethereum-price-update-03-02-2021編者按:本文來自Finder作者:ShirazJagati.
1900/1/1 0:00:00Q1:推動這輪牛市的原因是什么?A:去年十二月十七號,央視2套財經頻道,開始以正面角度報道比特幣.
1900/1/1 0:00:00隨著比特幣的價格再次走高突破36000美元,加密貨幣行業重新出現了看漲信號。看起來市場已經完全消化了過熱的貪婪情緒。29000美元的階段性底部似乎很難在短期內再次被擊穿.
1900/1/1 0:00:00編者按:本文來自彩云區塊鏈,Odaily星球日報經授權轉載。 美國國稅局將挖礦獎勵視為收入美國國稅局于2019年首次發布了其對加密貨幣征稅的指南,并闡明了應如何報告挖礦行業的稅收.
1900/1/1 0:00:00Odaily星球日報譯者|Moni 我之所以要撰寫這篇文章,目的是為了澄清對比特幣的看法。請注意我在這篇文章里面所闡述的內容,因為這些內容并不來自媒體,而是我自己的觀點,所以我覺得這篇文章的內容.
1900/1/1 0:00:00