BTC/HKD-0.53%
ETH/HKD-1.24%
LTC/HKD+0.48%
ADA/HKD-0.61%
SOL/HKD-0.34%
XRP/HKD+0.36%目錄
·簡介組織架構·NPoS支付和通貨通脹通貨膨脹模型支付細節在驗證人插槽中的支付分配波卡網絡將會采用一種名為DOT的原生代幣,我們將其主要功能總結如下:

1.經濟層面:波卡網絡將會自主進行鑄幣或者“銷毀”,將通證隔離并禁止任何人訪問)”的操作,來達到獎勵運行共識協議的節點,為財政注資,控制通貨通脹率的目的。2.罰沒:通證DOTs在旨在減少攻擊或對抗行為的罰沒協議中也起作用在罰沒協議中扮演著去攻擊和去對抗性行為,減少市場摩擦的角色3.治理與監管:DOTs也是代表一定的投票權,讓DOTs持有人通過全民投票表達對治理決策的意見4.平行鏈分配:最后,DOTs通過拍賣和充值等模式,分配不同項目在平行鏈插槽上的歸屬在本章節中,我們重點介紹上面的第一個用途,而其他三個功能我們會分別在不同的章節中分別予以解釋。簡介Polkadot是一個基于權益證明的平臺,在該平臺上,一組擁有DOTs的驗證人節點負責檢測達成共識并生成區塊。如果驗證人的行為違背協議,那么系統會罰沒他的一部分DOTs,反之他將獲得報酬,該報酬大約與他所抵押的DOTs和貢獻度成正比。當選為驗證人的節點集會不斷發生變化中大約每天一次),但數量仍然有限。同時,任何數量的DOTs持有人也可以間接參與決策過程。作為提名人節點,即所謂的權益證明。提名人指出它信任的候選驗證人,并將一些DOTs進行質押為其提名背書。如果在某個時期她的一個或多個提名候選人當選為驗證人,她會與這些被提名的驗證人共享與她的股份成正比的任何經濟獎勵或懲罰。成為提名人是利用DOTs進行投資并幫助保護系統安全的一種方式。實際上,提名人和驗證人所質押的DOT總量越大,系統安全性就越高,因為在任何節點被選為驗證人之前,對手需要更多的DOTs權益。因此,我們的目標是讓驗證人和提名人的質押投資成為DOT總供應量的主要來源。DOT供應的另一大部分將作為凍結的保證金由獲得平行鏈插槽的商業區塊鏈提供。我們最初的目標是將約50%的DOT存入NPoS,并將30%存入平行鏈的保證金。作為參考,在其他PoS項目的質押百分比如下:-Tezos擁有65.73%的質押率、-DASH擁有58.69%的質押率、-Lisk擁有58.20%的質押率、-EOS僅有35.49%的質押率,但這是因為它是DPoS且收益率很低。組織架構
ZK初創公司Polyhedra Network完成1000萬美元融資:金色財經報道,ZK 基礎設施初創公司 Polyhedra Network 完成 1000 萬美元融資,Binance Labs 和 Polychain Capital 領投,Animoca Brands 和 Dao5 等參投。
Polyhedra 使用零知識(ZK)證明技術開發了多種基礎設施產品,包括用于在 Web2 和 Web3 系統之間發送資產的 ZK 橋 (zkBridge) 解決方案、ZK 去中心化身份解決方案(zkDID)和擴容解決方案。Polyhedra 計劃與更多區塊鏈集成,并通過 API 和 SDK 工具讓開發人員更容易訪問。[2023/2/21 12:20:25]
本說明包含以下章節1.NPoS支付和通貨通脹:我們描述了如何在提名的權益證明中獎勵表現良好的驗證人和提名者。由于為此目的,鑄幣DOT是系統通貨通脹的主要原因,因此我們在此處也描述了通貨通脹模型2.交易費用:我們分析中繼鏈上的最佳交易費用,以彌補成本,阻止有害行為并處理活動的最終高峰和并保持較長的包容時間3.財政庫:我們討論了如何以及何時給DOTs漲價或改變匯率來支付網絡的持續維護費用最后,在本文的最后一段中,我們提供了有關Polkadot協議的其他相關參考的鏈接。NPoS支付和通貨通脹我們目前考慮向驗證人和提名人支付其參與區塊生產和最終協議協議的支出。在正常情況下,我們僅考慮以通證的形式支付鑄造新通證的行為。在本文中我們暫時不討論大幅懲罰的知識背景、舉報者和釣魚人的獎勵或交易費的獎勵等,我們將會另列章節討論以上內容。由于這種支付機制是拉動系統通貨通脹的主要驅動力,因此我們首先研究通貨膨脹模型通貨膨脹模型
設x是特定時間點下的NPoS中的質押率,即提名人和驗證人質押的通證總量除以通證總供給的比例。X∈設

為我們長期希望達到的理想質押率。該值可能應介于0.3到0.6之間,我們最初將其設置為\\chi_{ideal}=0.546,如果全網質押率低于該數值,則網絡安全性就難以得到延續,因此,我方強烈鼓勵DOT持有者提高自己的通證質押。另一方面,如果全網質押率遠高于這個值,那么全網通證就會失去流動性,這也是我們不希望看到的,因此我們應大幅減少激勵措施以抑制投資。令i=i為NPoS的年化收益率;即每年所有驗證人和提名者由于生產區塊和使用GRANDPA算法工具所獲得的通證總數除以他們所投入的通證總數。我們認為它是關于x的函數。從直覺上講,i與我們賦予投資者逐利的激勵程度相關。因此,i應該是關于x的單調遞減函數,因為當x增加時,所需的激勵更少。1.為了便于理解,我們研究了年利率。這意味著i是被觀測的某人在一年中連續質押一個DOT的總支出。每個區塊的利率可以很容易地從中計算出來。2.并非每個利益相關集團都會按其質押所占比例獲得報酬。例如,驗證人將比同等質押的提名人獲得更多報酬,而生成區塊的驗證人將比不生成區塊的驗證人獲得更多報酬。因此,i僅作為一個平均的指導利率。可調參量:令
數據:MakerDAO聯創今日再度出售80萬枚LDO,目前仍持有680萬枚:金色財經報道,推特用戶@余燼發推表示,Maker DAO聯合創始人Rune Christensen今天上午通過0x出售了80萬枚LDO,換得223萬枚DAI,出售均價2.78美元,目前他還持有680萬枚LDO(約1900萬美元)。
注:Rune曾在2020年投資獲得2500萬枚LDO,并從2022年1月2日開始陸續出售所持的LDO。[2023/2/16 12:10:40]

是我們在的理想情況下支付的利率。這是我們大多數時候應該支付的利率。我們建議值

,即理想的年利率是20%。令I作為年通貨通脹率,可得:

同時,通貨通脹率由以下公式定義:

其中,

是為支付給提名人和驗證人的通證鑄造數量超發導致的通貨通脹,

是國庫鑄造導致的通貨通脹,

是由于不當行為而引起的通貨緊縮,

歐盟加密貨幣征稅提案將針對世界各地的公司:金色財經報道,歐盟委員會的一項新提案將要求各種規模和地理位置的加密資產服務提供商向稅務機關報告歐盟客戶的交易。向歐盟居民提供加密服務的公司將需要遵守稅務報告規則,以彌補逃稅漏洞。歐盟委員會的目標是在 2026 年 1 月 1 日實施這些新規則。
歐盟委員會在一份聲明中寫道:“稅務當局目前缺乏必要的信息來監控使用加密資產獲得的收益,這些資產很容易跨境交易。” “這嚴重限制了他們確保有效納稅的能力,這意味著歐洲公民失去了重要的稅收收入。”
此前消息,歐盟稅收草案顯示對加密貨幣征稅可能帶來25億美元收入。(The Block)[2022/12/8 21:31:59]
是由交易費用導致銷毀引起的通貨緊縮。區塊生產者從交易費用中獲得的回報并非來自鑄幣,而是來自交易的發起者。同樣,情報遞送員和釣魚人發現不當行為所獲得的回報也并非來自額外鑄幣,而是來自被制裁罰沒的一方。這就是為什么這些條目沒有出現在上面的公式中。

擁有迄今為止公式條目中最大的數量級,因此是整體通貨通脹的主要驅動力。請注意,由于將所有注定要被銷毀的DOTs引導到了中,我們減少了公式中的其他術語。如果我們將

看作是關于質押率x的函數,由此可得

和

之間的的關系:

從我們目前的研究中我們可以推得

俄羅斯專家稱加密貨幣交易平臺或現破產潮:金色財經報道,經濟學家米哈伊爾·別利亞耶夫預測,許多加密貨幣交易平臺將在不久的將來破產。這位專家在11月22日對連塔網發表的談話中說,在全球危機的背景下,加密貨幣投資者對此類貨幣的可靠性和前景失去了信心,他們現在正尋求投資更可靠的資產。別利亞耶夫強調,在世界進入經濟動蕩階段之前,投資者一直對加密貨幣的可靠性深信不疑。他解釋說:“在經濟動蕩的情況下,各國會購買黃金。民眾會購買能夠保值的不動產或其他資產。現在所發生的就是這種情況:加密貨幣開始遭遇資金抽離,需求下降,一切都崩潰了。”因此,別利亞耶夫指出,可以預料許多交易平臺將停止存在,因為加密貨幣的業務范圍將繼續縮小。[2022/11/29 21:09:31]
因此我們要引導市場將質押利率調整到一個較為理想的水平

,有意義的是,此時的

通脹率應當取最大值。可調參量,

作為當x趨于零時

代表所有驗證人的運營成本的估計參量,表示為總通證供應量的一部分。對于x的取值,我們將確保

,尤其是在x的極限趨于1時。為簡單起見,我們建議通貨通脹函數在x=0和

之間線性增長。另一方面,我們建議其在

以太坊鏈上活躍度達近5年新低:8月14日消息,以太坊網絡活躍度已達近5年最低水平,原因是鏈上部署的合約數量減少,并跌破了30萬個部署,而數值在2021年7月保持在270萬左右。
鏈上合約數量如此迅速的下降與兩個因素有關:一是流入量不足造成的行業整體危機,二是即將到來的基本面更新可能造成風暴前的平靜。
2021年夏季已部署合約數量的飆升,是以太坊價格上漲的催化劑,幾乎將以太坊推到了5000美元的價格。網絡上已部署解決方案數量大幅下降的主要原因之一是,一段時期內費用極高,使開發人員失去動力,并造成僵局,網絡上沒有出現新的解決方案。(U.Today)[2022/8/14 12:24:53]
和x=1之間呈指數遞減。當x通過ε的變化少量增加時,我們選擇

的指數下降的指數下降,因為這也意味著i的指數下降,并且我們希望利率急劇下降到

以上以避免流動性不足,同時仍然能夠控制其變化率,

移動d個單位通貨通脹率最多降低50%,即

,

,

和d。令

上式檢驗如下,對于所有的

,

等價于

取最大值在

,即可取到

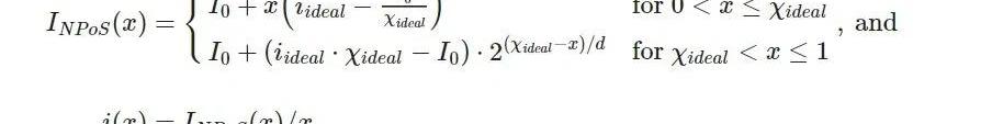
此時i呈單調遞減可以通過此鏈接為不同的參數繪制這些函數:https://www.desmos.com/calculator/2om7wkewhr舉例來說,當

我們可以得到下圖,I(x)呈綠色,

呈藍色

支付細節
大多數正常情況下的驗證人會涉及幾種協議,我們會獎勵他們的成功參與或懲罰罰沒他們的滯后響應等違規操作。從這個角度來看,我們選擇易于檢測的方式,決定僅對驗證人和提名者在通過有效性檢測和區塊生產后進行獎勵。在有效性檢查中,我們會因此得到獎勵:平行鏈驗證人對于每個平行鏈發出的有效性聲明。在區塊生成中,我們會因此得到獎勵:1.用于在中繼鏈中生產區塊的塊生產者,2.區塊生產者引用以前未被引用過的叔塊3.每個被引用的叔塊生產者因此,這些被視為“應付款活動”。我們定義了一種積分系統,在該系統中,驗證人為執行的每個應付款操作都能賺取一定數量的積分,并且在每個周期結束時,其支付的積分都與他們獲得的積分成正比。。可調參量:我們建議的積分制度如下:1.每份有效性聲明獎勵20積分2.每生成一個區塊獎勵20積分3.針對先前未被引用的叔塊的每個引用的塊生產者獎勵2積分4.每個被引用的叔塊生產者1積分請注意,此處重要的不是絕對積分,而是積分比率,該比率確定了應付結算的報酬比率。這些積分是要由財政部進行調整的參數。對于每一個周期e每個驗證人v,我們都會設置一個積分計數器

。令

來表示在單位周期e內驗證人所獲得的積分總數,同時令

表示在該周期e中所有驗證人和提名人的目標支付總數(請參見有關通脹模型的上一部分,以了解如何建立

)然后,在該周期e的末尾,對應于驗證人v及其提名人的支出為

值得注意的是,我們還可以使用計數器來標記無響應性的次數:如果驗證人在某個時期內在應付款操作中獲得了接近零的積分,我們會將其淘汰。有關更多詳細信息,請參見“罰沒”注釋。在驗證人插槽中的支付分配

在任意給定的時期(era)內,提名人的質押股份通常分布在幾個驗證人中,例如提名人n70%的股份分配給驗證人1,20%分配給驗證人2,10%分配給驗證人3,依此類推。這個分配是由在每個周期開始時運行的NPoS驗證人選舉機制自動決定的。如果有m個驗證人,則該股份的分配會將全局的股份質押池劃分成m個插槽:每個驗證人一個。每個驗證人席位中的股份包括該驗證人股份的100%,以及批準該驗證人的每個提名人股份的一小部分。有時我們將驗證人的股份稱為“自我質押”,以區別于驗證人插槽的股份,后者通常更大。在上一小節中,我們解釋了如何在給定時期將支出分配給每個驗證人插槽。在本小節中,我們將說明如何在插槽內分配此付款。最終,提名人在給定時期的支出對應于其每個已進行質押的插槽的支出之和。我們注意到,由于沒有一個提名者或驗證人可以單獨控制并將上述股份劃分到驗證人插槽內或控制確切的支付行為,沒有一個參與者會事先知道他們在一個時期會得到多少獎勵。在未來,我們可能會允許提名者指定他們想要的利率。目前我們暫時屏蔽了這個特性,以簡化驗證人選舉機制要解決的相應優化問題。我們還指出,我們的機制會盡可能多地獲得提名人的可用股份;即,如果提名人至少選舉了一位其批準的驗證人,則她所有的可用股份將被使用。這個想法是,更多的質押會帶來更多的安全性。相比之下,我們遵循的政策是,驗證人插槽在同等工作中應獲得同等的報酬,而不是按照各自的質押比例支付。因此,如果一個驗證人插槽A的質押權益比另一個驗證人插槽B的質押權益少,那么A的當事方為每個被抵押的DOT支付的費用更高。這應該激勵提名人在未來的時代迅速調整自己的偏好,去投資正在坐冷板凳的驗證人,以便我們可以在驗證人席位之間實現更加平衡的利益分配。這也應有助于新驗證人的候選人有更大的機會當選,這對于確保去中心化很重要。在驗證人的插槽內,付款過程如下:首先,向驗證人v支付其“傭金”,該金額完全由v來決定,并由提名人事先公開宣布,然后提名人才公開投票贊并為該時期揭幕。該費用旨在支付v的運營成本。然后,其余部分在各方之間按其在驗證人席位中的質押比例分配。換句話說,在付款時,驗證人v被視為兩個實體:獎勵固定傭金的無抵押驗證人,和與其他提名者一樣按比例獎勵的質押提名者。請注意,驗證人設定的更高的傭金費用意味著對他而言提名人的總支出較高,而提名人的支出較低時,由于此費用是事先公開的,因此提名人將更愿意以較低的費用支持驗證人。因此,我們讓市場進行自我調節。一方面,具有高傭金費用的驗證人候選人冒著得不到足夠的選票被選為驗證人的風險。另一方面,在可靠性和高性能方面樹立了良好聲譽的驗證人可能會免除被收取更高的費用,因為它們仍然比其他驗證人更受青睞。對于提名人來說,支持風險更大的驗證人將獲得更多獎勵。
Tags:DOTPOS加密貨幣POLpolkadotstingray樂隊POSS價格加密貨幣總市值為1963億美元POLA幣
整理|秦曉峰出品|Odaily星球日報 8月28日,「2020新區勢·區塊鏈科技金融峰會」在北京舉辦.
1900/1/1 0:00:00編者按:本文來自Cointelegraph中文,作者:Alex,Odaily星球日報經授權轉載.
1900/1/1 0:00:00編者按:本文來自威廉閑談,作者:陳威廉,Odaily星球日報經授權轉載。“人人都在賺錢,那到底,誰在虧錢”?這個問題最近經常在沒參與defi,沒參與流動性挖礦,沒參與山寨狂歡的投資者的口里聽到.
1900/1/1 0:00:00編者按:本文來自巴比特資訊,作者:BillyBambrough,編譯:隔夜的粥,星球日報經授權發布。時隔3年,幣圈在9月4日再次迎來了瀑布,只不過這一次并沒有政策方面的因素.
1900/1/1 0:00:00編者按:本文來自蜂巢財經News,作者:凱爾,Odaily星球日報經授權轉載。被投資者稱為「壽司」的SushiSwap莫名傳遍了炒幣群,緊接著,在HBO三大所上快速出現,上線不到一周,鎖倉13億.
1900/1/1 0:00:00編者按:本文來自慢霧科技,Odaily星球日報授權轉載。前言據鏈聞消息,DeFi項目YFValue發布公告稱,團隊于昨日在YFV質押池中發現一個漏洞,惡意參與者借此漏洞對質押中的YFV計時器單獨.
1900/1/1 0:00:00