BTC/HKD-2.22%
ETH/HKD-3.86%
LTC/HKD-2.89%
ADA/HKD-3.19%
SOL/HKD-3.24%
XRP/HKD-2.76%Overview概述項目優勢一:在過去一周整個去中心化交易所市場的整體交易額為15.85億美金,其中Uniswap過去一周交易額排名第一,交易總金額為7.3億美金。Uniswap作為去中心化交易所賽道的最大交易平臺,占據了46.08%的市場份額,是該賽道絕對領先者,有望享受的網絡效應,繼續領跑該賽道。項目優勢二:Uniswap采用的模型,使用戶可以直接在兌換池進行代幣兌換,不僅改變了以往的訂單簿交易模式,而且降低了做市的門檻,讓每一個用戶都可以成為某一個交易對的做市商,并分享手續費收益。該機制是DeFi領域的巨大創新,有望進一步搶占傳統中心化交易所的用戶和流量。自2018年10月上線以來,Uniswap的用戶數量呈現指數級增長,截止目前合計約14萬用戶,每月用戶數量的復合增長率約34%。項目風險一:當前Uniswap的流動性池總金額為227,049,095美元,其中前五大交易對占整體金額的40.39%。金額最大的交易對為ETH-AMPL,僅此一個項目就占整體交易金額的14.69%。Uniswap上的交易量嚴重依賴少數頭部項目,如果頭部項目的交易額以及流動性做市出現下跌,會對整個平臺的交易金額產生極大負面影響。項目風險二:當前Uniswap并不需要對平臺上的用戶進行KYC/AML審核,也沒有建立對平臺上交易的項目代幣的審核機制,所以平臺上出現了大量的詐騙項目,讓用戶產生巨大損失。此類大量詐騙項目的發生,會使得Uniswap團隊承受較大的潛在法律風險。市場前景去中心化交易所經過3年左右時間的發展,已經開始展現出了迅猛發展的態勢,特別是自動做市商制度的推出,更是將去中心化交易所的交易金額由之前的百萬美金級別增長到現在的十億美金級別。根據統計網站DuneAnalytics公布的數據,現在去中心化交易所每天的交易額已經達到3億美金,每月的交易額也將近45億美金。圖一:去中心化交易所每月交易金額統計
Applied Digital簽署價值4.6億美元的人工智能托管交易:金色財經報道,比特幣礦業公司Applied Digital (APLD) 在周五表示,該公司簽署了一項在其數據中心托管人工智能 (AI) 云計算負載的協議,該協議在36個月內價值可能高達4.6億美元。宣布兩個月內的第二份人工智能托管協議后,APLD的股價在飆升了17%。
與其他加密貨幣礦商一樣,Applied Digital 一直在尋找替代收入來源,以在加密貨幣市場不冷不熱的情況下增加收入。可能性包括人工智能、云計算和其他預計將繼續增長的高性能計算應用。
今年 5 月,Applied Digital 表示,該協議在未來兩年內價值高達 1.8 億美元。它與硬件制造商 Supermicro 合作提供人工智能和云產品。[2023/6/24 21:56:56]

來源:DuneAnalytics市場份額
根據統計網站DuneAnalytics公布的數據,在過去一周整個去中心化交易所市場的整體交易額為15.85億美金,其中Uniswap一周交易額排名第一,交易金額為7.3億美金,整體占比為46.08%。交易金額排名第二的為去中心化交易所Curve,過去一周交易額為2.76億美金,交易額占比為17.39%。綜上所述,目前Uniswap的市場份額處于絕對領先地位,占據了整個去中心化市場份額的一半左右。表一:去中心化交易所近一周交易額排名
國際貨幣基金組織將穩定幣發行人和企業集團列為重要監管目標:金色財經報道,國際貨幣基金組織(IMF)表示,加密市場“艱難的一年”凸顯了對該行業進行全面和一致監管的必要性,這表明穩定幣發行人和加密集團需要有銀行式的資本要求。在周二發布的全球金融穩定報告中,國際貨幣基金組織與金融穩定委員會的標準制定者一起呼吁在經歷了一年主要交易所和加密貨幣相關銀行倒閉后對加密貨幣行業進行一致的國際監管。報告稱,“加密資產生態系統中多個實體的崩潰再次讓人們更加迫切地需要全面、一致的監管和充分的監管”,重點是保護消費者和公司治理。
該報告補充說,法規應涵蓋加密存儲、轉移、交換和儲備保管,對執行多種功能的人和穩定幣的發行人有額外的審慎要求——尋求保持其價值相對于法定貨幣的代幣。[2023/4/12 13:58:00]

來源:標準共識、DuneAnalytics市場定位
Uniswap目前是建立在以太坊網絡上的去中心化加密貨幣交易所,允許用戶直接使用其協議交易加密資產。Uniswap區別于火幣、OKEx等中心化交易所,其將做市商自動化,用既定算法替代人工報價,不僅去掉了中心化的撮合與清結算,還消除了交易中的做市商。做市商不同于普通的交易人員,他們是風險中性的,一手持有代幣,一手持有現金。在訂單薄模式下,會同時發布買單和賣單,中間為差價。做市商是流動性的來源,高流動性市場需要做市商也反過來會吸引規模化的做市商參與。每個人都可以加入流動性池子,只需要將指定的兩種資產存入即可,系統通過的模型得出資產價格。產品介紹
加密貨幣交易所Zipmex計劃恢復取款:金色財經報道,知情人士表示,加密貨幣交易所Zipmex由于缺乏流動性而凍結了取款,正計劃進行一個恢復過程,其最終目標是完全重新激活客戶取款。消息人士稱,該計劃有待Zipmex的債權人投票批準。
恢復過程是一項安排,具體細節尚未披露,Zipmex預計將在明年4月初左右生效,屆時它將獲得債權人保護。
消息人士表示,作為其努力的一部分,該交易所希望通過在Zipmex和客戶之間以私人結算的形式提供“管理上更輕松的解決方案”來簡化流程。(CoinDesk)[2022/12/17 21:49:36]
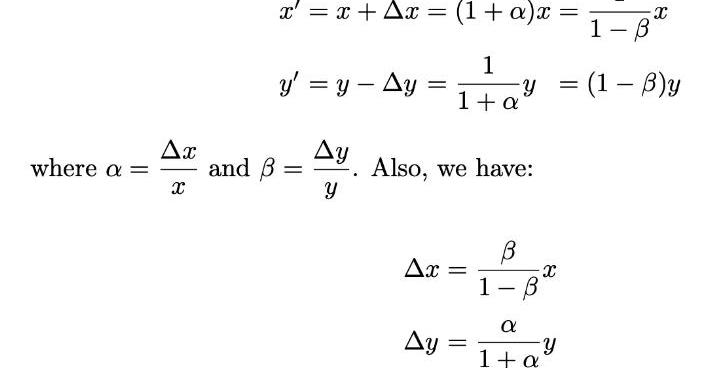
Uniswap作為當前交易額最大的去中心化交易所,其最大的特色是使用了恒定乘積做市商模型。該模型算法,最早來自ETH創始人Vitalik的論文:《Improvingfrontrunningresistanceofx*y=kmarketmakers》。恒定乘積做市商模型公式非常的簡單:x*y=k。令交易的兩虛擬貨幣為X和Y,各自數量為x和y,兩貨幣數量的乘積x*y恒等于k,k值是由第一筆注入的流動性所決定。因此,用?x數量的X幣來購買Y幣所能得到的數量?y、或是為了購買?y需要付出的?x數量,依照此公式進行計算:(x+?x)(y-?y)=k,而交易的價格就是兩幣量?x和?y的比。以下公式用α=?x/x和β=?y/y來表示?x和?y及XY兩幣在交易發生后的新均衡數量:
派盾:多鏈錢包UvToken遭遇攻擊,黑客獲利約150萬美元:金色財經報道,據派盾預警監測,多鏈錢包UvToken遭遇攻擊,UVT代幣價格下跌99%,攻擊者已將盜取的約5011枚BNB(價值約150萬美元)轉入Tornado Cash。[2022/10/27 11:47:58]

融資/估值情況
2019年4月,Uniswap完成種子輪融資,融資金額約100萬美元,投資方為投資機構Paradigm,如果按照20%的稀釋額度測算,預期估值約500萬美元。2020年8月7日,Uniswap創始人HaydenAdams在官網發文宣布正式獲得由a16z牽頭的1100萬美元A輪融資,其他投資者還包括USV、Paradigm、VersionOne、Variant、ParafiCapital、SVAngel和A.Capital。如果按照8%-15%的稀釋額度測算,預期估值約1.5億美元。表二:Uniswap歷史融資情況

Mark Cuban因涉嫌推廣借貸平臺Voyager Digital而被起訴:金色財經報道,億萬富翁Mark Cuban因涉嫌向達拉斯小牛隊粉絲推廣借貸平臺Voyager Digital而被起訴。[2022/8/11 12:18:20]
來源:標準共識、公開資料代幣情況
Uniswap至今還未發行平臺代幣。競爭對手分析
目前在去中心化交易所賽道,主要的項目約為13個,如果按照交易類型分類,則可以主要分為兩大類:兌換池和訂單簿。兌換池類型的去中心化交易所主要是采用自動做市商制度,交易用戶直接按照當前價格進行幣種兌換,以Uniswap為代表。而訂單簿類去中心化交易所采取的交易機制類似于OKEx等傳統中心化交易所,買賣雙方通過掛單撮合成交,以0x、IDEX等項目為代表。表三:去中心化交易所項目基本情況統計

來源:標準共識、DuneAnalytics通過上述對比,Uniswap目前在成交金額方面暫時遙遙領先,占據了整個市場約50%的市場份額,其他去中心化交易所數據暫時無法與Uniswap相抗衡。而在交易用戶數量方面,過去一周Uniswap的用戶數量為3,924個,少于Kyber的5,384、IDEX的5,040,在所有的去中心化交易所中排名第三,這說明Uniswap的人均交易金額要高于Kyber和IDEX。社群治理
社交平臺熱度從谷歌指數來看,Uniswap的搜索熱度自2020年3月開始,出現了顯著增長,排名前三的主要搜索地區為中國、圣赫勒拿群島、新加坡。圖二:Uniswap的谷歌搜索趨勢

來源:谷歌趨勢從其他社交平臺粉絲數量來看,項目粉絲數量較多,平臺上的粉絲互動也較為活躍。表四:Uniswap的社區平臺粉絲數量

來源:標準共識、公開信息活躍用戶變化情況自2018年10月上線以來,Uniswap的用戶數量呈現指數級增長,截止目前合計約14萬用戶,每月用戶數量的復合增長率約34%。圖三:Uniswap的用戶總數量歷史表現

來源:DuneAnalytics相關風險
經營風險當前Uniswap的流動性池總金額為227,049,095美元,其中前五大交易對流動性池子金額為91,711,239美元,占整體金額的40.39%。其中最大的流動性交易對為ETH-AMPL,其流動性金額合計為33,346,110美金,占整體比為14.69%。表五:Uniswap平臺上前五交易對流動性池金額

來源:標準共識、UniswapETH-AMPL交易對過去7天的交易金額為96,115,657美金,占Uniswap過去7天交易額的13.16%。所以Uniswap上的交易量嚴重依賴少數頭部項目,如果頭部項目的交易額以及流動性做市出現下跌,會對整個平臺的交易總金額產生極大影響。法律風險當前Uniswap并不需要對用戶進行KYC/AML審核,也沒有對平臺上交易的項目代幣進行審核,所以會出現大量的詐騙項目,讓用戶產生巨大損失。根據DeFi門戶網站DefiPrime的統計,有大量項目方偽造知名項目的代幣在Uniswap上進行交易,比如在2020年7月有用戶用價值450美元左右的2枚WETH代幣換取了13,504枚假冒的Uniswap平臺幣,讓用戶承受巨大損失。所以此類大量詐騙項目的發生,會使得Uniswap團隊承受較大的潛在法律風險。
Tags:UNIUniswapSWAP中心化交易所unisat的logoUniswap WalletCitySwap去中心化交易所什么意思
編者按:本文來自DeepChain深鏈,作者:石巖,Odaily星球日報經授權轉載。只要是資金盤總有崩盤的那天。趣步被立案調查之后,同樣披著“區塊鏈”外衣的秘樂短視頻目前也面臨著同樣的“窘況”.
1900/1/1 0:00:00編者按:本文來自DeepChain深鏈,作者:Gisele,Odaily星球日報經授權轉載。隨著Dex、預言機等板塊的爆發,DeFi中的鎖倉資產價值已經超過76億美元.
1900/1/1 0:00:00編者按:本文來自加密谷Live,作者:RyanSeanAdams,翻譯:李翰博,Odaily星球日報經授權轉載。在DeFi借款的一個大問題是需要過度抵押貸款.
1900/1/1 0:00:002020年被視為“DeFi元年”,市場上涌現出上千個DeFi項目展開競爭,與此同時,沉寂一年的公鏈又開始爭奇斗艷.
1900/1/1 0:00:00編者按:本文來自Cointelegraph中文,作者:ANDREYSHEVCHENKO,Odaily星球日報經授權轉載.
1900/1/1 0:00:00灰度ETHE信托最高溢價超過900%,目前溢價依然保持在300%,GBTC溢價則長期維持在18%左右。一方面是套利需求,另一方面是FOMO情緒,但總體上是后者占比更大.
1900/1/1 0:00:00