BTC/HKD-2.62%
ETH/HKD-1.51%
LTC/HKD-0.58%
ADA/HKD-1.41%
SOL/HKD-0.41%
XRP/HKD+0.58%Overview概述本文將通過對比股票市場期權產品、商品交易所期權產品以及比特幣期權產品來介紹比特幣期權市場價格的有效性。Report報告風險中性概率
在我們開始討論不同的期權定價模型之前,我們需要了解風險中性概率的概念。風險中性概率廣泛應用于期權定價中,在不同的期權定價模型中可能會遇到。風險中性概率是根據風險調整后的未來結果的理論概率。這一概念背后有兩個主要假設:資產的當前價值等于以無風險利率折現的預期收益。市場上沒有套利機會。風險中性概率是指股票價格在風險中性世界中上升的概率。但是,我們并沒有假設市場上所有的投資者都是風險中性的,也沒有假設風險資產會獲得無風險的收益率。這個理論價值衡量的是購買和出售資產的概率,就好像市場上所有東西都有一個單一的概率一樣。期權定價
在介紹各市場期權產品之前,我們首先探討一下本文即將使用的兩種期權定價方式:B-S定價模型以及B-A-W定價模型。B-S定價模型
首先來看推導BS微分方程時用到的假設:期權的行權方式為歐式,即只有到期日才可以行權。股票的價格符合幾何布朗運動,即股票的不確定性滿足對數正態分布。可以做空證券,且證券可以被分割。市場無摩擦,即不存在交易費用和稅收。在期權期限內,標的股票不支付股息。在期權期限內,標的股票年收益率的標準差σ已知且保持不變。市場不存在無風險套利機會。標的資產交易是連續的。短期無風險利率為常數并已知。不過,這些假設可以放寬,并在必要時根據特殊情況進行調整。此外,我們可以很容易地使用這個模型來為股票以外的資產(貨幣、期貨)的期權定價。根據Black-Scholes模型,我們可以推導出以下數學公式來計算歐洲看漲期權和看跌期權的公允價值:
印度儲備銀行正試圖推動 G20 關注加密貨幣的宏觀金融影響和風險:5月30日消息,印度儲備銀行(RBI,該國央行)在發布的 2022-23 年度報告中指出,印度儲備銀行正試圖將圍繞加密貨幣的全球敘述從金融穩定性和完整性擴展到宏觀金融和跨部門影響以及加密資產風險,打算通過為全球加密資產、穩定幣和 DeFi 創建一個全球監管框架,以共同塑造 G20 共同政策方法。[2023/5/30 11:48:39]

上述公式使用了風險調整后的概率。N(d1)是風險調整后的在期權到期時收到股票的概率。N(d2)是期權將被執行的風險調整概率。這些概率是使用因子d1和d2的正態累積分布計算的。該公式給出了非派息股票的歐洲看漲期權的價值/價格。函數N(?)代表累積分布函數為正態(高斯)分布,這是一個隨機變量的概率是小于等于其輸入條件(即d?和d?)正態分布的。概率N的值(?)換句話說永遠是0≤N(?)≤1之間。輸入d?和d?得出:

Black-Scholes模型主要用于計算歐式期權的理論價值,由于美式期權具有在到期日之前行權的特點,因此不能應用于歐式期權。Black-Scholes模型中使用的主要變量包括:標的資產的價格(S)是該資產的當前市場價格執行價格(K)是期權可以被執行的價格波動率是衡量證券價格在隨后的階段變動幅度的指標截止時間(T)是指從計算日期到執行日期之間的時間利率(r)為無風險利率股息收益率最初并不是模型的主要輸入內容。最初的B-S模型是為無股利股票的期權定價而開發的。由于我們通過Delta對沖消除了隨機性,該方程中沒有任何隨機變量,所以它是一個一般的微分方程,而非隨機微分方程。求解這個微分方程需要給定的邊界條件。對于歐式看漲期權,它的邊界條件為當時間t=T時,期權的價格C必須滿足C=max(S(T)-K,0)這里K是行權價格。對于任何一個期權,在定價時有兩個不確定性需要考慮:這個期權到行權日到底是不是實值期權,就是到底有沒有行權的價值。如果行權了,那么我們的收益到底能有多少。這兩個不確定性恰恰就對應著由BS定價公式中的N。B-A-W定價模型
元宇宙基礎設施開發商Hadean完成500萬美元融資:3月24日消息,元宇宙基礎設施開發商Hadean今天宣布,它已經籌集了額外的500萬美元資金,用于構建其元宇宙基礎設施解決方案。新的資金增加了該公司之前的A輪融資,該公司去年9月籌集了3000萬美元。
此次額外融資投資方包括Ericsson Ventures、Metrea Discovery、VU Venture Partners、Sanctor Capital和Tirta Ventures。(Venturebeat)[2023/3/24 13:23:26]
我們知道,歐式期權只有在到期日才能行權,美式期權在到期日前的任何時候都能行權,就是這種行權時間的靈活性賦予了它相對歐式期權的一個溢價,那么,問題就清楚了,美式期權的定價公式如下:美式期權價格=歐式期權價格+溢價那么具體怎么計算呢,首先我們先引入一個描述期權價值的眾所周知的偏微分方程:

這只是對B-S模型的基本假設做了一些調整。基本上,我們允許對標的資產發放股息(d),并假設其收益率為不變。股息收益率定義為每股股息除以股價。資產的持有成本(b)是無風險回報率減去年度股息收益率(b=r-d)。當d=0和b=r時,這是普通的B-S公式。當r=d和b=0時,這是期貨期權的B-S模型。提前行權溢價的定義為:
美元指數DXY日內漲超1%:金色財經報道,美元指數DXY日內漲超1%,現報104.70。[2022/12/16 21:47:56]

在這里我要多解釋一句:其中,C(S,T)是美式期權價值,c(S,T)是歐式期權價值。這里的基本要點是,美式期權的價值必須等于歐式期權價值加上一個額外特征的溢價。現在,讓時間從到期日的時間向后發展,*t,此時此刻的時間為t。然后到期時間T的定義是T=?t-t溢價率的變化對時間是一個等式εT=?εt。我們將這個結論應用于之前的偏微分方程,得到了提前行權溢價的偏微分方程。

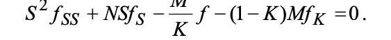
我們用M=2r/σ^2,N=2b/σ^2帶入公式,把他簡化一下:

然后Barone-Adesi&Whaley將提前行權溢價改寫為εc(S,K)=K(T)f(S,K),表示為到期時間和股價的函數。可得εSS=-KfSS和εT=KKTf+KKTfK。將這些代入上式,通過收集項和因式分解可知
Meta正在Messenger上測試端到端加密備份:8月11日消息,Meta宣布正在其即時通信應用Messenger上測試端到端加密備份,以備份用戶在Messenger上的端到端加密聊天,并開始測試Messenger上的自動端到端加密聊天Threads和擴展其他功能。[2022/8/11 12:19:08]

其中,K=1-exp是已知條件。到目前為止,我們還沒有做出任何近似,因此這仍然是一個精確的分析。現在看看(1?K)MfKLHS的最后一部分。通過讓T趨于0,fK趨于0,如果T趨于無窮,K趨于1。因此通過消去最后一項,剩下的方程是一個整潔的二階常微分方程。

我們通過求線性解,得出一個通用解:


對沖基金巨頭Point72 Asset Management將招募數字資產運營負責人和加密技術負責人:7月11日消息,多策略對沖基金巨頭 Point72 Asset Management 正在加深推動數字資產業務并開始配置加密貨幣業務高管,其中包括一名直接向該公司首席技術官 Mark Brubaker 匯報的加密技術負責人,以及一個數字資產運營的負責人,負責投資組合經理和分析師的中后臺團隊之間的協調支持工作。
目前,Point72 Asset Management 已經開始在交易數字資產支持的 ETF 和類似的機構級產品,包括灰度的以太坊信托 (ETHE) 和比特幣信托 (GBTC),但尚未交易現貨數字資產。(Blockworks)[2022/7/11 2:06:09]

顯而易見,現在有一個問題,那就是如何承認和設定公式的邊界條件。由于q1<0,則當S=0時,f(S)→±∞。這是不太合理的,因為從邏輯上講,不值得為不值錢的東西支付額外的錢。一般來說,如果S趨向于零,那么提前行權溢價也必然趨向于零。因此施加約束a1=0,使a2S^q^2永遠不能接近±∞。這個公式可以寫成

到這里,公式的推導基本就成功了。另外我們利用牛頓迭代法,就可以得到

這也就是公式的最終解。實例分析
首先,我們分別取用了道瓊斯、標準普爾500和納斯達克指數基金的期權以及OKex、Deribit和上證50ETF的期權進行比較。

我們分別計算了上述六個期權的期權費與行權價的比、期權費與限價的比、限價與行權價的比。并通過B-S模型和B-A-W模型分別計算了他們的模型價值以及實際期權費與模型期權費的偏移值。

從圖中可以看出,與模型差距最小的是okex和deribit的期權,其中okex的期權與模型價格相差無幾。歐式期權價格偏移值明顯高于美式期權,這也是由于模型缺陷造成的正常現象。

我們同時計算了這六個看漲期權的breakevenprice和行權價以及和現價的偏移值,可以看出,btc期權的偏移值明顯高于其他期權。


于是,我們每個期權采集了八條不同行權價的期權,總共48條數據進行觀測,試圖尋找期權中的偏移值與隱含波動率的關系,結果如下:

根據觀測的結果,我們可以發現偏移率能夠解釋98.43%的隱含波動率情況,也就是說,線性推導關系成立。所有的期權偏移率與其隱含波動率完美符合,即btc期權市場有效性與其他市場有效性相同。注1:數據采集于7月9日下午2時37分Conclusion結語對于投資者來說,除持倉風險外,對OKEx與Deribit交易所基本可以排除其市場定價有效性的懷疑。風險提示:警惕打著區塊鏈和新技術的旗號進行非法金融活動,標準共識堅決抵制利用區塊鏈進行非法集資、網絡傳銷、ICO及各種變種、傳播不良信息等各類違法行為。
Tags:SSEENT數字資產VENEssentiaDecentralized Hash Mining數字資產評估Rocket Venture
文|黃雪姣編輯|Mandy王夢蝶出品|Odaily星球日報特別感謝6Block石榴礦池為本文專業性提供指導 IPFS相關的投資機遇成了近期數字貨幣行業最出圈的熱點.
1900/1/1 0:00:00編者按:本文來自Unitimes,作者:SomerEsat,翻譯:Unitimes_Charles,星球日報經授權發布。以太坊2.0升級預計將于今年晚些時候發布,起初將推出階段0.
1900/1/1 0:00:00吳說區塊鏈獨家獲悉,云算力平臺miningzoo疑似跑路。該平臺偽造大量信息,包括偽造獲得知名VC策源創投投資的信息,截止到7月6日,仍然大量投資者無法提取在平臺投資云算力獲得的加密貨幣,一些投.
1900/1/1 0:00:00本文來自:哈希派,作者:哈希派分析團隊,星球日報經授權轉發。金色財經合約行情分析 | ETH引領市場突破,行情進一步激活:據火幣BTC永續合約行情顯示,截至今日18:00(GMT+8),BTC價.
1900/1/1 0:00:00這段時間以來,DeFi一直是圈內的熱點。最為熱捧的兩個項目就是COMP和BAL了。其中COMP是Compound的治理代幣,BAL是Balancer的治理代幣.
1900/1/1 0:00:00編者按:本文來自風火輪社區,作者:佩佩,Odaily星球日報經授權轉載。大家好,我是佩佩,最近這個大餅和部分主流橫盤橫的那是真無語,不知道是等著一個大跌呢還是厚積薄發,不過圈內到是有幾個只漲不跌.
1900/1/1 0:00:00