BTC/HKD-1.14%
ETH/HKD-2.38%
LTC/HKD-2.52%
ADA/HKD-3.98%
SOL/HKD-2.55%
XRP/HKD-2.21%近日,BAYC 母公司 Yuga Labs 以 40 億美元估值完成新一輪 4.5 億美元融資,NFT 領域單筆融資最高紀錄再度被刷新。本輪投資陣容豪華,由 a16z 領投,Animoca Brands、Coinbase 和 MoonPay 等參投。
此次融資是元宇宙領域的標志性事件,手握 CryptoPunk 和 BAYC 兩大最強 IP 的 Yuga Labs,在頂尖團隊和頂尖流量的加持下,能否成為元宇宙的最終統治者以及會將元宇宙帶向何方?
在各行業不斷內卷的社會,唯一還能英雄不問出處的地方恐怕只有 Web3 了。在 Web3 這個變化迅速、傳奇故事不斷上演的領域,一年前的無名之輩,轉眼就可以驚艷所有人。
回看 Yuga Labs 發展軌跡,低開高走。開局算不上順利,團隊出身一般、預售場面冷清,和現在人們眼中的成功形象大相徑庭。
Yuga Labs 成立于 2021 年 2 月,四位匿名創始人 Gargamel、Gordon、Tomato 和 Sass 看起來似乎也沒有特別光鮮的履歷。Gargamel 在真實社會中做編輯和書評,Gordon 原計劃就讀藝術碩士,由于生病開始炒幣,還曾因為域名爭議被 Bitmex 告上法庭。另兩位 Tomato 和 Sass 是軟件工程師,但是此前對 NFT 并沒有經驗。
BAYC(Bored Ape Yacht Club)是 Yuga Labs 的成名作,講述了一群炒幣自由的猿猴無所事事,在沼澤地的一個俱樂部釣魚、涂鴉的故事。這是一個很 crypto 的故事,炒幣是 crypto 永不過時的話題,Ape 是 crypto 的常用語,指代不加思考的交易者、賭徒或者韭菜,Ape in 形容無腦沖、梭哈。
Azuki大戶:已和創始人磋商,4000萬美元報價過低:6月30日消息,Azuki大戶、NextGen Venture合伙人Christian2022.mid表示,在和Azuki創始人磋商后,他認為4000萬美元這一報價過低。他寫道,“剛剛和ZAGABOND(Azuki創始人)通了電話,我覺得4000萬美元的報價太便宜了。現在我正在等待稍后開始的社區會議。”
此前報道,Azuki由于新系列發售引發的一系列爭議,Azuki大戶Christian2022.mid發推表示,有意以4000萬美元收購這一項目。[2023/6/30 22:09:22]

(圖片來源:BAYC 網站)
故事講得雖好,買單的卻并不多。2021 年 4 月 23 日,BAYC 預售,每只猿猴統一零售價 0.08 ETH(當時價值約 200 美元)。預售談不上樂觀,當晚只賣出了大概幾百只(對比下現在市場出現的各種質量參差不齊的 NFT,基本上數小時就能搶售一空)。

(圖片來源:BAYC 推特)
轉折點發生在 5 月 1 日,隨著預售期最后一只 BAYC 出售,知名收藏家 Pranksy 在推特宣布購入 250 只 BAYC,Pranksy 的帶貨使得 BAYC 的銷量、用戶、交易數激增。僅在 117 分鐘后,BAYC 售罄。需要注意的是,Pranksy 的行為是自發的,并沒有事先和 Yuga Labs 通氣。
Mongraal和Pixel Vault創始人Gfunk接觸討論交易“吉米鑰匙”:金色財經報道,UPDAO 成員 ZeeKay 昨天向United Planetary DAO提交了一份提案,如果通過,將授權該組織以690 ETH(約合1,1173,000美元)的價格競標目前由Mongraal持有排名第一的“下水道通行證”Sewer Pass。據Pixel Vault創始人GFunk在社交媒體披露,職業視頻游戲玩家兼DooKey Dash冠軍Mongraa 正在與他進行溝通,GFunk也向Mongraal發送了Pixel Vault Founder DAO NFT代幣并邀請他討論這筆交易,Mongrral則回應稱:“感謝Gfunk的慷慨,當你準備好出價時,我的私信是開放的。”
目前690 ETH是否足以購買令人垂涎的密鑰尚不清楚,因為Mongraal在Dookey Dash游戲中獲得“猴子吉米鑰匙”后已將該NFT Sewer Pass #21915以2,222 ETH的價格在OpenSea上架,按照當前價格計算超過370萬美元。[2023/2/19 12:15:58]
由于 Yuga Labs 將 BAYC 的所有權和商業使用權授予持有人,BAYC 所有者構成了龐大的營銷團隊,推動了品牌增長。此后,BAYC 開始一路走紅。推特 KOL、NBA 巨星、歌手、演員、電視主持人、富商等紛紛購買 BAYC 并自發充當代言人。尤其是去年 8 月 NBA 球星斯蒂芬?庫里(Stephen Curry)以約 18 萬美元的價格購買了 BAYC NFT 作品并作為推特頭像的消息引發了全球范圍的大量關注,BAYC 加速破圈。

眾議院金融服務委員會主席:質疑聽證會前夕逮捕SBF,對SBF無法出席聽證會感到“失望”:12月13日消息,眾議院金融服務委員會主席、加利福尼亞州民主黨人Maxine Waters表示,她對前FTX首席執行官Sam Bankman-Fried(SBF)被捕的時間感到“失望”和“驚訝”,因為他計劃于明天參加眾議院金融服務委員會主席就FTX崩盤所召開的聽證會。
Waters在針對 Bankman-Fried被捕發表的聲明中表示,“現在是時候開始將 Bankman-Fried 先生繩之以法了,然而,公眾所知,在過去的一個月里,我和我的同時一直在努力工作,以確保 Bankman-Fried先生明天早上在我們的委員會面前作證。”
Waters接著批評了Bankman-Fried的逮捕時間,這次逮捕不同尋常地發生在Bankman-Fried在國會就FTX倒閉問題作證的前夕。[2022/12/13 21:40:51]
(圖片來源:庫里推特)
如果說此前 Yuga Labs 更多的是隱藏在 BAYC 幕后,那么進入 2022 年之后,Yuga Labs 開始走向臺前。3 月 12 日,Yuga Labs 宣布收購 CryptoPunks 和 Meebits 的消息在圈內引發不小的轟動,此舉意味著 Yuga Labs 成為圈內唯一手握 CryptoPunks 和 BAYC 這兩大頂級 IP 的運營方。3 月 16 日,Yuga Labs 宣布將于今年開啟虛擬土地銷售,并推出游戲 MetaRPG 及 APECoin 以共同構建 Yuga Labs 的元宇宙計劃。3 月 23 日,Yuga Labs 以 40 億美元估值完成 4.5 億美元融資,將所有人的情緒推向高潮。
ConsenSys發布新的EVM等效zk-EVM規范,開發人員可部署任何智能合約:據官方消息,以太坊基礎設施開發公司ConsenSys發布新的EVM等效zk-EVM規范,設計目標包括按照黃皮書中指定的EVM規范執行未更改的原生字節碼(native bytecode)、100%覆蓋不同的操作碼、交付V神定義的2類型zk-EVM,使開發人員可以部署任何智能合約,使用任何工具,并完全按照他們在L1上構建應用的方式進行開發,目前測試版本已開放。[2022/10/14 14:27:29]
從數據看,BAYC 已經成了 NFT 的當之無愧的王者。BAYC 地板價超過 100 ETH,是所有 NFT 項目中地板價最貴的。BAYC 擁有 NFT 空間中最大/最活躍的 Discord 社區,用戶數超過 13 萬人。OpenSea 每日交易量超過 1.5 億美元,而交易量的 10% 由 BAYC 的持有者貢獻。在過去的一年,BAYC 團隊吸金能力驚人,凈利潤 1.27 億美元。而花在廣告、產品和技術以及員工薪資等方面的支出加起來 424 萬美元。

(圖片來源:Yuga Labs Deck)
在 NFT 領域的成功讓 Yuga Labs 的觸角伸向更廣闊的元宇宙。
Yuga Labs 在 90 頁的 Deck 里詳細介紹了未來的發展規劃:不止于 NFT,而是要重新定義元宇宙。
在 Yuga Labs 看來,現在的元宇宙很俗套,聊天、線上聚會、相互 Battle 的游戲在 Web2 就已經做得很好了。完美的元宇宙是一個全人類都與之相連的虛擬世界而不是像目前這樣每個人都在建立自己的世界。Yuga Labs 要構建的是可互操作的元宇宙,并推出游戲 MetaRPG。
數據:過去24小時全網爆倉1.67億美元:7月12日消息,據Coinglass數據顯示,過去24小時全網爆倉逾1.67億美元,其中比特幣爆倉5201萬美元,占全網爆倉總額的31.14%,以太坊爆倉5144萬美元,SOL爆倉407.5萬美元。[2022/7/12 2:07:07]
MetaRPG 的故事開場講述了宇宙大爆炸后釋放的能量逐漸枯竭,天體一個接一個消失。一種被稱為 Kada 的外星生命一直在監測地球的一舉一動,在地球毀滅之前創造了一個新的元宇宙,并將 BAYC 以及其他可互操作的 NFT 拯救到新大陸,新的故事就此展開。
在新大陸上,有 10 萬塊創世土地,這些地塊將對應于游戲中的真實土地。地價保守估計是每塊地 1 個 ETH,按照當前以太坊價格計算,銷售土地將會為 Yuga Labs 帶來 3 億美元收入。當然,有了 BAYC 的成功案例,相信買家一開始就會 FOMO,加上 Yuga Labs 在 Deck 中透露會有 1 萬個獨特的 Koda 隨機分布在土地上,這些土地大概率上線就會被搶購一空。

(Koda 形象圖,來源:Yuga Labs Deck)
除了推出元宇宙游戲,Yuga Labs 還將推出元宇宙商店,大有對標 iOS App Store 和 Google Play 的意味。
在游戲以及元宇宙商店中,APECoin(APE)將會是通用代幣。盡管由于監管因素考慮,Yuga Labs 極力撇清 APE 不是 Yuga Labs 直接參與 ApeCoin 發行,但懂的都懂。從 BYAC 和 MAYC 系列 NFT 周邊商品將于 3 月 29 日發售,僅接受 APE 支付就能看出這層關系。
是破局者還是收割者?
Yuga Labs 的高舉高打,引得不少行業內專家討論。
BAYC 持有者、CryptoC 創始人唐晗直接用“不留活路的震撼?”來形容自己看到 Yuga Labs 在 Deck 中描述的內容。
第一個震撼點是團隊配置,除了早期四位創始人 Yuga Labs,新引進的高管清一色的是 Web2 流量高手,橫跨硅谷互聯網巨頭和美國時尚界,在營銷運營上堪稱頂配。來自 Web2 世界和 Web3 世界的資本站隊和資源融合,讓 Yuga Labs 在接下來一年不會有與自己抗衡的對手。
第二點是愿景宏大。Yuga Labs 的計劃是統一元宇宙,建立一個和 DCL 以及 Sandbox 完全不同的虛擬游戲,實現現實世界和虛擬世界的聯動、Web3 所有 PFP 項目的聯動、Web2 品牌和 Web3 世界的聯動。
第三點,干掉 OpenSea 和 OpenSea 無關。Ape 宇宙里將產生大量的 UGC 內容,這些內容的首選交易平臺將不再是 Opensea。
BAYC 持有者、odaily 創始人 Mandy?從 IP 角度分析?認為,Yuga Labs 像是元宇宙世界的迪士尼,致力打破“元宇宙”的邊界。
將誕生剛滿 1 年的 Yuga Labs 與存活長達近百年的娛樂巨頭相提并論看起來似乎不自量力,但 Mandy 認為 IP 正在經歷著百年未有大變局,格局打開才能看到未來。
從 20 世紀 30 年代的寬熒幕的有聲電影米奇家族,到 70 年代的三麗鷗旗下的 IP HelloKitty,再到 2011 年由韓國社交應用 LINE 衍生品牌 LINE FRIENDS 的大火,IP 的傳播載體和形式都在隨著時代發生著變化。NFT 誕生在一個非常有趣的時代,顛覆 IP 和 版權的商業世界的宏大敘事,模糊了消費品、藝術品和奢侈品的邊界,我們不能再用舊的參照物比照新的世界,去了解它,擁抱它,從而不負時代的饋贈。
頂配的團隊和宏大的路線圖很容易讓人 FOMO,但無法保證項目一定能做成功,比如幣圈“三姓家奴”BM 的 EOS、圖靈獎得主光環的 Algorand 等等。加密 KOL BTCdayu 對 Yuga Labs 的前景謹慎樂觀?,Yuga Labs 賣 BAYC、發 APE、賣地等一系列玩法中,都有一個共性的問題是,所有社區成員,尤其是小散戶,都是天然的燃料。
分布式資本的一位人士更是尖銳地指出?,Yuga Labs 吃相難看。
“除了投機者以外,BAYC 持有者最大的預期就是空投發幣。BAYC 發幣將最后一招殺手锏祭出,自此之后再無退路。Yuga Labs 也成功通過融資完成了對資本的收割。明眼人都能知道 BAYC 是一個 meme 而不是 IP,因為它除了富裕一部分人以及帶動這一波 PFP 炒作潮以外毫無建樹。可以說 BAYC 以及 Yuga Labs 的此番操作代表了 PFP NFT 這一個時代的落幕。”
資深 DeFi 玩家、《老陸的區塊鏈筆記》作者陸遙遠從運營、開發、敘事、盈利能力、競爭壁壘幾個方面全面客觀分析了 Yuga Labs 的綜合實力?。運營、敘事、競爭壁壘分值拉滿,盈利能力和開發能力不足。比如盈利方面,雖然 2021 年凈收入是 1.27 億美元,但主要是銷售 MAYC 所得,BAYC 的版稅收入只占 30%。開發能力方面,與 Animoca 合作建立的賽車游戲,以及街機風格的游戲還沒有推出。
作為節點性事件,Yuga Labs 帶給我們諸多啟發,比如 NFT 市場從散兵游勇進入集團作戰的模式,如何對 NFT 估值等。
在過去的一段時間里,大部分 NFT 項目發起方團隊配置簡單,發展路線不清晰或者很隨意,這導致了很難有項目跑出來。從 Yuga Labs 的 Deck 可以看出,團隊超配了來自 Web2 領域的高手,進一步加強了營銷造勢的能力,這在其他項目是上少有的。發展路線十分清晰,節點精確到月。比如 5 月份空投 Koda,7 月舉辦 APE 電影節,8 月份土地銷售等等。
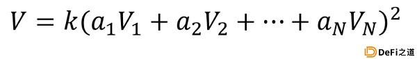
DappRadar 最新數據顯示,BAYC 的市場價值超過 36 億美元,是目前最貴的 PFP 類 NFT 項目。對 NFT 項目的估值依據是什么?有沒有統一的模型框架可以參考?時戳資本最近提出一種新的網絡估值模型?,這是根據“成功定律”和“梅特卡夫定律”提煉出來的新的價值網絡估值模型:

其中,V 指的是網絡價值,V? 表示周圍某一個節點的價值,a? 表示這個節點和中心項目的聯結緊密程度,n 則表示周圍有聯結的節點數量。
也就是說,一個項目的價值取決于他自己本身的價值是不是被很多其他人或者項目需要(n 夠不夠大);需要它的人或者項目是不是成功(有沒有哪個 V? 很大);以及這種需要是不是很強烈而且無可替代(a? 的大小)。
對待 NFT 項目,主要參考文化、美學、社區、資產和實用性等維度。以 BAYC 社區為例,V? 表示每個社區參與者的對網絡的價值,a?表示社區成員和 BAYC 的聯結緊密程度,n 表示社區參與者能夠觸達的人群。庫里在去年 8 月買入 BAYC 時,V? 很大(庫里本身的影響力),a? 不大(庫里與 BAYC 的聯結緊密度),n 逐步變大(庫里會影響一批人買入 BAYC),從而 V 開始增大,這就是 BAYC 的地板價在庫里買入 BAYC 后大幅上漲的原因之一。
從 Yuga Labs 身上可以發掘許多值得創業者學習的地方。在團隊配置上,他們的創始團隊不算豪華,卻將一把開局不是很好的牌最終打成王炸。在項目運營上,他們在幾乎沒有花費任何代言費的情況下讓 NBA 巨星、娛樂明星自發帶貨。在社區建設上,他們在極短的時間內建立起覆蓋全球各地的龐大的用戶社區。在項目進入穩定期后,他們迅速找到二次增長曲線,同時借助資本的力量進一步發展壯大。Yuga Labs 不斷打破我們對未來的想象。
Tags:LABSABSBAYCBAYYield Enhancement LabsCasperLabsBAYC價格BSCBAY
過去流行的是 Angular,然后是 React,現在是 Vue.js……其他的像 Ember、Backbone 或 Knockout 什么的幾乎都快消失了.
1900/1/1 0:00:00伴隨著全球用戶數及代幣價格的持續暴漲,主打“Move to Earn”(M2E)模式的STEPN成為GameFi賽道中的一匹黑馬,并成為圈內外玩家的“網紅打卡地”.
1900/1/1 0:00:00在誕生以來的短短十余年間,科技偶像和頂級投資者的站臺以及幣價的表現為比特幣帶來了相當可觀的「信徒」.
1900/1/1 0:00:00面對三月上旬中概股史無前例的一瀉千里,縱是財大氣粗的互聯網大廠也坐不住了,Web2大廠頻繁傳出裁員消息.
1900/1/1 0:00:00自從 Beeple 的破紀錄拍賣以來,NFTs 已經成為 2D 視覺藝術的代名詞,業內戲稱“小圖片/ JPEGs”,最有價值的 NFT 品牌絕大多數都是靜態圖像.
1900/1/1 0:00:00從2021年到2022年,NFT與元宇宙的熱潮可以說是一波未平一波又起,區塊鏈沙盒游戲The Sandbox注冊用戶剛剛突破200萬.
1900/1/1 0:00:00