BTC/HKD-0.05%
ETH/HKD-0.31%
LTC/HKD+0.07%
ADA/HKD-0.17%
SOL/HKD-1.26%
XRP/HKD-0.88%空投對早期項目的發展至關重要,它賦予了一個與文明本身一樣古老的承諾:“盡早開始并投資于我們,我們將給予你無限的財富。”
在 2020 年Uniswap 追溯空投之后,這個領域充斥著尋找下一個熱門事物的人,并因此而成熟起來。這導致空投基礎設施和策略日益復雜的性質急劇上升,例如 LooksRare 對 OpenSea 的空投吸血鬼攻擊(Vampire Attack)。
鑒于復雜性不斷提高,錯誤必然會發生。再加上空投通常會暴露有關代幣接收者的信息,空投基礎設施、安全性和策略的現狀看起來似乎是嚴峻的。?
不過,像往常一樣,一切都沒有丟失。在這篇文章中,我展示了一個在空投中結合使用零知識證明的系統。這種新穎的密碼學組合允許用戶交互和參與項目,通過空投獲得獎勵,而不必擔心他們的個人信息被暴露。?
空投是一種推廣和分發項目代幣的方法,以幫助啟動和提供資本,并通過去中心化提高安全性。通常情況下,空投是給那些在早期發展過程中交互、構建或普遍參與項目的白名單地址。有幾種不同類型的空投,我在下面詳細說明:
韓法院對Terraform Labs聯創等8人進行首次公審準備,將判定LUNA是否為證券:7月11日消息,韓國首爾南部地方法院對涉嫌違反《資本市場法》的Terraform Labs聯合創始人Daniel Shin和其他七名同事等8人進行了首次公審準備,也是Terra事件在韓國國內的首次審判,其中檢方認為LUNA是投資證券合同,應受到資本市場法的限制,而Daniel Shin主張Terra和LUNA并非證券。消息人士表示,如果審判通過,LUNA被認定為證券,那么《資本市場法》將會擴大到虛擬資產行業,一部分加密貨幣被分類為未注冊證券,有可能會被中止上市。[2023/7/11 10:47:08]

空投是代幣經濟學的一個重要組成部分,是催化項目快速發展的關鍵。以過去幾年 DEXs 的加速增長為例;一項評估空投和治理代幣作用的研究發現,進行空投的 DEXs 的市值高出 87%。此外,進行空投的交易所的交易量增長率也高出 7.3%。因此,可以說空投對交易量和市值的增長產生了積極影響,尤其是在 DEXs 方面。
一投資者購買了價值1000萬美元的ETH看漲期權合約:金色財經報道,據Amberdata數據,上周五,一投資者購買了約63,250份與以太坊掛鉤的看漲期權合約,該期權并將于12月29日到期。該交易涉及出售2500美元行權價的看漲期權,以部分資金購買1900美元行權價的看漲期權,該策略的初始成本為1000萬美元,因為交易實體購買1900美元看漲期權的支出高于出售2500美元看漲期權所獲得的收入。[2023/7/3 22:15:05]
然而,空投在結構上存在著關鍵問題,可能會導致詐騙、隱私侵犯以及相關各方成本的增加。
圍繞當前空投系統的各種騙局包括但不限于:
轉儲空投——開發商制造短期轟動,希望人們在空投進入交易所時會踴躍購買。之后,開發者將會拋售代幣,然后“一路笑到銀行”。非常類似于經典的“拉高和傾銷”、“誘餌和轉換”方案。示例:Manifold NFT。
私鑰詐騙——這些空投完全是假的,旨在誘騙用戶泄露他們錢包的私鑰。這種類型的騙局依賴于心理操縱,因為騙子會要求參與者提供他們的私鑰,而不是他們的公鑰。??
ARPA Network已獲得DWF Labs的戰略投資:金色財經報道,ARPA Network已獲得DWF Labs的戰略投資。DWF Labs和ARPA Network將共同致力于建立充滿活力的動態合作,準備改變區塊鏈行業并引入新的隱私、安全和公平標準。[2023/4/30 14:35:27]
信息釣魚詐騙——旨在收集個人信息。聲稱贈送代幣的目的是獲取電子郵件地址、錢包地址、社交媒體信息等。這是空投的一個大問題。本質上,空投包含大量關于代幣接收者的信息。本文的重點是提供一個針對解決這個問題的協議。
最近一項跨區塊鏈分析案例研究表明,在鏈之間共享地址是一種嚴重的隱私風險。為了申請空投,收件人必須重復使用他們的私鑰。錢包地址的重復使用映射了跨鏈交易之間的關系,無意中向第三方泄露了關于收件人的信息。這項特殊的研究聚焦于區塊鏈空投的案例及其在三個不同區塊鏈上的影響,通過地址簇開發一對一映射。
數據:以太坊巨鯨近期增持多達350萬枚ETH:金色財經報道,Santiment的數據顯示,自9月11日以來,持有超過100萬枚ETH的以太坊鯨魚地址總共增加了350萬枚硬幣。這一增加標志著自合并以來,億萬富翁鯨魚的ETH持有量增加了14%。相比之下,根據Santiment此前的數據,ETH鯊魚和鯨魚(持有100到100萬枚ETH的投資者群體)一直在拋售其持有的ETH。(u.today)[2022/10/20 16:31:12]

上面,我們有 3 個不同區塊鏈的共簇圖。每個橢圓是一個頂點,代表一個區塊鏈中的地址簇(address cluster)。每個頂點之間的邊代表了相應地址簇之間共享的最大地址集(顏色相同的方塊)。如果不存在一條邊,則不存在地址共享。這些結果證明了地址集群的影響,此外,還表明空投參與者如何在不知不覺中通過他們在另一條鏈上的活動,披露他們在該鏈上的地址所有權信息。
Blokhaus創始人:NFT將游戲內所有權提升到新的水平:9月25日消息,Blokhaus Inc.的創始人Mark Soares表示,NFT通過允許用戶解鎖完全模塊化的、由社區驅動的游戲內部體驗,從而提高玩家與游戲的交互性,當游戲的每個方面都是NFT時,用戶可以創建完全“定制”的游戲體驗,
此外,他還表示,目前NFT過于簡單化也是區塊鏈游戲行業的一個問題。(Cointelegraph)[2022/9/25 7:20:00]

三個區塊鏈上的地址數量以及它們的共享方式。36,209 個地址在比特幣和萊特幣之間共享,但不包括 Dogecoin
鑒于空投對收件人的負面影響,顯然需要一個系統:?
鑒于空投對接收者造成的負面負面影響,需要一個系統做到:
增強用戶保護?
消除不必要的信息共享
確保高水平的安全性。?
一項新的解決方案以零知識證明(zk proof)的形式出現。該集成系統稱為“Private Airdrop”,通過集成零知識證明,接收者將能夠共享相關信息,同時限制臨時信息的泄露。
那么,為什么讓零知識證明和空投的整合會變得“私密”呢?據Private Airdrop Protocol,潛在的空投接收者將通過公共渠道(Discord、Telegram、Signal 等)提供一個消息,稱為“承諾(commitment)”,這與傳統的空投白名單方法非常相似。當接收者將他們的公鑰和一個秘密的整數串聯成一個哈希值時,就會產生一個“承諾”。因此,潛在的接收者可以在計劃的空投中確保他們的位置,而無需公開透露自己。?
隨后,空投發送者將通過將“承諾”散列(hashing)到 tree 來創建“默克爾樹”(Merkle tree)。在空投日期,接收者可以通過提供零知識證明來聲明他們的空投,以證明他們是 tree 中“承諾”的創建者,而無需透露與他們的“承諾”相關的公鑰。在這方面,接受者能夠獲得傳統空投的所有好處,同時也可以保護他們的身份和其他敏感的個人數據。

描述散列“承諾”的 Merkle 樹
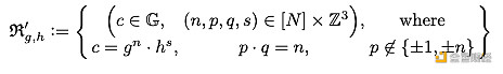
為了使驗證成為可能,Prover 需要證明 RSA 系統中的因式分解知識,給定承諾。關系如下圖所示;c 是陳述,(n,p,q,s)是證人。

承諾的知識因式分解的證明
這個證明確定了驗證者將向驗證者發送兩個承諾,cp和cq,分別給p和q。隨后證明p - q = n和p ? {±1, ±n}。盡管后者需要相當大的證明,但已經通過在一個已知素數階的更小的組中執行證明(如橢圓曲線 elliptic curve)來規避這一點。下面,我們有一個完全交互式的零知識證明,它是上面關系的修改版本。這個協議利用了三個子協議,并通過它們導出了該協議的有效性和零知識證明。

推導協議和修改后的因式分解關系背后的計算會變得相當技術化,所以我們把它留給讀者進一步研究。
盡管我們經常受到數據安全威脅的警告,但當今的空投基礎設施的傳統內部機制幾乎沒有注意到這一警告。通過用一個新的加密架構來取代目前的結構,我們可以創建私人空投:這允許用戶參與早期項目,通過空投的代幣來獎勵他們的忠誠度,并且不必擔心將他們的憑證泄露給肆無忌憚的第三方。
Private Airdrop Protocol 迎合日常用戶和代幣發行者的需求,允許他們通過私人創世空投引導他們的新代幣。盡管計算成本較高,但鑒于當前擴展解決方案的加速發展,這是一個合理的權衡。私人空投或許將在很大程度上確保加密貨幣的精神:所有人的安全和匿名。
本報告不是投資或交易建議。在做出任何投資決定之前,請進行自己的研究。資產的過往表現并不代表未來的結果。作者可能持有加密貨幣或使用本報告中提到的策略。
作者:Vaish Puri,來源:The Tie,下午由DeFi之道編譯
Tags:區塊鏈ETHNFTTER區塊鏈域名ethereal寓意之類的詞RINGER Vault (NFTX)MASTER幣
Cairo 初學指南 / AMA 問答兩周前我們在《StarkNet + ECN 中文開發者 Meetup》向大家介紹了 StarkNet 有效性證明基本架構和生態。解答開發者諸多問題.
1900/1/1 0:00:00如果說「2022 年的 Web3 就是 2002 年的 Web2」,那如今偏冷的市場環境或許正是做事的好時機,而著力點就在于如何打通學習途徑,吸引越來越多的增量新用戶入場.
1900/1/1 0:00:00近期,NFT市場持續活躍,每天都會有不同的新項目上線,對于NFT愛好者們,似乎更看重短期的項目漲幅,mint完之后,有個幾倍漲幅就很舒服了,如果迎來幾十倍的漲幅那就發財了.
1900/1/1 0:00:00Web3.0 世界可以定義為虛擬現實 (virtual reality) 和增強現實 (augmented reality) 所形成的空間,實現了獲得定義“現實”的權力和演繹其數字化呈現.
1900/1/1 0:00:00可組合性是指一種能力, 讓組件能夠重新組合成更大的結構, 并且一個組件的輸出能夠成為另一個組件的輸入. 最好的例子就是每一塊都可以連接到另一塊的樂高.神圣的可組合性! 可組合性為我們帶來了金錢樂.
1900/1/1 0:00:00美國硅谷比特區塊鏈實驗室聯合創始人, 多個區塊鏈高峰論壇特邀演講嘉賓,《區塊鏈 顛覆式創新》一書著作者。曹博士從90年代互聯網早期時代就投身技術創新和創業,參與創建多家高科技公司.
1900/1/1 0:00:00