BTC/HKD+0.49%
ETH/HKD+0.89%
LTC/HKD+1.22%
ADA/HKD+1.01%
SOL/HKD+0.72%
XRP/HKD+1.11%嗨,大家好啊,我們回來啦!希望在我們悄悄建設的這段時間里,您在DeFi方面取得了比較好的收益。
我們努力研究智能合約代碼和審計,以及新的數學模型和策略。隨著我們越來越接近發布(發布計劃的消息也即將公布),我們正在為社區提供新的研究材料。
今天,我們想深入Uniswap V3的最深處,看看我們是否可以使用一些魔法從中提取一些隱藏的價值。
WETH/USDC池50% APY?這可能嗎?
我們想邀請您參加我們的理論之旅,該旅程從200天前開始,跨越了幾幕。我們會回到過去,看看我們可以從過去學到什么,以及我們如何改變未來。你準備好了嗎?那就讓我們從最初的Uniswap V3時代開始我們的20分鐘冒險。
2021年初,Uniswap V3向AMM引入了集中流動性的概念。與其在(0, ∞)的整個價格范圍內提供流動性(就像UniV2 LP提供者所做的那樣),流動性提供者現在可以將他們的代幣放入他們想要的任何價格范圍內。而且由于任何價格范圍都小于(0, ∞),他們可以從中賺取更多費用。聽起來很酷,對吧?好吧,顯然并不是每個人都對此感到滿意:
MakerDAO已通過將美國國債投資上限提高至12.5億美元的提案:金色財經報道,據官方消息,MakerDAO將美國國債投資上限從5億美元提高至12.5億美元的提案已獲得通過。該提案獲得了77%的投票支持,MakerDAO將在PSM中使用7.5億美元的USDC購買更多的美國國債,從而使支持DAI的流動資產更加多樣化。這些債券每兩周到期一次,在為期六個月的時間內,將總共購買12次,每次6250萬美元。根據提案,該策略預計在扣除托管和預期交易成本后,凈年化收益率為4.6%至4.5%。[2023/3/17 13:09:42]
https://twitter.com/kaiynne/status/1479335005700562951?s=20&t=kTXr-XaAysZo5E9JBDfYbg
Uniswap Labs是第一個為其LP提供強大的流動性優化工具的 AMM(他們是真正的創新者和大智慧!)。但是突然之間,Uniswap V3的資本管理變得具有挑戰性。任何流動性提供者都需要為流動性提供選擇最佳價格范圍。無常損失、價格風險、內存池……所有這些討厭的細節開始變得重要。
MakerDAO持有近5億枚GUSD,占總流通量86%:金色財經報道,根據Nansen數據,MakerDAO GUSD PSM(錨定穩定模塊)共持有493,233,160枚 GUSD,占GUSD總流通量86%。此前報道,1月2日,Gemini聯創發文督促DCG于1月8日償付11億美元期票。[2023/1/3 22:22:50]
專業做市商似乎可以處理它,甚至可以使用JIT等技術提取更多價值。但是那些只想買入并忘記它的人呢?
一種方法是將流動性置于(0, ∞)范圍內并忘記它。哇,這是一種解脫!但這不會失去一些寶貴的APY百分比嗎?我們能做得更好一點嗎?
等等……Hayden先生不就是在說這個嗎???
https://twitter.com/haydenzadams/status/1419715588323217412?s=20&t=CsLZJz_TuFPpymn9P4FD2w
Coinlist用戶反映無法正常提現,Coinlist稱托管服務正在維護:11月24日消息,近日,多名用戶反映Coinlist無法正常提現。社群消息顯示,多個幣種已無法提現,但部分幣種仍能正常進行小額體現。
Coinlist官方推特回應稱,目前托管服務正在維護,維護期間FLOW、MINA和CFG關閉充提,并表示用戶資產仍然安全。[2022/11/24 8:05:25]
謎題的答案很簡單:
https://twitter.com/haydenzadams/status/1419773681824325637?s=20&t=5oVc2OZgx-CEH5OSgNKPYw
以下是它的詳細工作原理:
1. 將 UniV2價格曲線分成相等的虛擬價格范圍
2. 將一部分流動性放入當前覆蓋當前價格的范圍內
數據:Binance燒毀98,672,685枚BUSD:金色財經報道,Whale Alert監測數據顯示,Binance燒毀98,672,685枚BUSD。[2022/10/9 12:50:19]
3. 將所有其他代幣放入Convex、Ribbon和Yearn等收益協議中,并獲得額外收益
4. 當價格從一個范圍轉到另一個范圍時,從前者中提取流動性并將其投入后者
現在我們已經了解了Hayden戰略的精髓,讓我們看看它是如何運作的。
燈光,相機,行動!

太好了……只需少量資金,我們就可以完全復制UniV2倉位,但可以從您倉位中的所有其他資本中獲得額外收益。這似乎是一場巨大的勝利,但我們還能做得更好嗎?
比特幣期貨本周累漲5.6% 以太坊期貨本周累漲超15%:金色財經報道,行情顯示,周五(8月12日)紐約尾盤,CME比特幣期貨BTC主力合約報24275美元,較周四紐約尾盤漲0.12%,盤中交投于23600-24315美元區間,本周累漲約5.60%。
CME以太幣期貨DCR主力合約報1941.50美元,較周四漲1.89%,盤中交投于1857.50-1941.50美元區間,本周累漲15.15%。[2022/8/13 12:23:04]
好的,所以我們可以在上一幕中擊敗UniV2。但是我們能用UniV3打敗UniV3本身嗎?答案是肯定的!
不出所料,對于任何 UniV3 價格范圍,我們都可以:
1. 將UniV3價格范圍分成相等的虛擬價格范圍
3. 將所有其他代幣放入Compound、Aave和Yearn等收益協議中,并獲得額外收益
在這里,我們再次使用全能的VMF策略:

這就是正確的咒語:

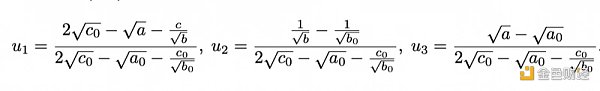
假設我們使用1個單位的財富在[a0, b0]區間為Uni V3提供流動性。那么集中的UniV3策略將是:
其中u_1是提供給UniV3的流動性的一部分,u_2, u_3是提供給生成單代幣策略的流動性的一部分,[a,b]是[a0,b0]的子集,例如 a0
UniV3打敗UniV3,聽起來很酷,對吧?
但在我們以起立鼓掌結束這一幕之前,我們需要在這里解決一個小細節。如果你仔細閱讀,可能會有一件事潛伏在你的腦海中,讓你感到不舒服——策略的第4步。
“ 當價格從一個范圍變為另一個范圍時,從前者中提取流動性并投入后者。”好吧,我們不能在鏈上的UniV3價格變化上觸發它,對吧?這必須通過外部調用者(也許是守衛者)來完成,這可能會錯過再平衡事件,并且價格可能會遠離具有流動性的價格范圍。在這種情況下,該策略與UniV3不完全一樣。假設我們在5月21日ETH從x跌至y時價格暴跌了40%。我們可以想象會有這樣一條Twitter:

總而言之,我們有一個這樣的VMF策略:
1. 賺取與UniV3倉位相同的費用
2. 通過在Compound、Aave、Yearn等收益協議中添加自由流動性來獲得額外收益。
3. 當價格瘋狂時,無常損失受到保護
好的,說了那么多數學和公式!讓我們來談談房間里的大象,一個統治這個世界的小問題,一個推動所有成功的小問題——它對我有什么好處?
事實證明,這種策略的APY在USDC-WETH對上可以達到驚人的58%,在WBTC-WETH 對上達到18%:


在這里,雙代幣策略的APY是通過0xAlexEuler的方法計算的,這對于加密投資者來說看起來更有效(計算兩個代幣之一的APY可以獲得更高的APY,但易于操作——在Twitter中閱讀更多內容。
現在想象一下我們接下來可以做什么?一種優于普通UniV3投資的VMF策略。建立一個自動執行此策略的保險庫,所以對于流動性提供者來說只是一勞永逸?肯定的事。但還有更多……
事實上,任何基于UniV3的主動管理策略都可以構建在VMF策略之上,并具有……更高的收益和……更低的無常損失!
我們想讓這部戲有一個開放式結局。我知道每個人都討厭開放式結局。但!它們留下了更多的想象空間,這在現在已經很少見了。
來源:SparkDAO 自一年前推出主網以來,Fetch.ai已經創建了許多新穎的協議和新技術,這些協議和新技術融合了多智能體系統,區塊鏈生態系統,分類賬,數字孿生體,集體智慧,分散的金融協議.
1900/1/1 0:00:00原文標題:《Forart.ai : Create to earn 可能成為 P2E 領域繼 STEPN 的下?個爆點》What is Forart.ai Forart.
1900/1/1 0:00:00NFT 市場的火熱既在意料之外也在情理之中,大盤市場的低迷導致大部分其它賽道項目代幣也陷入低谷之中,而這一次 NFT 市場隨著 Bayc 發地這一事件,再一次陷入爆發時期.
1900/1/1 0:00:00說到 Web3 代幣,有些人可能會自動想到比特幣和以太坊等加密貨幣代幣——但遠不止這些。事實上,Web3 硬幣構成了一個更大的生態系統的一部分,許多人認為這是我們所知道的互聯網和金融的未來.
1900/1/1 0:00:00區塊鏈技術浪潮席卷各行各業,萬物互聯、信息共享的可信互聯網時代似乎已近在咫尺。區塊鏈的商業應用落地成了區塊鏈技術企業的必爭之地,這場技術的碰撞,商業的爆發,究竟是怎樣的顛覆? 1.異構多鏈的構架.
1900/1/1 0:00:00小長假期間,如果你長期混跡于一些活躍的 NFT 社區,大概率會聽到一個名為「Gh0stly Gh0sts」的項目.
1900/1/1 0:00:00