BTC/HKD-1.01%
ETH/HKD-1.21%
LTC/HKD-1.13%
ADA/HKD-2.29%
SOL/HKD-1.39%
XRP/HKD-1.55%Uniswap V2是最受歡迎和最成功的DEX。
通過曲線對配對資產進行定價,結果變成了這樣:

其中 x 和 y 是資金池中資產的余額。
給定Δx,為了將Δx交換為Δy,Uniswap V2將執行以下計算:

這樣交換后仍然滿足xy=k不變量,價格為:

Uniswap V2的一大特點是無需許可,任何人都可以通過提供代幣來創建兩個資產的交易對。
例如,通過在資金池中提供 x = 1 ETH和y = 3000 USDT,流動性提供者可以創建一個交易對,ETH最初定價為3000 USDT/ETH。
Crypto Oasis Ventures與迪拜國際金融中心簽署合作諒解備忘錄,擬推出區塊鏈初創加速器:金色財經報道,區塊鏈生態系統Crypto Oasis Ventures宣布與迪拜國際金融中心簽署合作諒解備忘錄,根據諒解備忘錄的條款,雙方將聯合推出區塊鏈初創加速器,同時Crypto Oasis Ventures也將在迪拜國際金融中心旗下創新中心為開設第二個風險工作室辦事處。(menafn)[2023/7/22 15:52:25]
盡管Uniswap V2獲得了廣泛采用,但Uniswap V2的關鍵問題是其資本效率低,因為流動性分布在價格 [0, +∞] 上。
這意味著如果兩種資產的價格集中在一個相對較小的范圍內(例如穩定幣互換),則資金池中的大部分資產并沒有有效地為互換做出貢獻,從而導致較高的滑點和LP收取的費用較低。
Uniswap V3的集中流動性
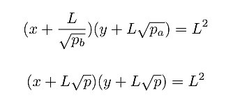
Uniswap V3通過使用一種稱為集中流動性的技術來改善資本效率低下的問題,該技術使用了以下曲線:

交易所的比特幣余額創4年新低:金色財經報道,據Glassnode數據顯示,交易所的比特幣余額剛剛達到2,246,301.789枚BTC,創近4年新低。[2023/2/9 11:57:26]
其中交易的實際價格在 [p_a, p_b] 中,p_a < p_b。
通過設置p_a = 0和p_b = +∞,V2本質上是V3的特例。
在提供流動性時,Uniswap V3會向LP詢問流動性的價格范圍(見下圖)。

這允許LP將流動性集中在目標價格范圍內,從而實現更高的資本效率。
以穩定幣交易(USDC/USDT)為例,從下圖中,95%的流動性集中在價格區間[0.999, 1.001],實現了比Uniswap V2約2000倍的資本效率。
由于流動性集中,交易USDC/USDT的滑點遠低于V2,因此對于流動性池中提供的相同數量的資產,LP可以比V2收取更多的費用。
Justin Sun:已于15時42分向Binance轉入1億枚USDC:12月13日消息,Justin Sun 在其社交平臺表示,已于 15:42 分向 Binance 轉入一億枚 USDC。[2022/12/13 21:41:48]

由于集中流動性的特點,Uniswap V3的TVL進展非常順利,在大約3個月內達到25億。

多重匯集資產的集中流動性
Uniswap V3僅為成對資產的集中流動性。一個很自然的問題是:
資金池中多種資產的集中流動性如何?
通過為多種資產集中流動性,我們可以實現更高的資本效率,因為資產可以共享資金池中的流動性。相比之下,在V3 中,由于直接交易的流動性不足,交易可能會被路由到多個交易對。例如,交換TUSD -> BUSD可能會被路由到TUSD -> USDT -> BUSD,這意味著交易者將支付更多的費用,滑點越高。
摩根士丹利:加密市場預計將進一步破產和去杠桿化:金色財經報道,摩根士丹利 (MS) 周三在一份研究報告中表示,隨著加密貨幣價格下跌,投資者對數字資產的興趣在過去一年發生了變化。報告表示,傳統金融客戶對受監管產品的需求有所增加。市場正在重新評估所有發行的項目代幣的價值,以及它們是否已被用作杠桿資產,該行業預計將進一步破產和去杠桿化。重點仍然是建立數字資產基礎設施,盡管一些投資者認為,數字資產完全成為主流可能需要10-15年的時間。
此外,這個周期中的加密貨幣市場杠桿比上一個周期更大。這可能是因為做市商、公司和投資者等加密貨幣機構是這次市場的主要交易者,而在2017-18年散戶占主導地位。[2022/11/30 21:13:18]
所以核心問題是:
多重資產的集種流動性曲線應該是怎樣的?
不幸的是,答案并不簡單,甚至更為復雜。讓我們從從集中流動性中獲益最多的穩定幣交易開始。
假設兩個穩定幣的價格在[p, 1/p] 之間(例如,p = 0.999),我們可以將V3曲線簡化為:

原 Terra 上 DEX 及 NFT 市場 Loop Finance 已遷移至 Juno Network:5月27日消息,原 Terra 上 DEX 及 NFT 市場 Loop Finance 已遷移至 Juno Network。Loop Finance 表示之后將專注于 IBC、DEX 聚合器以及 Spotlight NFT 市場等方面的開發,并減少流動性激勵。[2022/5/27 3:45:41]
其中 [p, 1/p] = [p_a, p_b]。
簡化曲線的優點是它有點對稱,直觀的擴展是為另一個穩定幣添加第三項,得到以下等式:

請注意,3個資產等式與2個資產等式的細微變化:
右手邊是 L3 而不是 L2
我們不使用左側的p的平方根,而是使用p的立方根。
鑒于這個等式,我們有一個關鍵結果:

例子
Balanced Pool
3個有6位小數的穩定幣
x, y, z = [1000,000e6, 1000,000e6, 1000,000e6],即每個資金池中有1M
p = 0.999,即價格范圍是[0.999, 1.001]
由于這三個術語相同,我們有:
L = x / (1 — ?0.999) = 2998.99977x
請注意,與x y = k曲線相比,其中L = x,我們的資本效率約為2000倍。
用10,000e6(即10k美元)T0 交換T1將返回9999.96e6 T1 @ 0.999996 T0/T1。作為比較,xy=k曲線將返回9375e6 T1 @ 0.9375 T0/T1,其滑點要高得多。
極度不平衡的資金池
x, y, z = [0, 0, 1000,000e6],即每個資產池中有1M
p = 0.999,即價格范圍是 [0.999, 1.001]
由于資金池只有一個資產T2,我們預計T2的價格將接近價格限制,即0.999,或者等效地,剩余資產的價格(T0/T1)與 T2 的價格應為 1.001。
按照曲線,我們可以求解L = 999.333z。因此,將10,000e6 T0 交換為T2將返回10009.90e6 T2 @ 1.00099 T0/T2,與價格限制(1/0.999)幾乎相同。
當前狀態
我們正在實施穩定幣交易的交換算法:
高分辨率定點求解器 ? n = 3 個資產(但可以擴展到更多)
可調整的價格范圍[p, 1/p]
Uniswap V2風格的界面(鑄造/銷毀/交換)
gas成本優化
一旦算法的實現得到了很好的驗證,我們將使用它作為Smoothy.finance (SMTY)下一版本的候選。
未來話題
在匯集資產的集中流動性領域,可以進一步發展幾個有趣的話題:
更多資產 {x_0, x_1,…,x_n},其中曲線如下所示:

多個價格范圍。例如,假設我們有p_0 < p_1(例如,p_0 = 0.99,p_1 = 0.999),并且LP可以選擇其流動性的價格范圍之一。
因此,該算法將聯合求解以下方程以進行交換。

不同資產的不同價格范圍,方程式如下所示:

總結
集中流動性是DEX中最熱門的話題之一,具有以下好處:
降低滑點
更多費用
Uniswap V3是第一個為配對資產提供集中流動性的DEX。對于穩定幣交易,資本效率可以達到2000倍。
我們建議對多池資產集中流動性:
在多種資產之間共享流動性。
非常適合穩定幣交易。
可以成為相同支持資產互換市場(相對于曲線)中的有競爭力的產品。
穩固的智能合約實施。
Tags:UNISWAPUniswapUSDunisat干什么的ESWAP價格uniswapwallet教程btcusdt
NFT藝術收藏品交易平臺Ethernity Chain,云集了全球名人的支持,在很大程度上推動了NFT藝術收藏品的發展.
1900/1/1 0:00:00Binemon是最近銀柳實驗室研究的N款GameFi游戲中的一款,也是目前比較看好的一款游戲,有著火爆的潛質.
1900/1/1 0:00:00為了方便投資者及時了解項目的相關信息和操作流程,金色財經推出了“金色說明書”系列教程,教程不代表金色觀點.
1900/1/1 0:00:00倫敦硬分叉,以太坊最近一次更新,已經于周四順利激活了。該升級將解決目前以太坊網絡的許多問題,但同時不可避免的它也遭受著許多的非議.
1900/1/1 0:00:00Avalanche基金會宣布將推出1.8億美元的流動性挖礦獎勵計劃Avalanche Rush,鼓勵更多應用和資產加入蓬勃發展的Avalanche DeFi生態.
1900/1/1 0:00:00本文由ChainLink原創,授權金色財經首發,轉載請注明出處。房地產是價值最高的資產類別,2020年價值為26873.5億美元,預計到2025年將達到37170.3億美元.
1900/1/1 0:00:00