BTC/HKD+2.24%
ETH/HKD+1.75%
LTC/HKD-0.22%
ADA/HKD+0.87%
SOL/HKD+0.89%
XRP/HKD+1.63%作者:Chloe,IOSG Ventures
自五月Terra爆雷導致的一系列連鎖反應,到七月末美聯儲加息,加密行業在受到連續的沖擊后陷入了暫時的沉寂。二級市場上,BTC價格回落到兩萬美金左右,與17年牛市的高點基本持平。一級市場也趨于冷靜,項目的數量和估值明顯下降,基金出手的頻率也隨之放緩。就連Telegram上面的一直非常熱鬧的加密社群,成員們也從一分鐘發幾百條消息討論市場變成了日常吹吹牛,發發美女圖片。在這個熊市,大家都變得”佛系“起來。
NFT市場同樣也不例外,藍籌NFT的地板價出現了較大幅的下降。同時,OpenSea的8月交易量不到五億美元,創一年以來的新低。盡管如此,面對低迷的市場行情,作為加密基金兩大風向標的Paradigm和A16Z沒“佛”起來,紛紛在近期圍繞著NFT定價、版權等議題發文。8月31日,A16Z發表了“The Can’t Be Evil NFT Licenses”,界定了NFT六大版權類別。Paradigm分別在8月24日和9月6日發表了VRGDAs和GOO,對NFT的創新拍賣機制和社區價值進行了討論。本文將著重為讀者介紹這三種圍繞著NFT構建的新標準和機制。

圖片來源:https://dune.com/PierreYves_Gendron/opensea---metrics
Paradigm—VRGDAs
概念:VRGDA是NFT的新拍賣機制,適用于非線性釋放的欠缺流動性的資產
邏輯:NFT發行方可以利用VRGDA,自定義NFT除一次性釋放或線性釋放以外的拍賣時間表。并且通過價格的動態調整擬合時間表
意義:使創作者,而不是礦工獲得更多消費者剩余;平緩并延長NFT項目的生命周期
VRGDAs,英文全稱是Variable Rate Gradual Dutch Auctions,是Paradigm提出的NFT拍賣新機制。在討論VRGDA之前,我們先來看看GDA的概念。GDA的中文是漸進式荷蘭拍賣,顧名思義,其工作原理就是將一筆拍賣分解成一系列的荷蘭拍賣(注:荷蘭拍賣是一種常用的拍賣機制,拍賣品會從一個高要價開始競拍,然后逐漸減低價格,直至買家愿意接受)。因為不依賴于市場流動性而銷售,GDA尤其適合應用于欠缺流動性的資產。
今日恐慌與貪婪指數為68,等級仍為貪婪:金色財經報道,今日恐慌與貪婪指數為68(昨日為68),等級仍為貪婪。注:恐慌指數閾值為0-100,包含指標:波動性(25%)+市場交易量(25%)+社交媒體熱度(15%)+市場調查(15%)+比特幣在整個市場中的比例(10%)+谷歌熱詞分析(10%)。[2023/4/15 14:05:42]
VRGDA是GDA的衍生,它允許NFT發行方制定一個拍賣時間表,比如每天售賣100個NFT,或者每天比前一天少售賣十個NFT等。NFT的生命周期和Gartner Hype Cycle(技術成熟度曲線)十分類似。NFT在初期沒有太多聲量時價格很低,獲得社群和知名度之后價格暴漲,隨后因為熱潮過去價格瘋狂下跌。大部分NFT項目會歸零,而極少數獲得共識的NFT能夠存活下來,并且逐漸穩定在一個市場均衡價格。

圖片來源:wikipedia-Gartner hype cycle
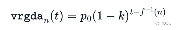
那么VRGDA如何通過拍賣機制延長NFT的周期呢?Paradigm給出了這樣一個函數:

其中P0是NFT目標價格;k是沒有達到預期銷量時NFT價格的衰變因子,f(t)是時間表,在t時間點預期賣出n個NFT。通過代入不同的f(t),我們能得到不同的銷售機制。Paradigm在文中僅討論了三種情況,不過理論上任何形式的時間表都可以被實現。如果發行方選擇以恒定的速度線性釋放NFT,比如每天釋放10個,這就是簡單的GDA。如果發行方期望隨著時間來調整發行的數量,則需要VRGDA。比如發行方要發行一個無限供應的NFT,并且預計在發行之初能制造更多的熱度,因此計劃在早期釋放更多的NFT,隨著時間的推移,釋放的NFT數量遞減,那么可以選擇開方函數代入。如果發行方想在早期更加激進的釋放NFT,且不希望NFT無限通脹,那么可以選擇對數函數來實現。
官宣:瑞銀以30億瑞郎收購瑞信:金色財經報道,在瑞士政府的斡旋下,瑞銀同意以30億瑞郎收購競爭對手瑞士信貸,并同意承擔高達54億美元的損失。瑞銀表示,瑞信股東所持22.48股瑞信股票將換得1股瑞銀股票,相當于每股0.76瑞郎,總對價為30億瑞士法郎。該交易預計將于2023年底完成,到2027年,每年將節省約70億美元的成本。瑞士央行表示,將向合并后的銀行提供1000億瑞郎(合1080億美元)的流動性援助。瑞士金融市場監管局(FINMA)表示,兩家銀行的所有業務活動將有可能繼續進行,不受限制或中斷。在瑞士政府提供支持后,瑞信名義價值約160億瑞郎(172億美元)的額外一級資本債券(AT1)將被完全減記。[2023/3/20 13:13:45]

圖片來源:https://www.paradigm.xyz/2022/08/vrgda
當擁有了預期的時間表后,第二步就是通過價格的動態調整來擬合預期的時間表。這里應用了經濟學中最基礎的需求理論:商品的價格上升,需求減少;商品的價格下降,需求增加。因此我們可以通過調整k來調整NFT的價格,如果銷量高于預期,那么抬高NFT的價格來控制過剩的需求;如果銷量低于預期,那么降低NFT的價格來刺激需求。通過干預價格來擬合預期的時間表。
采用VRGDA之后的好處是什么呢?最直接的就是創作者而不是礦工能夠獲取更多利潤。如果發行方能夠調整每天發行的NFT總量,就不會出現一次性發行引起的gas戰爭,讓很大一部分消費者剩余進了礦工的腰包。其次,這種發行方式還能夠使NFT的生命周期更加平緩,避免價格暴漲暴跌。同時一定程度上延長NFT的生命周期。
Paradigm—GOO
概念:GOO是針對發token的NFT社區的所有權的一種優化方式
邏輯:通過token的高通脹來實現資產的強制鎖倉,并且通過綁定NFT和token增發的關系以綁定NFT持有者和token持有者兩個群體
Binance銷毀了從現貨和保證金交易對收取的價值186萬美元的LUNC:金色財經報道,加密貨幣交易所Binance銷毀了從現貨和保證金交易對收取的價值186萬美元的LUNC。金色財經此前報道,幣安將于10月4日首次啟動LUNC銷毀程序,預估超146億枚LUNC(487萬美元)將被銷毀。[2022/10/4 18:38:54]
意義:讓NFT持有者和token持有者兩個群體盡量保持重合對于項目有很大意義,但是通過高通脹的方式來實現并不具有很強的可持續性

GOO,全稱是Gradual Ownership Optimization,意為漸進式所有權優化,適用于同時發NFT和token的社區。GOO針對的問題主要是,很多項目的NFT發行和token發行是獨立的并且沒有綁定關系,因此隨著時間的推移,token持有者和NFT持有者會產生分離。例如ENS社區,持有ENS域名的群體和持有ENS代幣的群體并不重合。
GOO解決問題的方式在于將token的增發和NFT綁定起來。簡單來說,用戶需要同時持有一定比例的NFT和token才能將自己的利益最大化。Token的發行是高通脹的,隨著時間的推移,單位時間增發的token會越來越多。同時Token的分配跟兩個條件有關:1. 必須持有NFT,2. 持有Token的數量,持有token數量越多,增發的token會相應更多。
基于NFT增發token也可以被理解為NFT有產生token的能力。如果用戶手里只有token沒有NFT,相當于只有蛋沒有雞,用戶沒有產生token的能力。那么隨著token發行量越來越大,用戶手上token的價值會被稀釋。因此只持有token不持有NFT是一個非常不明智的決定,用戶會更有動機同時持有兩種資產。那么更加復雜的問題在于當用戶持有NFT時,持有多大比例的GOO才能達到效用的最大化?
實時云渲染解決方案提供商“蔚領時代”完成4000萬美元B2輪融資,淡馬錫領投:9月26日消息,實時云渲染解決方案提供商“蔚領時代”完成4000萬美元B2輪融資,淡馬錫領投,明勢資本、鼎暉VGC跟投,華興資本和凡卓資本聯合擔任財務顧問,所籌資本將用于進一步完善以實時云渲染為基礎的軟硬件戰略布局,加速下一代算力基座的打造,推動云渲染行業整體生態的構建,并計劃向海外市場拓展業務。與此同時“蔚領時代”將在現有業務的基礎上,探索基于VR/AR為場景的下一代內容形態,拓寬云上開發環境的應用空間。
注,“蔚領時代”成立于2019年,三年內已完成5輪共計數億元融資,除本輪投資方以外,還包括順為資本、敦鴻資產、小米集團、米哈游、中手游、金山云等投資機構和產業鏈企業。[2022/9/26 7:21:27]
前文提到,持有越多的token,獲得的增發的token會越多。但為了避免出現一個賬戶里只有一個NFT(為了獲得了增發token的權利),和很大數量的token(為了獲取盡可能多的增發token)的情況。Paradigm將基于NFT增發token的速率做了規定。NFT生產token的函數為:

其中m是NFT產生token的乘數,g(t)是t時間點持有的代幣數量。因此NFT產生token的效率跟兩個因素有關,一個是NFT自身的乘數(初始稟賦),一個是持有token的量(后期調整)。這里運用了一個開方函數,意義在于每多持有一單位的token對于手中NFT產生token的邊際效率是遞減的。因此,當持有人手中的NFT和token已經達到了最佳的比例時,繼續增持token的效用低于再構建一個新的NFT和token的portfolio。
那么新的問題產生了,如果有動機持有多個NFT,用戶是否需要不斷動態調整token的配比來達到最佳平衡點呢?答案是否定的。在Paradigm這套機制之下,一旦token與NFT乘數達到最佳的比例之后就不再需要調整了。并且在最佳配比下持有一個乘數為10的NFT和持有兩個乘數為5的NFT獲得的token是相同的。意味著只持有一個NFT的人和持有多個NFT的人并不存在不公平的情況,因為token增發的速率只與NFT乘數有關,與持有NFT的數量無關。詳細的數學公式推導這里不展開解釋,感興趣的讀者可以參照Paradigm的原文。
衍生品協議Vyper Protocol將從Serum DAO獲得50萬枚SRM開發贈款:金色財經消息,鏈上衍生品協議Vyper Protocol宣布其從Serum DAO申請50萬枚SRM的開發贈款獲得批準。Vyper Protocol已于上周上線devnet,允許用戶創建、交易和結算鏈上衍生品。[2022/7/25 2:36:41]
GOO的意義,簡言之,首先是通過token的高通脹來實現資產的強制鎖倉。其次,通過綁定NFT和token增發的關系來綁定NFT持有者和token持有者,避免兩個社群利益不一致導致的問題。比如,持有NFT代表著認同此NFT帶來的文化屬性,持有token更多是出于投資考慮。然而社區的治理權的分配普遍是根據持有token的數量來分配的,這些token持有人可能對社區本身并無身份認同,也不會有興趣參與治理。因此保持NFT和token持有人兩個群體一致是非常必要的,但是通過高通脹來實現強制鎖倉,筆者認為并不具有可持續性。
A16Z—Can't Be Evil NFT Licenses
概念:Can’t be Evil NFT Licenses是A16Z頒布的NFT商業版權準則
邏輯:執照劃分了六個NFT商業版權的種類,并且界定了五種權限。NFT發行方采用了哪種執照,就意味著對應擁有或者放棄某些權力
意義:A16Z頒布的準則為NFT空白混亂的版權市場提供了一套標準,但是我們離“不能作惡”目標和完善的許可制度還有很遠的距離,需要全行業的共同努力
傳統的版權許可制度對于創作者的條條框框非常多,極大程度限制了創作者或者更多人參與文化和知識生產。特別是在Web3.0的背景之下,過去的規則已經無法解決新的問題。許多的NFT項目因不清晰的版權界定造成了很多紛爭甚至法律問題。為了應對這一現象,A16Z頒布了“Can’t be Evil NFT Licenses”。
這些執照明確規定了買方關于其NFT藝術作品的權利,主要設計到三個方面:1. 這些權利是否具有排他性(創作者放棄所有授權權利,只有買方有權決定如何使用NFT);2. 是否包括商用權(開放買方用于商業目的權利);3. 是否允許買方的二改,二創等行為(修改或者二創NFT并且使用)。其他權利還包括買家是否有復制、展示和傳播的權利,以及有權刪除仇恨言論等等。

圖片來源:https://a16zcrypto.com/introducing-nft-licenses/
基于六種NFT執照,創作者讓渡了哪些權利給買家同時保留了哪些權利有了非常清晰的界定。這一套規則可以幫助NFT社區更好獲得知識產權的保護,有助于建立一個更加公正、有效、更具創造力的NFT生態。值得注意的是,A16Z這套準則經推出后也沒有直接被社區全盤接受,市場上也出現了不少反對的聲音。
例如其中一條涉及到仇恨言論的權利引起了熱議。因為如何界定“誹謗、騷擾、欺詐、粗俗、殘忍”等等性質完全是創作者主觀的判斷,沒有客觀的標準可能會導致紛爭,特別是歐美普遍的“cancel culture”。盡管如此,拋開具體的條例是否合理,Web3.0社區討論和研究的態度和熱情十分令人欣慰。A16Z也在文章中提到,上述權利只涉及到最簡單最基本的權利,它可能并不適用于每一個項目或解決所有的版權糾紛。筆者認為這是一個很好的起點,也鼓勵更多的從業者們為行業標準化添磚加瓦。
Why Always About NFT?
如今的NFT已經衍生出了很多玩法,眾多NFT-fi項目不斷涌現。我們在之前的文章《Sudoswap引領的NFT-Fi Summer來了》中詳細介紹過。然而,NFT-fi有一個最基本的前提——NFT的底層價值被廣泛認可。基于此,NFT的抵押借貸、衍生品、碎片化等一系列玩法才有意義。那么底層價值來自于哪里?筆者認為,NFT有兩個基本屬性——內容屬性和金融屬性,這兩種屬性反映了NFT兩個底層價值——文化價值和實用價值。
首先是文化價值,NFT可以作為文字、圖片、音頻、視頻等文化產品的載體。但現實中,NFT賣出如此高的價格仍為被大眾接受。“NFT不就是一張JPEG,憑什么這么貴?”類似的質疑聲不絕于耳。實際上,這個問題本身隱含著一個價值判斷:文化產品應該是廉價的,因為Web2.0平臺的服務和內容都是免費的。而這種想法是多年來注意力經濟的商業模式培養出來的消費習慣。不管是圖片、文章還是音樂、視頻,消費者已經習慣了廉價的文化產品。因此一張JPEG能賣出很高的價格在大眾眼里成為一件很離譜的事。
然而,商品的價值和價格是兩種屬性,價格是價值的貨幣表現,但這種映射并不總是正確的。文化產品低廉的定價導致消費者誤認為文化產品沒有價值。因此,作為文化載體的NFT也沒有價值。一旦消費者被培養出了這種觀念,創作者的變現就會極其困難。筆者在上一篇《流行音樂編年史——創作者經濟如何成就最偉大的作品?》里也闡述過這樣一個觀點:壟斷的終局都不是對于技術的壟斷,而是對于經濟模型擁有絕對的話語權。注意力經濟剝奪了創作者的定價權,并培養了消費者錯誤的消費觀念和習慣。為了改變這個現狀,Web3.0首先是一場文化運動,讓NFT的文化價值被廣泛承認并正確定價。
然而,消費觀念是長期培養形成的,消費觀念的改變也不可能一蹴而就。在NFT的文化價值不被承認的背景之下,NFT的第二個屬性——金融屬性顯得尤為重要。如果一個NFT有實用價值,那么消費者自然會為NFT付費。比如NFT作為門票、會員、身份、游戲道具、投資標的等等被應用,NFT的用例在持續創新。如果NFT在各個領域被廣泛應用,其實用價值被不斷驗證并且推廣,消費者對于NFT的認知就不會停留在JPEG層面。
只有NFT的底層價值成為共識,NFT衍生玩法才有意義,NFT-fi才有可能成為新的敘事。目前市面上已經出現很多NFT-fi項目,但是圍繞著NFT底層價值的討論寥寥無幾。A16Z和Paradigm作為“Web3.0明燈”,近期圍繞著NFT的價值展開眾多研究。VRGDA提出了更好的拍賣機制,讓NFT的價值更有效地體現在價格上。Can’t be Evil License為NFT作為文化產品的版權載體清理了障礙。相比之下,筆者認為近期最熱門的GOO反而沒有那么深遠的意義——NFT的持有動機最終應該來自于價值,而不是強制鎖倉。不過在NFT底層價值沒有成為共識之前,GOO可以作為緩兵之計。
在這個熊市,我們希望看到越來越多關于NFT底層價值的討論出現。讓NFT能夠真正發揮其作用,而不只停留在投機的層面。IOSG對NFT的未來充滿信心,后續請持續關注IOSG公眾號,我們將為大家帶來更多深度討論。
IOSG
個人專欄
閱讀更多
金色早8點
財經法學
成都鏈安
Bress
鏈捕手
PANews
Odaily星球日報
回溯歷史,通往“世界計算機”的每一步都印在那密密麻麻的code里。 作者:freeyao 什么是以太坊?一千個人有一千個答案,而本文想探討的是最為一致的答案,即以太坊的協議是什么?或用更技術地描.
1900/1/1 0:00:00注:「每周熱搜」統計自 Foresight News 上周五至本周四(9 月 2 日至 9 月 8 日)的用戶搜索結果,同時對相同概念的大小寫進行了合并處理.
1900/1/1 0:00:00上周,NBA 球星凱文杜蘭特撤銷交易申請,接受布魯克林籃網隊的“招安”,球隊老板蔡崇信總算松了口氣,長達近兩個月的一系列離隊鬧劇終于結束了.
1900/1/1 0:00:00原文標題:《a16z 指南:如何避免 NFT 的 Gas War?》(NFT Sales: Clearing the Market.
1900/1/1 0:00:00作者:Carol 版稅正在成為NFT交易市場競爭的新維度。在過去很長一段時間內,NFT交易市場的龍頭OpenSea定義的版稅規則是,由賣家支付項目方或創作者設定的版稅(一般默認為成交價的10%).
1900/1/1 0:00:00撰文:Nansen NFT 交易者應該有一個目標:找出如何找到和跟蹤 NFT「巨鯨們」。 區塊鏈技術從根本上透明、開放和可審計的特性催生了一種新的社交化復制交易實例:觀鯨.
1900/1/1 0:00:00