BTC/HKD-1.92%
ETH/HKD-1.14%
LTC/HKD+0.51%
ADA/HKD-1.56%
SOL/HKD-4.43%
XRP/HKD-1.34%原文:《A Framework for DAO Token Valuation》by Kristof Lommers
編譯:DAOctor
在本文中,我們將討論去中心化自治組織 (DAO) 的估值框架。盡管本文基于公司金融的理論,但引入了 DAO 原生估值概念。估值框架將使社區能夠衡量 DAO 在為代幣利益相關者創造價值方面的表現,并有助于對 DAO 背后的開發團隊引入更多責任。應該指出的是,擬議的 DAO 估值框架是初步的,因為我們只是在了解 DAO 的特性以及市場參與者如何對它們進行估值。
許多協議都采用雙重公司 -DAO 結構,其中公司充當 DAO 底層協議的開發商和運營商。本文重點介紹 DAO 代幣的估值,與 DAO 背后的開發商相比,它代表了一個獨立的估值框架。我們認為 DAO 代幣估值主要可以通過兩種方式進行,即基本估值法和可比分析法。在基本面估值方法中,我們嘗試根據基本面對 DAO 代幣進行估值,而在可比方法中,我們嘗試根據各種指標比較 DAO 代幣。最后,我們討論了在估值過程中可能考慮的各種代幣特定考慮因素。
首先,我們需要正確定義我們的定價。在本文中,我們將 DAO 視為(準)在智能合約上自主運行并由利益相關者社區管理的組織。許多協議都存在雙重公司 -DAO 結構,其中公司充當 DAO 委托的底層協議的實際開發商和運營商。協議背后的公司往往在 DAO 之前創建,并保持相關 IP 和資產的所有權。例如,Uniswap 可以被視為具有治理代幣(UNI)的 DAO,其中開發由 Uniswap Labs 公司處理。本文重點介紹 DAO 代幣的估值,與用于 DAO 背后的開發公司股權的估值框架相比,它代表了一個獨立的估值框架。
Web3 將代幣經濟學用于利益相關者和代幣激勵的目的,以創建適當的去中心化和激勵調整。代幣也被用作冷啟動問題的部分解決方案,其中代幣激勵用于引導用戶并獎勵適當的用戶行為。從根本上說,代幣的價值通過社區成員身份、代幣在生態系統中的效用以及附帶的治理權來體現。DAO 創造的價值通常不是為了在代幣持有者之間分配所產生的價值,而是為了提供效用和治理參與。在不涉及證券的法律辯論的情況下——因為這個討論遠未解決——DAO 一直小心翼翼地不直接向代幣持有者分配價值,因為這可能會導致代幣被歸類為證券。DAO 創造的價值可以通過各種渠道間接流向代幣持有者——例如,人們可以重視 staking 的價值、社區的利益、成員資格和 DAO(部分)的總體增長。根據具體情況,人們還可以像某些協議所做的那樣,將直接價值分配納入代幣持有者。
首先,沒有一個放之四海而皆準的估值方法,一個 DAO 可以涵蓋許多不同的概念。例如,Hennekes (2022) 將 DAO 分為八類:協議 DAO、贈款 DAO、慈善 DAO、社交 DAO、收藏 DAO、風險 DAO、媒體 DAO 和子 DAO。
瑞士國家銀行主題演講探討比特幣是否可以取代法定貨幣:金色財經報道,本周,瑞士國家銀行舉行了加密資產和金融創新會議。一場發人深省的主題演講探討了法定貨幣是否會受到挑戰。如果是這樣,它會被黃金、比特幣、一些與通脹掛鉤的代幣或其他東西所取代嗎? 該演講由經濟學家Lawrence H. White主講,他是喬治梅森大學的高級研究員和卡托研究所的高級學者。在演講中,他透露他曾與Hal Finney和Nick Szabo有過交集,有人認為他們就是比特幣的創造者中本聰。[2023/6/1 11:51:28]
Friend With Benefits DAO 是一項基于社區的努力,它的很多價值都來自社會資本,而 Orange DAO 是一項集體風險投資努力。因此,每個 DAO 都需要一種特定于其類別的估值方法,并且不同因素的重要性將根據 DAO 類別而有所不同。然而,我們可以提供一個通用框架來考慮估值,如果進行適當的特定類別調整,該估值可以大致應用于不同的 DAO。
我們認為 DAO 代幣估值主要可以通過兩種方式進行,即根據基本估值方法或可比分析方法。在基本面估值方法中,人們試圖根據與持有代幣的效用和預期代幣價值增長相關的基本面來評估 DAO 代幣。在投資比較方法中,人們嘗試根據各種指標比較 DAO 代幣。顧名思義,基本估值方法更符合嘗試根據基本面給代幣定價,而可比分析方法是一種更符合市場的估值方法,試圖從市場推斷估值可比較的 DAO。
可以通過以下方式考慮 DAO 代幣的基本面估值模型

估值既是一門藝術又是一門科學,許多子組件需要酌情估計和假設。在下文中,我們將討論在 DAO 代幣的基本面估值中發揮作用的各種子組件。
A. 折現系數
貼現率可以通過加權平均資本成本(WACC)來估算,加權平均資本成本是根據其資金來源的加權平均貼現率計算得出的。這些資金來源可以包括債務或股權(代幣)。更具體地說,WACC 計算如下:

其中 D 代表 DAO 的債務價值,T 代表 DAO 代幣的總價值。
對于債務成本,我們應該簡單地采用債務收取利率的價值加權平均值。然而,在大多數情況下,DAO 資金結構中沒有杠桿作用,這意味著 WACC 基本上等于代幣資本成本。
我們可以通過計算 DAO 原生因素模型框架內的預期回報來估算代幣資本的成本。文獻(例如,Liu 和 Tsyvinski,2021)表明,加密貨幣市場是一個獨立的資產類別,具有自己的特殊走勢,并且與其他宏觀資產類別的相關性有限。然而,與股票的相關性相對較強且不斷增加,更具體地說,是與科技股票市場。特別是 DAO 代幣,這些代幣可以被視為 Web3 組織中的利益相關者。我們可以借用股票資產定價的概念,但是,考慮到該資產類別的特性,將需要一種 DAO 原生模型方法。因子模型已經在股票市場中流行,用于估計預期收益和估計貼現率。
意大利證券監管機構探討對證券代幣發行的監管:意大利國家證券監管機構(CONSOB)今天表示,它與金融市場的“一些主要參與者”舉行了一個網絡研討會,以探討證券代幣發行的監管。但有關此事的細節并未透露。(Finance Magnates)[2021/2/13 19:39:15]
先前的研究表明,三因素模型捕獲了加密貨幣系統性回報的很大一部分。正如 Botte 和 Nigro (2021) 的主成分分析所示,前三個因素占據了大約 70% 的聯動性,這與股票的三因素模型大致一致。我們已經看到加密市場發生了變化,從與比特幣密切相關的代幣回報到越來越多地與比特幣脫鉤的代幣。因此,在加密市場中存在更多特殊的風險回報, DAO 代幣與 DAO 代幣市場部分的相關性更高,在中長期內與加密市場的相關性通常較低。
對于具有足夠歷史記錄的交易 DAO 代幣,我們可以使用因子模型估算預期回報。在沒有交易代幣(或數據點太少)的情況下,我們可以使用一組可比較的 DAO 代幣并校正相關因素,例如規模和流動性不足。因子模型分兩步構建:首先構建因子回報,然后執行 DAO 代幣對因子回報的回歸。因子回報被估計為多空投資組合的回報,這些投資組合每月重新平衡并在價值加權的基礎上計算。然而,Jiasun Li 和 Guanxi Yi (2020) 發現加密貨幣中的多頭因素具有更大的意義。多頭的更大意義可能是由于加密貨幣做空的成本相對較高,這會產生較小的下行壓力。因子研究中的標準做法是對投資組合進行價值加權,但是,在加密貨幣中,某些代幣在市值方面往往存在很大的主導地位,這將使價值加權結構偏向少數代幣。因此,我們建議使用對數價值加權方案來確認頂級代幣的市值,但不要將投資組合過度偏向少數選定的代幣。此外,應根據沒有幸存者偏差且包括失敗的 DAO 項目的數據來估計因素。
我們建議使用 DAO 市場、生態系統、規模、價值、流動性和動量作為 DAO 因子模型中的因子。這代表了傳統的 5 因素模型與區塊鏈生態系統因素相輔相成。市場因素捕捉廣泛的加密市場風險,并計算為 DAO 代幣領域的平均回報。應該強調的是,我們專門使用 DAO 市場而不是一般的加密市場。生態系統因素捕獲與 DAO 所基于的 L1 生態系統代幣(例如,以太坊、Solana、Avalanche)的系統相關性。DAO 代幣從根本上與其存在的生態系統相關聯。例如,以太坊上的 DAO 依賴以太坊網絡來執行智能合約,并將在 ERC-20 框架內擁有代幣。該生態系統因子計算為相對于 L1 生態系統代幣(例如,ETH、SOL、AVAX)的超額回報。規模因子捕獲規模風險,并計算為多頭小型 DAO 代幣而空頭大型 DAO 代幣的投資組合的回報。傳統意義上的價值因素在 DAOs 中很難定義。可以根據本文比較部分討論的一些指標構建價值因素,因為這些指標代表基于財務和業務變量的價值衡量標準。流動性因素捕獲流動性風險,并計算為多頭低流動性 DAO 代幣而空頭高流動性 DAO 代幣的投資組合的回報。可以使用各種流動性度量,例如交易量、買賣價差或 Amihud 流動性不足度量。最后,動量因子捕捉動量或趨勢敞口,計算為做多表現最好的 DAO 代幣而做空表現最差的 DAO 代幣的投資組合的回報。
浩云科技:公司與廣州大學合作探討區塊鏈在金融物聯等領域應用:浩云科技(300448.SZ)在互動平臺回答投資者提問時表示,公司與廣州大學共建公共安全智能實驗室,探討區塊鏈技術在智慧司法、金融物聯等業務領域的應用。[2020/3/21]
最后,DAO 代幣對因子回報的回歸按照以下公式定義

其中 Rt 代表 DAO 代幣收益,RFt 代表無風險利率或融資利率收益,代表 DAO 代幣的 alpha 收益,i 代表 DAO 代幣對因子 i 的敞口,Fi,t 代表因子 i 的收益。「無風險」融資利率反映了流動性成本。例如,以太坊生態系統中的流動性是通過 ETH 處理的,其中 ETH 的質押回報可被視為基本資金利率。估計的 beta 系數可用于計算適當的預期回報和貼現率。
B) 未來代幣流的估值
最普遍的基本估值模型之一是貼現現金流 (DCF) 模型,該模型基于實體未來(自由)現金流的貼現估值。使用類似的思路,人們可以想到可以計算 DAO 的自由現金流的貼現代幣流。DCF 模型使用三個主要組成部分:現金流量、貼現率和對未來預期現金流量(增長)的假設。在 DAO 的情況下,我們可以引入術語自由代幣流量 (FTF),它由 DAO 產生的真實代幣流動性組成,可以使用凈收入、資產折舊、工作代幣流動性變化和系統代幣支出來計算。更具體地說,自由代幣流可以計算為:

凈收入、資產折舊、工作代幣流動性和資本支出可以在傳統會計和企業融資實踐中定義。應該指出的是,DAO 會計領域還很年輕——cfr。Lommers、Ghanchi、Ngo、Song 和 Xu (2022) 討論了 DAO 會計——以及基于加密會計和 DAO 的特性可以爭論各種方法調整。
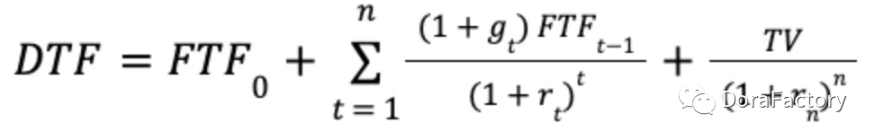
折扣令牌流量(DTF)可以計算為

其中 FTFt 代表 t 年的自由代幣流,rt 代表 t 年的貼現因子,TV 代表終值。
人們還可以假設 DAO 將隨著其細分市場的增長而增長,并使用該增長率來估計未來的自由代幣流量。麥肯錫 (McKinsey) 最近的一份報告 (2016) 支持貼現現金流模型對科技初創企業估值的價值。他們建議分析初創公司所針對的細分市場的預期長期發展,并以此為基礎進行倒推。DTF 計算變為
動態 | 美國國家標準協會將在論壇上探討區塊鏈問題:據cointelegraph報道,美國國家標準協會17日發布的公告顯示,將在下一屆法律問題和聯合成員論壇上討論區塊鏈和人工智能問題。[2018/9/18]

其中 FTFt 代表 t 年自由代幣流,rt 代表 t 年貼現率,gt 代表 t 年增長率,TV 代表終值。模型中的一個主要假設將包括未來增長率,但這可以通過情景分析來處理(例如增長率的持續、增長率減半、增長率翻倍等)。
這種代幣流可以直接或間接地增加給代幣持有者。例如回購和銷毀機制。擴大代幣持有者的價值,直接分配等。
C) DAO 利益的價值
DAO 中的代幣所有權可以帶來各種好處,如成為社區的一部分,某些成員權利,治理權利等。如前所述,DAO 中沒有一刀切的做法,各種 DAO 可以通過 DAO 目前啟用的一系列可用選項提供不同的好處。例如,大多數 DAO 的一個好處是由社區成員組成的。正如 Agarwal(2021)所認為的,社區本身就很有價值,因為它們允許建立基于社區的合作倡議,利用共同的資源,分享知識和技能,等等。治理權是持有 DAO 代幣的另一個常見好處,反映了社區參與決策的程度。為了衡量治理質量,Regner(2022)提出了各種措施,如提案數量、提案門檻、提案接受度、投票參與度等。最近社區內一直在討論治理權是否對代幣價值有影響 -- 例如,Buterin(2022)認為治理權不應該對代幣價值有影響 --。我們認為,這可以根據具體情況來決定:價值是否分配給代幣持有人,社區對 DAO 運營的參與程度,等等。
最近社區內部討論治理權是否會影響代幣價值——例如,Buterin (2022) 認為治理權不應該對代幣價值產生影響。我們認為這可以根據具體情況來決定:是否將價值分配給代幣持有者,社區參與 DAO 運營的程度等。
應該注意的是,DAO 的收益可能因代幣持有量而異。例如,Mnema DAO 根據持有的代幣數量將提供的利益劃分為不同層次,最高層次相對于最低層次更有價值。此外,作為大股東在治理方面具有一定的戰略優勢,這可以說類似于傳統公司金融中的控制權溢價。此外,每個代幣持有者對 DAO 收益的估值可能不同,因此在這個估值過程中有一個自由裁量權因素。然而,人們可以嘗試估計所提供收益的近似平均值,這可能是未來研究的一種途徑。
最后,收益貼現值 (DVB) 可以計算為

現場 | 挖時科技與華中區塊鏈媒體進行關于“行業生態”話題探討:8月10日,挖時科技與華中區塊鏈媒體(區塊鏈藍海,混序財經、紫色財經、鏈訊365,花生區塊鏈,幣需財經,黑色財經)進行深度探討。各方在“ 技術、社區、市場” 發表看法,提供意見,旨在為區塊鏈行業每一個生態環節提供真正的價值輸出。
挖時科技是一家專業于游戲開發、互聯網應用、區塊鏈應用研發于一體的高新技術科技企業。為創業者與企業提供符合企業“互聯網+區塊鏈”戰略的軟件產品設計、開發以及提供互動營銷云服務,以技術創新驅動企業“互聯網+區塊鏈”戰略的落地。[2018/8/10]
其中 DBt 代表 DAO 在 t 年收益的價值,rt 代表 t 年貼現因子,TV 代表 DAO 在 t 年后收益的終值。
還可以假設 DAO 的收益會隨著細分市場的增長而增長,并使用這一增長率來估計未來的收益。在這種情況下,DVB 計算變為

其中 DBt 代表 t 年收益值,rt 代表 t 年貼現率,gt 代表 t 年增長率,TV 代表收益終值。模型中的一個主要假設包括未來增長率,但這可以通過情景分析來處理(例如增長率的延續、增長率減半、增長率翻倍等)。
D) 預期質押獎勵
大多數具有原生代幣的 Web3 項目都允許為區塊鏈共識生成、代幣經濟學激勵或協議開發提供代幣質押,這些質押者可以獲得代幣獎勵(Cong、He 和 Tang,2022 年)。在財務方面,可以將此視為通過鎖定資本一定時間來產生被動收入。因此,可以計算出按適當貼現率貼現的預期質押獎勵。如前所述,ETH 抵押收益率可以被視為以太坊生態系統內的流動性成本。因此,有人可能會爭辯說,以太坊生態系統中代幣的流動性成本等于 ETH 質押收益率加上額外的風險溢價。質押的風險主要包括代幣被鎖定一段時間后所失去的靈活性:原生代幣的價格波動、項目失敗以及潛在的平臺黑客攻擊(Royal,2022)。需要注意的是,為了激勵早期用戶,staking 收益在早期階段可能會比較高。在這些情況下,質押收益率可能明顯高于風險調整后的流動性成本。
假設 DAO 代幣的價值與 DAO 的價值相關聯,我們可以使用各種相關指標的可比對象將 DAO 評估為一個實體。可比分析使用比率或指標來確定估值估計。更重要的是,它使用基于類似競爭對手的估值,因此是一種更符合市場的估值方法。比較分析利用基本會計和商業信息來計算與盈利能力、財務狀況、用戶吸引力等相關的關鍵指標。我們認為需要開發 DAO 原生指標來評估這種新范式中的組織。
可比較的 DAO 可以根據類別和規模來定義。如果就正確的規模和類別而言,沒有可比較的 DAO 可用,則需要找到最接近的可比較對象。如果在類別中發現可比較的 DAO 但大小差異很大,則可以估計大小修正。例如,可以估計類別內大型和小型 DAO 之間的平均估值差異并將其用作估值修正。如果可能的話,應該嘗試選擇不同的競爭對手并計算一個估值范圍。
標準的可比性包括收入、利潤、EBITDA 和利潤率等指標。有許多流行的指標用于 Web2 公司,其中一些最重要的指標包括每月獨立訪客、跳出率、平均訂單價值、活躍用戶數、客戶轉換率、流失率、每訪客成本和病系數(企業金融研究所,2022)。這些指標可以用來比較公司,從而根據這些指標對其進行相對估值。為了構建相關的可比性,必須將 DAO 與傳統(Web2)科技公司區分開來。
正如 Hsu (2022) 所說,Web2 中的估值傾向于關注客戶獲取和用戶活動。我們想爭辯說,DAO(以及更廣泛的 Web3)中的相關因素包括去中心化程度、社區參與、協議用戶、協議開發活動、與其他協議的集成、區塊鏈生態系統指標和協議收入。因此,我們可以為 Web3 估值建議以下指標:獨特的協議用戶和代幣持有者、收取的協議費用、代幣持有者參與治理、協議交易量、代幣交易量和速度、社區互動(例如,Discord)、 財務支出和增長、協議生態系統增長、代幣激勵方面的用戶獲取成本(例如,吸血鬼攻擊)和用戶凈現值(例如,以代幣形式收到的價值 - 提供的價值)。此列表絕不是全面的,我們希望鼓勵社區幫助擴展此相關 Web3 指標列表。
最好通過查看可能特定于 DAO 類型的不同度量來執行可比估值。例如,與社交 DAO 相比,構造為 DAO 的 DeFi 協議需要不同的指標。總價值鎖定(TVL)被認為是人們在分析 DeFi 協議時關注的核心指標之一。例如,Maker DAO(2021)提出了未償付風險資產總額、利息收入相關性、凈利息收入、未償付 DAI 總額、DAI 市場份額、DAI 鏈上交易量、利息收入總額和開設的金庫。可以比較 DAO 相對高估 / 低估的各個維度,并根據相關維度的相對重要性進行加權平均。
由于代幣價格是代幣供求平衡的結果,因此考慮代幣供應動態非常重要。因此,可持續和健全的代幣經濟學成為代幣估值活動的一部分。協議代幣經濟學的組成方式應促進和最佳地激勵生產價值的產生。由于大多數流通的加密貨幣代表效用代幣,有人可能會爭辯說代幣價值應該代表持有代幣的效用并描述協議生態系統提供的效用。從根本上說,可持續的代幣經濟學設計將促進代幣價值與生態系統效用之間更緊密的聯系。在比較 DAO 代幣時,應該針對未來的代幣供應進行校正,以便進行適當的逐一比較。例如,與固定代幣供應相比,「開放」代幣供應給未來估值帶來更多不確定性。
此外,正如 Samani (2017) 所論證的那樣。在對代幣進行估值時,務必要考慮代幣流通速度。生態系統的增長并不一定意味著價格上漲,因為沒有動力持有代幣的高速代幣價格升值較少。Samani(2017 年)提出了一些協議可以降低速度的方法,例如引入利潤分享機制、建立質押功能、平衡銷毀和鑄幣機制以及激勵持有的游戲化。
大多數 DAO 代幣都在去中心化交易所上市,因為在中心化交易所上市可能是一個漫長而昂貴的過程。特別是對于非藍籌代幣,流動性可能很低,交易對價格的影響很大。這對基于異常交易活動的價格波動構成了重大風險。例如,如果大宗持有人出售他們的頭寸,這可能會對代幣價格產生重大的負面影響。與此論點相關的是代幣的分配,其中大塊持有者的情況可以被認為會帶來重大風險。然而,在這個練習中,應該對協議庫中持有的代幣、交易池合約中的代幣等進行抽象,因為這些往往更具粘性或為了特定目的(例如,代幣做市)而匯集在一起。此外,早期投資者和開發團隊往往有一個在特定時間段內無法出售代幣的歸屬時間表。歸屬時間表已被證明是代幣價格變動的一致信號,因為投資者傾向于抓住機會獲利了結。因此,估值應考慮代幣歸屬時間線,這可能會在短期內造成價格大幅下行壓力。此外,財政部的流動性也很重要。正如 Regner (2022) 所論證的那樣,DAO 傾向于在國庫中持有大量分配的自己的代幣。對于資金業務,流動性很重要。如果其他代幣沒有流動性,財政部將需要出售自己的代幣,從而造成價格下行壓力。特別是在流動性相對較弱的中小型 DAO 代幣的情況下,國庫代幣銷售可能會對價格產生很大影響。
最后一點,我們想強調為代幣持有者社區提供價值和參與的重要性。在不提及具體名稱的情況下,一些領先項目的大量實用程序或治理代幣表現不佳。這主要是因為他們未能為其代幣持有者提供增值服務。這又回到了 DAO 和企業之間的討論,更重要的是兩者之間的激勵失調。如前所述,在許多協議中,協議背后的公司往往在 DAO 之前創建,并保持相關 IP 和資產的所有權。該協議可以經歷強勁的增長,而協議背后的公司在代幣停滯不前時經歷了估值的急劇上漲。房間里的大象是協議背后的公司所有者(即開發團隊和投資者)和代幣持有者之間可能存在相對較大的激勵失調。然而,正如 Walden (a16z) 所論證的那樣,協議可以逐步去中心化,這些協議開始時集中,然后變得更加分散(IP 等被轉移到 DAO),這一點可以被考慮在內。
DAOrayaki
個人專欄
閱讀更多
金色早8點
金色財經
去中心化金融社區
CertiK中文社區
虎嗅科技
區塊律動BlockBeats
念青
深潮TechFlow
Odaily星球日報
騰訊研究院
Tags:DAO區塊鏈WEB加密貨幣DaoVerse區塊鏈技術通俗講解中山大學web3游戲項目價值排名加密貨幣市場最新消息
作者:Nichanan Kesonpat,1kxnetwork本文涵蓋了去中心化身份的核心概念、互聯網上身份的演變、Web3 身份基礎設施堆棧的逐層概述以及隱私基元的相關發展.
1900/1/1 0:00:00金色周刊是金色財經推出的一檔每周區塊鏈行業總結欄目,內容涵蓋一周重點新聞、行情與合約數據、礦業信息、項目動態、技術進展等行業動態。本文是項目周刊,帶您一覽本周主流項目以及明星項目的進展.
1900/1/1 0:00:00原文編譯:Kay,GitcoinGitcoin Grants 自 2019 年 1 月誕生后以來,已然過了 3 年光景.
1900/1/1 0:00:00以太坊合并之后,以太坊網絡已由PoW切換到了 PoS 共識機制,PoS 培育了一個由參與者組成的質押生態系統,以太坊網絡將由質押32個及以上ETH的驗證者保護,替代之前以太坊礦工的角色.
1900/1/1 0:00:00Uniswap Labs在11月30日發推宣布,其NFT交易聚合服務正式在Uniswap上線。此外還向Genie的歷史用戶空投約500萬美元的USDC,并向前22,000名買家提供Gas回扣.
1900/1/1 0:00:00來源:燃財經 作者:呂敬之 當你對Web3的了解還處于迷惑或一片漆黑的狀態時,殊不知,曾經被投資人和創業者追捧的數字貨幣、數字藏品和鏈游或已成為過去時.
1900/1/1 0:00:00