BTC/HKD-0.39%
ETH/HKD-1.25%
LTC/HKD-1.98%
ADA/HKD-0.04%
SOL/HKD+0.13%
XRP/HKD-1.05%前言
上一篇文章中,我們在"F_101"上找到了17個點滿足橢圓曲線方程,他們構成一個循環。那么在"F_101"中元素作為坐標的點中還有沒有其他的點也滿足方程呢?換句話說,上篇文章列出的17個點是不是就是滿足方程的全部的解呢?并非如此,比如可以驗證(3,38)也滿足橢圓曲線的方程,但是他不是上面17個點中的一個。另一個子群
實際上,我們甚至可以通過將(6,44)作為生成元來得到一個102個元素的循環群,這個循環群涵蓋了曲線在"F_101"上的全部點。但是,曲線在"F_101"上的循環周期為17的循環群卻只有中篇列出的一個,也就是說在"F_101"上討論的話,循環周期為17的點已經被我們全部找到了。
在中篇中,我們也提到數域的擴張會直接影響我們需要討論的點的多少,那么如果我們對"F_101"進行擴張,是否能夠得到更多的循環周期為17的點呢?METASTATE的博客中給出這樣一個例子,我們將用這個例子說明這個命題的真假。首先我們選擇滿足j^2mod17=15的j用于對"F_101"的擴張,過程就像我們上一篇文章中進行的那樣,擴張后的域記為“F_101的二次擴域”。在這個擴張下,我們可以找到另一個循環周期為17的群,下面的表格列出這個群的全部元素:
Do Kwon聲稱他不知道自己的密碼是假的:金色財經報道,Do Kwon在6月16日在黑山首都波多里察地方法院的一次聽證會上聲稱,是通過朋友推薦的新加坡一家機構收到了他被抓獲的哥斯達黎加護照;并表示,我拿著哥斯達黎加護照環游了世界。如果我懷疑那是假護照,我就不會去很多國家旅行了。Do Kwon還試圖獲得格拉納達護照,但被拒絕了。不過當被問及那個機構的名字時,他表示不記得了,只知道是中文。
檢察官Harris Chabotich表示,這兩本護照的名字和出生日期不同,這清楚地表明它們是出于惡意而制作的。請給予適當的懲罰。[2023/6/18 21:45:19]

我們隨機選擇(66,0+23j)這個元素來驗證其滿足曲線方程:
浪潮集團王偉兵:標識解析、標識密碼、區塊鏈是構建工業區塊鏈三個技術要素:金色財經現場報道,12月5日,2020世界區塊鏈大會于武漢舉辦,會上浪潮集團區塊鏈技術研究院首席架構師王偉兵演講表示,消費互聯網是實現人和人的連接的,工業互聯網從技術上看更偏重物,工業互聯網數量多,管理難度大,面向物的標識解析和密碼學適合應用。標識解析的本質是提供名稱映射的分布式數據庫,構建工業區塊鏈的三個技術要素是標識解析、標識密碼、區塊鏈。標識解析需要目錄服務、數據共享,標識密碼主要做設備身份認證、設備寫入鏈,區塊鏈則增強安全,完成可信交易。[2020/12/5 14:06:24]
左側:y^2mod101=^2mod101=23×15mod101=42
右側:x^3+3mod101=41^3=3mod101=42
左側等于右側,驗證完畢。
動態 | 密碼朋克運動的發起人之一Timothy C. May去世:以太坊聯合創始人Vitalik Buterin今日發推稱,《加密無政府主義者宣言》(The Crypto Anarchist Manifesto)的作者Timothy C. May已去世。Timothy C. May是密碼朋克運動的發起人之一,也是英特爾早期資深的科學家。1992年,他建立了密碼朋克郵件列表,全世界的密碼學家、程序員、極客在這里通過加密電子郵件進行交流。[2018/12/16]
在發現通過域擴張后還能找到更多的17階點后,我們不禁會想:
繼續對”F_101的二次擴域”進行擴張,能否找到更多的17階點呢?
或者是:為了找到全部的17階點,我們需要對F_101進行幾次擴張呢?
嵌入度其實就是描述這個問題的一個概念。E是定義在F_101上的橢圓曲線,我們已經有一個包含n=17個點的子群,我們稱這個子群的嵌入度是滿足17整除q^k-1的最小的k。在這個例子中,k=2。計算嵌入度的價值在于事實證明,當對F_101進行擴張以期其上的橢圓曲線包含全部17階點時,最小的擴張次數就等于嵌入度。也就是說在”F_101的二次擴域”上,我們已經找到全部的17階元素。
動態 | 一初創公司將推出基于DNA的密碼錢包:據bitcoin消息,Carverr,一家初創公司聲稱正在為加密貨幣提供所謂的“基于DNA的冷藏庫”,將密碼和密鑰保存在一個微管脫氧核糖核酸(DNA)中。該系統由一群經驗豐富的資產經理和生物技術專家開發,將“數據從數字信息轉化為生物信息,因此不需要軟件更新或互聯網連接”。該公司解釋說:“因為它是離線使用的,所以不會受到黑客攻擊,而且因為你的代碼包含在DNA鏈中,所以它永遠不會過時,不像其他的冷藏錢包。我們不驗證你的密碼的上下文,我們只把你提供給我們的代碼轉換成DNA。”[2018/8/30]
Millier循環
下面給出計算雙線性映射的Millier算法,當計算e(P,Q)時,該算法根據P的坐標創建一個二元多項式,然后將P坐標的x和y分量帶入求值:

動態 | 全球監管機構制定對密碼資產監控制度:據外媒報道,全球監管機構已經發布了一個框架,用于“警惕”監控比特幣和以太坊等密碼資產的風險,盡管它們目前對金融穩定沒有構成重大風險。[2018/7/16]
METASTATE的博客中作者已經計算了e((1,2),(90,82u))點的結果為97+89j。我們給出另外一個計算的例子,并且稍后通過對比這兩個例子的結果說明雙線性對的一些屬性。

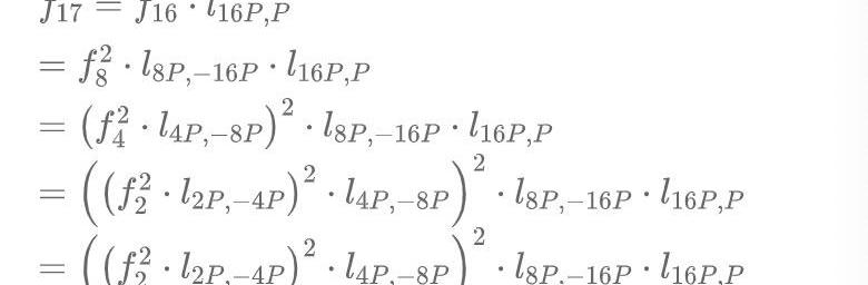
其中f_17是二元的多項式,通過一個稱為Millier循環的過程我們可以生成該多項式,這個過程類似于計算指數運算時的mul-and-square操作。但是為了更直觀的展示原理,我們選擇根據上文定義直接展開計算f_17,這會增加一些計算量。

因此我們需要計算

的表達式。通過查詢上一篇文章的列表我們可以找出P,±2P,±4P,±8P,±16P的值,其中P=(12,32)=5G:

接下來我們來計算這些直線的方程:

這樣我們已經可以計算f_17的結果:

最后我們計算(81+52j)^600


完全解決curve101配對問題
實際上,我們可以計算出GT的生成元e(G1,G2),也就是e((1,2),(36,31j)),其值為7+28j。這樣我們能夠完全掌握GT中全部的元素:

可以看到GT也是一個循環群,他其實是在“F_101的二次擴域”上滿足方程x^17=1的17個根。根據該表我們不加以計算就可以知道這個配對的任何一個計算結果,例如e((12,32),(36,31u))=e(5G1,G2),因此其值就是上表的第5個元素:93+25j。我們之所以能夠完全解決curve101的配對問題,是因為curve101的一系列參數決定其足夠簡單,而實際零知識證明算法中使用的配對就要復雜很多。例如一些標準中要求其配對曲線的嵌入度至少為12,這意味著GT的元素至少是基礎素域的12次擴張!如果其素域特征為常見的256位,那么為了表示一個GT元素就需要256*12/8=384字節的大小。對于任何一個實際使用的曲線,其計算復雜度和規模都使我們當前絕無可能計算出其映射表,這也是離散對數問題困難的所在。
通過系列文章,我們計算了一個簡單的配對曲線,加深了對雙線性映射的理解。后續,我們繼續使用這個配對曲線來講解和演示零知識證明中Groth16算法的過程和原理,敬請期待。

喬沛楊趣鏈科技基礎平臺區塊鏈底層密碼學小組
2021年上半年以來,NFT的熱火從海外社區一路延展至各個領域,在數字藝術品領域的應用尤為突出。NFT通常被譯作「非同質化代幣」.
1900/1/1 0:00:001.中國電信發布系列合作新品:推動XR設備及元宇宙產品發展2.MultiCoinCapital聯合創始人:元宇宙的核心是讓用戶擁有自己的社交圖譜Web3游戲工作室Shrapnel選擇Bitwav.
1900/1/1 0:00:00作者:沈陽,清華大學新聞學院教授博導、清華大學新媒體研究中心執行主任 來源:思客 原標題:《解碼元宇宙|未來,元宇宙可能從哪些方面重塑產業布局?》近來,元宇宙成為科技圈和資本圈大熱的話題.
1900/1/1 0:00:00據上海證券報消息,11月3日,由國際清算銀行香港創新中心支持,香港金融管理局、泰國中央銀行、阿拉伯聯合酋長國中央銀行及中國人民銀行數字貨幣研究所共同發起的多邊央行數字貨幣橋研究項目發布用例手冊.
1900/1/1 0:00:0011月17日消息,OneRare是有史以來第一個在區塊鏈生態系統上為食品、游戲和NFT構建元宇宙的項目,它已經完成了一輪融資.
1900/1/1 0:00:0010月9日,一個未知錢包以420個ETH購買了以太坊域名paradigm.eth,這是迄今為止最大的一筆ENS域名交易.
1900/1/1 0:00:00