BTC/HKD+1.13%
ETH/HKD+2.75%
LTC/HKD+1.11%
ADA/HKD+1.31%
SOL/HKD+1.48%
XRP/HKD+2.91%一、項目介紹

ChiaNetwork是由BitTorrent創始人BramCohen于2017年創立的加密貨幣項目,定位為綠色環保的加密貨幣,同時也表示要開發一個改進的區塊鏈和智能交易平臺,布局企業級應用。
Chia開發了自己的智能合約編程語言Chialisp,其最大優勢是既保留了「UTXO模型」,同時加入了「以太坊Solidity模型」的一般功能,從而實現更加強大的功能,例如多重簽名和原子交換、授權收款人錢包、轉賬收回、限額錢包、延遲恢復功能的紙錢包、數字身份錢包、奇亞彩幣。
不同于比特幣和以太坊,Chia是“股幣雙架構”,除了去中心化的區塊鏈網絡ChiaNetwork,還有中心化營利性公司ChiaNetworkInc.,該公司于2017年8月1日在特拉華州注冊成立,由BitTorrent的發明人BramCohen創立。目前有21名全職員工和相當于全職的承包商,以及15名兼職顧問。16名員工主要專注于研究和開發活動,5名員工/承包商專注于公司的管理和實施其商業計劃。公司有明確計劃在美國上市。
Binance正在研究BNB Chain在Twitter未來可以扮演什么角色:5月7日消息,Binance一位發言人透露,這家加密貨幣交易平臺已經看到幫助Twitter擴展其功能的機會。該發言人表示,我們相信,未來Web3能在包括Twitter在內的社交媒體平臺發揮同樣重要的作用,Web3對權力下放的關注有助于提高用戶透明度、問責制和言論自由。
據悉,Binance正在組建一個團隊,專注于如何利用區塊鏈和加密技術幫助Twitter和其他社交媒體平臺,比如,BNBChain在Twitter未來可以扮演什么角色,該發言人稱。
此前消息,在SEC公布的馬斯克推特私有化的收購文件中,包含了一份共同投資者列表,表中顯示Binance出資5億美元參與股權收購。(BlockWorks)[2022/5/8 2:58:12]
2021年3月18日,Chia正式發布Chia1.0主網,代幣為XCH,并已開放挖礦活動。
二、共識機制
ChiaNetwork的區塊鏈依賴于一種新的中本聰共識算法,稱為空間證明和時間證明。
空間證明:可以將空間證明視為一種證明您在硬盤驅動器上未使用某些存儲的方式。Chia區塊鏈的用戶將通過安裝軟件來“播種”(plot)其硬盤驅動器上未使用的空間,該軟件將磁盤上的一組加密數字存儲為“密碼”。這些用戶稱為“農民”(farmer)。當區塊鏈廣播下一個區塊的挑戰時,農民可以掃描其plots以查看其是否具有最接近挑戰的哈希值。農民贏得一個plots的概率是農民占整個網絡的總空間的百分比。
聲音 | 趙長鵬:我不明白為什么黑客總向幣安發送盜幣:針對推特用戶反饋有黑客在向幣安發送盜幣,趙長鵬發推特稱,剛剛檢查了下,我們已經凍結一部分資金。我不明白黑客為什么總是向幣安發送盜幣。社交媒體很快就會報道出來,這對他們來說是一個高風險的做法。[2019/1/16]
時間證明:時間證明是通過可驗證的延遲功能實現的,該功能需要花費一定的時間來計算,但驗證速度卻很快。VDF的關鍵思想是它們需要順序計算,并且由于擁有許多并行機不會產生任何收益,因此可以最大程度地減少電力浪費。VDF服務器可能相對較少,因為最快的VDF服務器將始終排在第一位,并且只需一個快速公平的Timelord在網絡上即可完成一個區塊并將鏈向前推進。
為了進行Chia挖礦,首先需要創建一個或多個“圖”(plots),這些圖是占用硬盤驅動器空間的文件,這個過程被稱為“P盤”。
plot使用的空間用字母k表示。創建圖需要一些時間和CPU能力。k值越大,圖越大,創建時間越長。創建繪圖后,除了文件大小外,一個k與另一個之間沒有任何區別。
可以將圖從一臺機器移動到另一臺機器,而沒有任何限制。有些人建造了專用的繪圖機,這些繪圖機經過優化可以快速執行繪圖過程,然后將繪圖移至功能較弱的機器上進行采集。
聲音 | 江卓爾:改個難度調整算法并不是什么大問題:萊比特礦池江卓爾回應網友指責“BCHABC加入防重組代碼是愚蠢的”時稱,這邏輯水平也太low了吧,和Core黨一個水平,Core黨喜歡噴BCH有EDA所以容易分裂,說得好像BTC沒有EDA,有哪個BTC分叉幣因為難度高死掉了一樣。都要改規則分叉了,還不能隨便改個難度調整算法?[2018/11/22]
和比特幣一樣,Chia(奇亞)網絡的區塊鏈上的工作難度也是動態調整的,所以32個區塊完成的目標時間平均為10分鐘。并非每個區塊都是交易區塊,預計每10分鐘會有9到14個交易區塊。交易區塊會有手續費收益。
三、代幣模型
預挖:2100萬,作為戰略儲備
總量:無上限
減半規則:初始每10分鐘釋放64個XCH,3年減半一次,減到每10分鐘4個XCH后保持不變。

3月18日主網上線開始挖礦,前6周不可交易,4月29日可以開通轉賬,屆時將有約39萬個XCH流通。
高西慶:為什么有人恐懼區塊鏈?因為他們的權威沒了:清華大學法學院教授高西慶在“瑞·達利歐(Ray Dalio)中國行”系列活動發表演講稱,政府、大的機構反對區塊鏈“就是因為區塊鏈改變了連接方式之后,使得習慣原來這個運作形式的這些人的權威沒有了,他們所賴以生存的這些基本的東西沒有了,這一點正是人類進步的最大的推動力。”[2018/2/26]
四、董事會及戰略儲備
根據Chia商業白皮書的披露,2100萬枚XCH代幣將作為戰略儲備由公司董事會控制。“我們打算由3名外部董事組成5人董事會。目前,我們的董事會由三名成員組成:BramCohen、GeneHoffman和ChuckStoops。”
Chia對于作為戰略儲備的XCH代幣的用途進行了說明:


如果沒有董事會的多數票,這些限制不得更改,其中必須包括至少一名獨立董事。
薛蠻子:什么是區塊鏈企業家精神?: 今日知名投資人薛蠻子在三點鐘區塊鏈社群回應問題“您經常提到的區塊鏈企業家精神具體是指的什么”時表示:我這次在京都附近的天橋立看了一個奇景是屁眼看天。原本是海中有了一個長幾公里的沙堤,和西湖的蘇堤白堤一樣,僅是一個美景而已。可是到了上頂上有個地方,叫褲襠看天。每個游客必須把頭伸到褲襠底下看景。這時候,這個沙堤就不是一個普通的沙堤,而是宛如一條巨龍,直飛天際。我之所以句這個例子,就是因為區塊鏈顛覆了以往的商業邏輯。因此,顛覆是第一條。第二個精神是有掄開膀子 時不我待的精神。第三個精神是要有超強的學習能力,才能與時具進。眼界,胸懷,識人之能和容人之量是前所未有的重要。[2018/2/25]
一旦兩個董事會空缺得到填補,董事會預計將提高批準門檻,要求外部董事也必須獲得多數票。
這些控制措施需要修改,如果沒有至少90天公示將不會被實施,這些通知將在公司網站、Keybase渠道和/或其他類似的高度可見的方法上發布。
在我們成為1933Act法案和1394Act法案下的申報公司之前,本公司不打算向股東發放Chia(奇亞)幣或股息幣,也不打算使用幣回購股權。
五、估值
1、公司估值
Chia商業白皮書中披露“自成立以來,公司已經通過SAFE協議籌集了約1600萬美元資金。這些資金主要分三輪,有三種不同標準的價格上限,和轉換功能。最后一輪500萬美元的融資已于2020年8月完成。沒有向任何投資者被承諾以chia作為投資回報。某些投資者擁有贖回權,如果公司在上述特定時間段內未將股權上市公開交易,則將以Chia(奇亞)幣的當時價格計價。本公司預計將這些SAFEs轉換為股權或優先股權,并且不打算在本公司股權注冊聲明生效前向投資者提供XCH。”
投資者包括SlowVentures、NavalRavikant、BreyerCapital、CollaborativeFund、IDEOColab、a16zCrypto、TrueVentures、GalaxyDigital、CygniCapital、GreylockPartners、DCM、Metastable、StillMarkCapital和KamalRavikant。
公司預計主要通過以下方式實現收入和構建股東價值:
為Chia(奇亞)幣、Chialisp和Chia智能幣在商業中的使用提供安裝、開發、持續服務和支持,并發行使用Chia彩色幣的資產。
為Chia(奇亞)幣、Chialisp和奇亞智能幣在商業中的使用提供安裝、開發、持續服務和支持,并發行使用奇亞彩色幣的資產。
為做市商、政府、金融機構、企業和開發商賺取Chia(奇亞)幣貸款利息,供其在日常經營中使用。
關于公司的股權結構及估值,Chia商業白皮書中披露:
“我們將在假設下一輪資本募集的融資前估值為250,000,000.00美元的基礎上討論我們的模擬資本結構。以下百分比沒有考慮到未來一輪資金前估值會造成的稀釋。我們在計算中包括了所有已發行和未發行的限制性股票獎勵、期權或認股權證,以收購Chia網絡的股票,就像完全歸屬一樣,但不包括為尚未發行的進一步股票獎勵保留的股份。
沒有一個股東會持有超過50.0%的公司股份。作為一個整體,投資者將持有本公司35.1%的已發行股份。單一投資者或基金持有本公司已發行股份的比例不得超過10%。科恩先生將擁有大約47.4%的股份,其中包括他的創始人的股權和他隨后在保險箱中的現金投資。”
2、代幣估值
上線1年后,總發行量將為2436萬個XCH,這里提供幾個估值標準作為參照。

chia代幣目前還未流通,但主流交易所很早就對這個項目表示了關注。2019年9月Coinbase宣布,這些資產推出后,chia是他們目前考慮納入的十七種資產之一。2020年9月,Bitstamp宣布,chia是他們正在探索支持的數字資產之一。
3、挖礦收益
Chia主網開啟一個月以來,算力穩定增長,截至2021年4月18日,Chia主網的算力為333PiB,峰值達到373PiB。

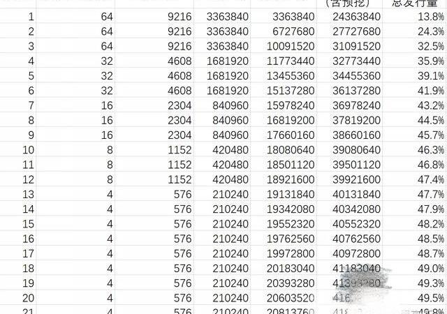
chia挖礦開始后,硬盤價格攀升,以當前的市場成本及算力情況進行測算,對于XCH幣價在10-50美元區間內,預估回本周期如下:

風險提示:1、全網算力持續增長,挖礦競爭更激烈,也會導致單位算力回本周期更長;2、硬盤價格在一個月內已經翻倍,如果成本持續推高,也將導致單位算力回本周期變長;3、根據機器配置情況,P盤的時間為20-70天不等,還需考慮P盤過程中的資本占用。目前Chia挖礦熱潮主要是由短期投機情緒主導,項目的長期價值有待檢驗,如果XCH能夠上線主流交易所,一定是因為散戶的fomo情緒很高。另外,如果整體行情下行,XCH代幣估值也將下調,這也將對挖礦回報產生重要影響。本文來源chia奇亞礦池,本文原創作者OKEx副總裁徐坤。
Tags:XCH區塊鏈比特幣XCH幣XCH價格區塊鏈工程專業學什么區塊鏈存證怎么弄區塊鏈技術發展現狀和趨勢比特幣中國官網聯系方式40億比特幣能提現嗎比特幣最新價格行情走勢
挖礦用電量也許就是比特幣的實際價值比特幣是什么?有人會說是一種民間貨幣,也有人會說是一串計算機代碼,還有人會說是一種金融產品,更有人說是一個龐氏騙局,但不管怎么去評論它.
1900/1/1 0:00:00來源|賽先生 作者|彼得·戴曼迪斯、史蒂芬·科特勒未來在還沒有到來之前,總是難以想象的。但未來會帶著巨變呼嘯而來,這是完全可以預見的.
1900/1/1 0:00:00特斯拉最近算是火爆了市場。不僅特斯拉創始人馬斯克登上了全球首富,更是因為他支持比特幣、狗狗幣,讓大家認識了一個新的馬斯克。 最近特斯拉事件又出現了,這次卻不是馬斯克搞出來的事情.
1900/1/1 0:00:007.2萬枚比特幣期權將于4月30日到期交割。人民日報海外版:數字人民幣離我們越來越近4月28日,人民日報海外版刊文《涵蓋餐飲服務、生活繳費、購物消費、交通出行等場景,數字人民幣離我們越來越近》.
1900/1/1 0:00:00經濟觀察報記者錢玉娟實習記者劉雨琪北京報道距離RTX3070顯卡在京東自營上架開售,還有兩分鐘。倒計時中,“蹲守”在預約購買界面的大三學生肖揚,只覺得腎上腺素都在飆升.
1900/1/1 0:00:00區塊天眼APP訊:比特幣歇菜,山寨幣瘋狂。4月3日下午,全球加密貨幣市值超過2萬億美元大關,在以太坊價格猛攻的助力下,山寨幣的市值占比再度上升至45.5%.
1900/1/1 0:00:00