BTC/HKD-0.45%
ETH/HKD-2.16%
LTC/HKD-3.31%
ADA/HKD-4.84%
SOL/HKD-3.09%
XRP/HKD-3.65%1.背景介紹
自2018年以來,Vitalik一直主張二次方融資作為一種在去中心化的、自組織的生態系統中生成最優公共產品供應的方法。QF面臨的最具挑戰性的問題之一是共謀。例如,一個參與者或一組協調的參與者可能控制多個地址或共謀“游戲系統”,并在QF中提取不合理的補貼。
自2019年以來,GitcoinGrants已經運行了多輪的QF。GitcoinGrants使用了一種創新的方法:雙界協調補貼。然而,Zoudavid認為Buterin中的不協調系數的說明不是很直觀,也不太令人信服。此外,Buterin中的可調整參數主要用于約束任何一對投資者的可提取價值,但在調整他們之間的共謀方面做得不夠。在《關于改善配對協調補貼的提議》一文中,Zoudavid提出了一種新的方法來改進具有豐富經濟意義的配對協調補貼。
2.不協調系數的一種新規范
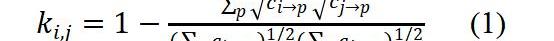
采用Buterin(2019)的符號,Zoudavid提出了一種新的不協調系數的規范:

其中

是向量i和j的不協調系數,

以及

表示投資者i和j對項目p的投資,

OpenAI創始人:OpenAI正在研究“更快、更便宜”的模型:金色財經報道,OpenAI創始人Sam Altman:OpenAI正在研究“更快、更便宜”的模型。[2023/5/26 9:44:56]
是所有項目的總和。不協調系數衡量的是衡量的是一對投資者在作出投資決策時的獨立性。有兩種視角來理解等式的經濟含義。
一種視角是,考慮兩個向量

以及

,其中p表示項目的總數。
令

表示向量的模:

令

表示兩個向量的內積,

令

研究:通過限制使用存入資產可保護客戶免受加密貨幣托管商破產風險:金色財經報道,萊頓法學院的一組研究人員認為,如果加密貨幣托管商進入破產狀態,圍繞法律程序和投資者權利的問題仍然缺乏明確性。該小組分析了如何持有比特幣以及如何創建和轉讓其所有權。研究基于Coinbase、Gemini和Kraken等主要加密交易所的當前條款和條件。研究發現,法院通過引用??最終關閉的兩個加密貨幣交易所MtGox和BitGrail的案件,否認了客戶的賠償要求。這是因為比特幣不能成為所有權對象,或者由于加密資產是混合存放的。該研究的作者建議,禁止或限制使用存入的資產可以更好地保護客戶免受加密貨幣托管商破產的風險。這可以通過將比特幣存儲在單獨的區塊鏈地址中來完成。該研究提出了三個主要建議:1.加密投資者應收到有關加密托管商是否將使用其存入的比特幣的信息;2.加密投資者要求從破產的加密托管商那里收回比特幣的主張可以被視為具有合同效力。3.禁止或限制加密托管商對已存入的加密資產進行再利用。[2020/6/4]
表示兩個向量之間的角度,則有,

在0和

使得對于每一個p,有

)。用Zoudavid的方法,他們將不會得到任何補貼。但用目前的方法,他們可以獲得大量的補貼,只是被可調整的參數所縮減。
用Buterin中描述的景象舉例。假設k個經過協調的代理人都向一個項目貢獻了一筆很大數額的資金w。由于他們是完美協調的,用Zoudavid的方法他們可以提取的資金是0。然而,用現存的方法他們可以提取的資金是
聲音 | 通證通研究院:Libra不會成為超主權貨幣 無法打敗美元霸權:通證通研究院發布深度報告《Facebook發幣,Libra能煉成超主權貨幣?》,就Libra是什么、Libra能做什么、Libra不能做什么、Libra的未來如何進行了深度分析。報告認為,Libra的機制最簡單的對標是SDR,能進行信用創造,有利于Facebook增加生態的粘性和進一步擴張能力。但Libra不會成為超主權貨幣,無法獲得鑄幣稅收益,不能打敗美元霸權,不會成為全球數字經濟的央行,沒有獨立的貨幣政策能力,不可能脫鉤主權貨幣。[2019/6/20]

,其中M是可調整的參數。
Vitalik建議了這樣一種情況:假設有兩個贈款者A和B和三個項目A,B和C,其中有相同字母的捐贈者和項目對是相互串通的。現在假設A捐贈了X?0X,以及B捐贈了0XX。
在這個例子中,

。如果使用過去幾輪二次方融資的數據,

可能會有不同的估計,而且可能會更準確。
不協調系數調整后的補貼是

,這正好是當前方法的一半水平。在把上界納入考慮之后,總的補貼是B*X/B+X用當前方法,總的補貼是
聲音 | Bitwise全球研究主管:95%的加密貨幣將消失 但對市場來說是件好事:據CCN消息,Bitwise全球研究主管Matt Hougan于近日在接受媒體訪談時表示,目前存在的95%加密貨幣將消失,但對市場來說是件好事。這95%的加密貨幣會“痛苦地死去”,但越早發生,就對市場越有利。在這些加密貨幣的灰燼中,會出現很重要的東西。就像當初在網絡泡沫破滅時,亞馬遜、谷歌還有Facebook誕生一樣。他還表示,加密市場清除那些虛假的貨幣是很重要的事情,這樣真正有價值的貨幣才能生存和發展。[2019/2/6]

。從上面的例子中可以清楚地看到,在當前的方法中,沒有對不協調的調整,只有對邊界的調整。
6.針對該方法的多方觀點
優勢
Vbuterin認為該提議是非常有趣的洞見,其有趣之處在于用點積來直接估計多個協調者之間的不相關關系。
存在的不足
一方面,Vbuterin認為,本質上來說,任何一個代理人A總是可以通過簡單地創建一個項目并對他自己和代理人B進行一筆大金額的捐贈來提高他和B的不協調系數。如果每一個A都創建一個項目

,那么其點積就不會受到任何影響。因為不會有其他的人向

捐贈,但這會增加他們的

倫敦投資研究公司Capital Economics:比特幣未來幾個月內將“慘敗”:據bitcoinist消息,倫敦投資研究公司Capital Economics表示,無論比特幣價格與標準普爾500指數是否相關,比特幣將在未來幾個月內將會“慘敗”。Capital Economics在周四的報告表明,最近比特幣與股票價格的相關性有所增強,但該公司認為這只是暫時的,他們仍然認為比特幣本質上是毫無價值的,這意味著其在未來幾個月的表現可能會比其他資產差很多。該公司認為比特幣與股票市場的關聯在很大程度上是巧合,主要原因是重大新聞事件后的戲劇性崩潰 ,例如主要的一些銀行禁止使用信用卡購買加密貨幣,監管恐懼,以及來自Facebook和Twitter的廣告禁令。[2018/4/9]
價值到無限大,使得分式為0并且對于所有的j
來說

Vbuterin提出了約束的相關系數,其屬性是,兩個參與者向同一個項目捐贈會增加他們的相關分數,但兩個參與者向不同的項目捐贈不會減少他們的相關分數。他認為如果Zoudavid想有一個系統,其中兩個參與者捐贈給不同的項目將減少他們的相關分數,那么需要以某種方式擊敗發送至自身的攻擊。
而Zoudavid有針對性地提出,發送至自身的攻擊并不會帶來很大的問題。并給出了三點理由。
首先,自發送攻擊代價高昂,因為攻擊者需要在他的“假”項目中鎖定大量資金。而與此同時,其回報將是有限的。假設攻擊者創建了一個只有他投資而沒有其他投資者投資的項目。的確,通過增加對這個項目的投資,他可以增加對他和其他投資者之間相關性的估計。然而,他可以從他的“假”項目中提取的補貼仍然是0。對于其他項目,由于攻擊而增加的補貼應該是非常有限的,而且這種增加不能被攻擊者獨享。
其次,在計算不協調系數時,可以簡單地排除任何只有一個投資者的項目。例如可以認為這些項目融資失敗,沒有資格獲得QF補貼。在法幣眾籌中,通常有一個門檻機制:任何一個項目在一定時間內無法獲得足夠的支持或資金承諾將被認為是失敗的,之后任何資金承諾將被返還。Zoudavid認為QF可以納入類似的機制。
最后,可以利用前幾輪QF的數據來估計不協調系數,使其估計受單個數據點的影響更小。
另一方面,PeterWatts察覺到協調懲罰似乎依賴于一個假設:誠實的用戶會將資金分散到多個項目中,完美地反映出他們的偏好。而實際上,他懷疑許多用戶會因為方便或強烈的偏好而只投資一小部分。因此,真正的公共產品將會有很多高度相關的資助者,而得不到足夠的補貼。
進一步探討
Vbuterin提出了一個方法,就是將重點再移開一步,不關注項目本身,而是關注向同一項目捐贈的一對捐贈者,并提出用3條規則來判斷:
1.如果代理人i和j都向項目p捐贈那么他們是更加相關的;
2.如果代理人i和j都向項目p和q捐贈,而存在某個代理人k也是都捐贈了p和q,那么i和j是更加相關的;
3.如果代理人i和j都向項目p和q捐贈,而存在某個代理人k只捐贈了p或者q中的一個,那么i和j的相關性變弱。
規則將在所有代理中進行匯總,因此,捐贈給你自己的項目比捐贈給其他100人也捐贈的項目所帶來的不相關要少得多。
Vbuterin提出用更復雜的矩陣乘法的使用來描述這個問題。如果M是一個矩陣,將個人貢獻的平方值映射到項目上,那么

會給出個人之間的原始相關性,然后可以做一些其他的事情來計算出高階測量,但是這個方法需要進一步考慮。
針對Vbuterin“高階相關測度”的建議,Zoudavid做了一些初步的研究。基本上,除了不同投資者之間的相關性,還應該考慮不同項目之間的相關性。就像協調的投資者傾向于做出相似的投資決策一樣,相關的項目也傾向于吸引相似的投資者群體。在利用投資數據估計投資者之間的相關性時,應該意識到項目之間的相互依賴性。對于此,Zoudavid提出奇異值分解是研究這一問題的合適工具。然而,該解決方案可能過于復雜,難以與投資者社區溝通。此外,解決方案可能容易過擬合。
PeterWatts認為當試圖減少欺詐時,最重要的是不要失去CLR的核心租戶。在完全基于協調懲罰的局部最大值確定之前,可能還有更多的機制可以探索,要么補充協調懲罰,要么取代它們。衡量成功的標準不應僅僅是減少欺詐的程度,還應是資金分配到真正的公共產品的程度。針對這個問題,他提出了幾個想法:
1.負的偏好
對于每個用戶來說,項目實際上可以分為三類:
A)我愿意資助的項目
B)我沒有資助的項目,但不介意他們是否得到補貼
C)我不想要補貼的項目
目前,還沒有辦法區分B和C。也許UI可以允許用戶對某些項目投反對票,這些信息會影響補貼。其反對票只會影響沒有資助的項目之間的補貼分配。因此,否決所有其他項目就相當于否決零。而這源于這樣一個現實,即用戶不會為每一個能讓他們受益的項目提供資金。公共產品的本質是,它們中的許多人都喜歡給予小的、間接的好處,因此更容易識別那些明顯是欺詐性的或不可能以任何方式使之受益的項目。
2.給一些獨特貢獻者更高的權重
大多數攻擊通過貢獻大量的資源來利用執行超額影響的能力。這是因為在一個抗女巫攻擊的系統中,它比捐助者更容易積累資金。因此,降低“假”項目有效性的一個簡單方法是,為有更多貢獻者的項目提供更高的補貼。這限制了強烈偏好的影響,但值得權衡。
一個極端是,有CLR,它允許強烈的偏好,但很容易被共謀。另一個極端是,可以根據一個項目收到的獨特貢獻者的數量來劃分補貼。PeterWatts的想法是用一個系數來選擇這個光譜上的最佳點。
7.結論
為解決在去中心化自治組織中最優公共產品供應的方法中存在的共謀問題,在Buterin提出了配對協調補貼的基礎上,Zoudavid提出了一種新的方法對這一具有豐富經濟意義的配對協調補貼進行了調整和改進,他提出了一種新的不協調系數的規范,并對配對邊界進行了調整,使得估計結果更加穩健。其與當前現有的方法相比,在對不協調進行調整之外,還對邊界進行了調整,使得補貼更為嚴格。該方法用點積來直接估計多個協調者之間的不相關關系,是一個突出亮點,但也同時存在潛在的應對發送至自身的供給的問題,以及真正的利益相關者得不到足夠補貼的問題。針對這一方法,還有很多值得探討和進一步深入挖掘的方向,包括“高階相關測度”和懲罰協調的機制等。
參考文獻
Buterin,Vitalik,Zo?Hitzig,andE.GlenWeyl,2018,“LiberalRadicalism:AFlexibleDesignforPhilanthropicMatchingFunds”.URL:https://papers.ssrn.com/sol3/papers.cfm?abstract_id=32436561
Buterin,Vitalik,2019b,“PairwiseCoordinationSubsidies:ANewQuadraticFundingDesign”.URL:Pairwisecoordinationsubsidies:anewquadraticfundingdesign
DAOrayakiDAO研究獎金池:
資助地址:0xCd7da526f5C943126fa9E6f63b7774fA89E88d71
投票進展:DAOCommittee3/7通過
賞金總量:150USDC
研究種類:DAO,?PairwiseCoordinationSubsidies
原文作者:?Zoudavid?
討論者:Vitalik、Vbuterin、PeterWatts
貢獻者:Demo,DAOctor@DAOrayaki
原文:AProposaltoImprovePairwiseCoordinationSubsidies
Tags:TERRINBUTVIDEternityEPRINT價格ethyleneglycoldibutyletherVIDY價格
原標題:《NFT生成藝術平臺ArtBlocks》目前在NFT領域,已經有藝術家們在嘗試用程序生成藝術作品。這種非主觀的創作形式是一種比較獨特的做法.
1900/1/1 0:00:001958年,紐約公約簽署,旨在提供一個關鍵的治理基礎設施,以解決涉及政府和跨國公司的大規模貿易和投資糾紛.
1900/1/1 0:00:002021年上半年NFT的銷售額超過了25億美元;可口可樂將與Tafi合作推出其首款NFT收藏品.
1900/1/1 0:00:00巴比特訊,8月20日,據Opensea數據顯示,NFT卡牌游戲Parallel近24小時銷量1956個ETH,價值約631萬美元,超過CryptoPunks,位居Opensea第一位.
1900/1/1 0:00:00用戶體驗(UX)描述了人們在與系統或服務交互時的感受,包括多個因素,包括可用性、設計、營銷、可訪問性、性能、舒適度和實用性。唐諾曼曾經說過,“萬物皆有個性;一切都發出了情感信號.
1900/1/1 0:00:00近日,天河國云對外宣布獲近億元A輪融資,本輪融資由財信產業基金領投,多家風投基金跟投。天河國云董事長兼CEO譚林博士稱,融資將主要用于區塊鏈核心技術攻關、人才梯隊建設與應用場景開發,充分挖掘區塊.
1900/1/1 0:00:00