BTC/HKD-1.84%
ETH/HKD-1.04%
LTC/HKD+0.82%
ADA/HKD-0.43%
SOL/HKD-1.63%
XRP/HKD-1.69%上一篇主要描述了PLONK協議里的一個核心部分,用置換校驗的方法去證明電路門之間的一致性;接下來,將繼續分享如何證明門的約束關系得成立,以及整體的協議剖析。
門約束
舉個簡單的例子,假如存在一個電路,電路中僅有3個乘法門,對應的約束如下:
L1*R1-O1=0
L2*R2-O2=0
L3*R3-O3=0
進行多項式壓縮:定義多項式函數L(X),R(X),O(X)滿足:
L(1)=L1,R(1)=R1,O(1)=O1
L(2)=L2,R(2)=R2,O(2)=O2
L(3)=L3,R(3)=R3,O(3)=O3
此時,定義新的多項式函數F(X),令F(X)=L(X)*R(X)-O(X)
則有:
F(1)=L(1)*R(1)-O(1)=0
F(2)=L(2)*R(2)-O(2)=0
F(3)=L(3)*R(3)-O(3)=0
也就是表明:如果多項式函數F(X)在X=1,2,3處有零點,則說明門關系約束成立。
多項式函數F(X)在X=1,2,3處有零點則表明多項式F(X)可以被(X-1)(X-2)(X-3)整除,為了和論文一致,我們把這個多項式函數設置成Z(X),即:
北京市委理論學習中心組:進一步擴大數字人民幣應用范圍:1月9日消息,北京市委理論學習中心組學習(擴大)會議舉辦構建新發展格局講座會議強調,用好產學研用資源,整合各方力量開展聯合攻關,力爭在大數據、區塊鏈、人工智能等關鍵底層技術領域取得新突破。國家金融科技基礎設施十分重要,要做好服務。用好大數據交易所,夯實底層數據基礎。應用場景是最好的催化劑,要深化發布和對接機制,支持金融科技在普惠金融、綠色金融、跨境貿易等領域推廣應用。進一步擴大數字人民幣應用范圍。(金十)[2023/1/9 11:02:11]
F(X)=T(X)*Z(X)==>T(X)=F(X)/Z(X)
如果能證明T(X)是一個多項式,則說明多項式F(X)與Z(X)有相同的零點,進而說明門約束關系成立。
一般過程應該如下:
1.P計算F(X)并把F(X)發送給V;
2.V根據Z(X)直接校驗F(X)/Z(X)
但是如此過程存在兩個問題,一個是復雜性問題,假如F(X)的階為n,那通信復雜度就是O(n);而是安全性問題,多項式F(X)完全暴露給V。
那應該如何解決這兩個問題呢?最佳的答案可能就是:多項式承諾
多項式承諾
什么是多項式承諾?就是證明方P用一個很短的數據來代表一個多項式F,這些很短的數據可以被驗證方V用來驗證多項式F在某一點的值確實為證明方P聲稱的值z。
動態 | 衡水市委理論學習中心組(擴大)召開區塊鏈專題學習會:11月28日上午,衡水市委理論學習中心組(擴大)召開區塊鏈專題學習會,深入學習習近平總書記在中央局第十八次集體學習時的重要講話精神和區塊鏈相關知識。市委常委、秘書長孫世巖孫世巖在主持會議時強調,各級各部門要堅持站位,深入學習領會習總書記重要講話精神,切實把思想統一到黨中央決策部署上來,主動加強對區塊鏈技術的學習研究,熟悉基礎知識,掌握相關政策,找準切入點、選好攻堅點,力爭在區塊鏈發展大格局中找準衡水位置。要不斷加強對新經濟、新科技、新模式、新業態的學習,堅持“走出去”與“請進來”相結合,提高開放意識、增強工作本領,為實現換道超車、跨越發展找到更多創新路徑。要堅持厚植土壤,深刻認識區塊鏈的變革性作用,探索培養引進一批懂理論、懂技術、懂應用、懂產品的專業人才和復合型人才,推動區塊鏈技術在城市公共服務、醫療服務、企業服務及網絡安全等領域發揮作用。(衡水新聞網)[2019/11/29]
具體看一下論文里的定義:

由圖可知:
1.Setup:初始化,生成計算多項式承諾需要的一些必備參數;
2.Commit:計算多項式承諾,其結果是一個值;
動態 | 施耐德為應對數字化轉型建立學習平臺 數字化課程涵蓋區塊鏈等領域內容:據澎湃新聞5月31日消息,在應對數字化轉型技術變革中,法國工業巨頭施耐德電氣采取“內外兼修”策略——從外部,引進數字化人才、增加年輕員工比例;對內部,為老員工搭建數字化學習平臺,提升其數字化能力。施耐德建立了全球員工都可以參加的“數字化護照”培訓項目,提供數字時代的基本工作技能。“數字化護照”學習平臺集合了 23 個數字化課程,覆蓋人工智能、區塊鏈、大數據等領域。[2019/6/1]
3.Open:返回與多項式承諾對應的多項式函數;
4.VerifyPoly:驗證多項式承諾是否和多項式函數一致;
5.CreateWitness:證明多項式函數在某一點的值是否是證明方P聲稱的值,具體的數學方法就是:判斷多項式是否能被整除,即:
6.VerifyEval:驗證方V驗證多項式函數在某一點的值是否是證明方P聲稱的值,具體的數學方法是:利用雙線性配對驗證其數學乘法邏輯關系。
繼續回到我們上面的問題:
證明方如何證明:T(X)=F(X)/Z(X),我們再簡化一下場景,就令Z(X)=X-1,則:
T(X)=F(X)/(X-1)==>T(X)*(X-1)=F(X)==>T(X)*X=F(X)+T(X)
聲音 | 紀檢監察報:要學習研究區塊鏈等新技術 為紀檢監察機關監督插上科技翅膀:今天,中國紀檢監察報刊文《用好網絡這個“最大增量”》指出,近年來,我國在5G、量子信息、人工智能、云計算、大數據、區塊鏈等領域發展迅速,要學習研究,盡快為紀檢監察機關的監督插上科技的翅膀,使之更強更廣、更精準更有效。[2019/4/19]
對應多項式承諾的協議可知:證明方P其實是想證明多項式函數F(X)再X=1處的值為0,因此根據協驗證方只需要證明:
e(Commit(T(x)),x*G)=?e(Commit(F(x))+Commit(T(x)),G)(雙線性配對的性質)
可以看出,利用多項式承諾的數學工具,既可以實現復雜度的優化,又可以實現隱私保護。
協議
接下來分析一下完整的PLONK協議:
Relation

上圖表示了PLONK算法里,要證明的一種關系,需要說明的是:
1.w代表著電路里的輸入、輸出,總共3n個,n是電路里乘法門的數量,每個門都有左輸入,右輸入和輸出,因此w總共有3n個;
動態 | 韓國郵政將向高盛學習加密貨幣及區塊鏈知識:據彭博社報道,韓國郵政總裁Kang Seong-ju在首爾接受采訪時表示,他最近在一次紐約會議上與高盛新任首席執行官David Solomon討論了加密貨幣。韓國郵政的工作人員本月底將在香港與高盛的加密研究團隊會面,學習數字資產、區塊鏈以及人工智能等相關領域。Kang表示,由于加密貨幣被認為具有潛力,被許多人關注,因此韓國郵政也需要了解其優勢和劣勢。[2018/9/6]
2.q*代表著選擇向量,它的取值對應這這個是乘法門,還是加法門等類似的約束類型
3.σ代表著置換多項式,其表示門之間的一致性約束索引
4.倒數第一個公式代表門之間的約束成立
5.倒數第二個公式代表門的約束關系成立
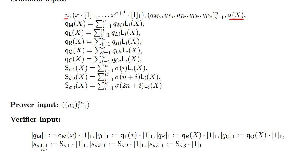
CRS&P_Input&V_Input

上圖表示了PLONK算法里的CRS設置,以及證明方P和驗證方V的一些輸入,需要說明的是:
1.整個協議都是基于多項式的,因此需要構建對應的多項式形式。
2.多項式σ的階是3n的,由于和多項式承諾相關的CRS最高的階位n+2,因此需要把σ拆分成3個多項式S,分別記錄每個多項式的置換關系(L,R,O);
3.為了減少通信復雜度和保護隱私,協議基于多項式承諾構建,因此驗證方V的輸入都是承諾值。
Prove

上圖表示了PLONK算法里證明方的一些操作,需要說明的是:
1.b1,...b9是隨機數,從用法看是為了安全,但是我暫時也沒明白,不加這個隨機數,又會有什么安全問題?
2.a(X),b(X),c(X)分別是代表了電路里的左輸入,右輸入和輸出
3.,,表示多項式的承諾值,參考多項式承諾小節里的承諾計算方法

上圖表示了PLONK算法里證明方的一些操作,主要是置換校驗,參考第一篇的置換校驗的協議過程,生成多項式z(X),需要說明的是:
1.β和?都是用來生成置換校驗函數的參數,詳見第一篇里f`(x)和g`(x)的生成過程;
2.z(X)的生成方式對應置換校驗里跨多項式的生成過程,Li(X)為拉格朗日多項式基,性質滿足,盡在x=i的時候為1,其他為0;
3.注意區分ω和w,ω是群H的生成元,是多項式的自變量的取值。w是電路的左輸入,右輸入和輸出,是多項式L,R,O在在群H上的取值。

上圖表示了PLONK算法里證明方P的一些操作,主要是把門約束和門之間的一致性約束組合到一起,通過α,需要說明的是:
1.根據前面的描述,門約束多項式和一致性約束多項式在群H上的所有元素都是取值為0的,因此都會被多項式ZH(X)整除,等同于上面所述的T(X);
2.因此,證明方只要能證明整除的結果的確是多項式,那就能證明,門約束多項式和一致性多項式在群H所有元素上取值為0,即所有約束關系成立,即電路邏輯成立;
3.可以知道的是t(X)的階最高為3n,但是用于計算承諾的CRS只到了n的級別,因此需要把多項式t(X)拆分,然后單獨計算承諾值。

上圖表示了PLONK算法了證明方P的一些操作,主要根據多項式承諾的協議,前面P算出了多個多項式在點x=z處的值是多少,現在要用多項式承諾協議去證明,這些計算是正確的,需要說明的是:
1.為了減少驗證方V的操作復雜度,t(X)的分子部分r(X)在x=z處的值,P計算好,然后驗證方直接驗證,其他的操作類似;
2.v的值看起來是為了更安全;
3.Wz(X)對應多項式協議里的CreateWitness操作,證明這些多項式r(X),a(X),b(X)等在x=z處的值確實等于r,a,b等,對Wzw(X)同理,并返回承諾值。
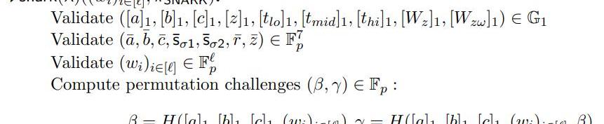
Verify
至此,證明方P的所有操作都完事了,接下來都是驗證方V的操作。

上圖表示了PLONK算法里驗證方V的一些操作,主要重新生成相關的參數,確保證明方P沒有作惡。需要說明的是:
1.從輸入看,比較清晰,就是一些公開的輸入和證明方P的證明輸出;
2.根據輸入,生成置換校驗過程中需要的一些參數

上圖表示了PLONK算法里驗證方V的一些操作,對于一些公開的,并且計算復雜度很小的多項式,其在x=z處的值還是需要自己計算,更為方便。需要說明的是:
1.根據證明方P的過程來看,驗證方V的核心工作就是驗證兩個多項式承諾;
2.兩個多項式承諾驗證需要兩個配對,可以通過一個參數組合成一個配對,即μ;
3.在驗證前,先計算Wz(x),Wzw(x)的分母在x=z處的值,兩部分,減數和被減數,分別對應,。μ作為系數的,就是對應Wzw(X)多項式的。
4.最后通過一個雙線性配對操作完成兩個多項式承諾的驗證。
結束
至此,PLONK算法的協議原理已全部分享完成,公式很密集,但是細分下來,又很有層次感。能堅持看完,已實屬不易。各位讀者有什么不同的簡介,還請指教,謝謝。
據俄羅斯GovoritMoskva廣播電臺報道,俄羅斯國家杜馬金融市場委員會負責人、俄羅斯加密立法的推動者AnatolyAksakov表示,今年在俄羅斯以及其他國家還將有更多的加密監管法規推出.
1900/1/1 0:00:00本文來源:新浪財經 雙線資本CEO、有“新債王”之稱的杰弗里-岡拉克周一警告稱,在最近幾個月的瘋狂上漲之后,比特幣可能已變得過熱.
1900/1/1 0:00:00據InsideBitcoins報道,瑞穗證券分析師DanDolev預測,PayPal集成比特幣等加密貨幣交易功能可能會鞏固其作為金融生態系統領導者的地位.
1900/1/1 0:00:001月8日,波卡中國社區PolkaWorld官方發布《Substrate生態最新報告》。根據報告:1.2020年12月初官方開啟了1000個驗證人計劃,活躍驗證人集的最大數量從每個era44個,逐.
1900/1/1 0:00:00最近的比特幣漲幅最高達42,000美元,主要是由機構投資者突然醒來并意識到該資產的長期價值潛力推動的,而他們的反應是立即購買,畢竟如果比特幣最終流行起來,他們有朝一日就不必支付更高的價格.
1900/1/1 0:00:00本文來源:經濟參考報,作者:張漢青當前,國家已將區塊鏈納入新型信息基礎設施建設,區塊鏈技術應用和產業融合正處于快速發展階段.
1900/1/1 0:00:00