BTC/HKD-3.91%
ETH/HKD-6.31%
LTC/HKD-12.04%
ADA/HKD-10.74%
SOL/HKD-9.37%
XRP/HKD-7.01%寫在前面:近來Defi項目的爆發已引發很多人的關注,比如知名投資機構Placeholder的合伙人ChrisBurniske便評論稱“DeFi對以太坊的影響,更甚于ICO”,但現實情況卻是,ETH目前并沒有因為Defi的爆發而捕獲到很多價值,這與17年的ICO影響顯然并不能相提并論,而最新的說法認為,Defi+DAO的組合,才能真正地引發類似ICO的效應。
然而,DAO的概念并不適合傳統的公司或組織,而與之概念類似的持續性組織模型,理論上可以為傳統公司或組織所使用,從而在數字經濟時代為所有利益相關者帶來諸多非常有益的特性,但其也會涉及到相關的證券法。
在本文中,我們將介紹持續性組織、持續性證券發行以及去中心化自治信托的相關概念。

原文標題為《持續性組織:在數字經濟中協調利益相關者的金融利益》
作者:ThibauldFavre
版本:1.2
關鍵詞:公平證券(FAIRs)、持續性證券發行、去中心化自治信托、聯合曲線智能合約、群眾
摘要
數字經濟已從根本上改變了客戶與企業之間的關系性質。今天的個人,已從被動的消費者轉變為創造價值的重要力量,無論是通過他們的實際工作,還是通過他們的數據。通過利用用戶的工作,數字經濟中的組織有能力創造個性化用戶體驗的產品,以維持不斷增長的規模回報,從而為投資者提供巨額投資回報。
不幸的是,今天的組織沒有一種簡單而有效的方法,可以將用戶的利益與組織的財務成功緊密結合起來。這主要是由于今天的證券法在出售和分配證券時,特別對非合格投資者施加了限制及摩擦。
為了解決這一問題,我們提出了一種新的范式:持續性組織,這是一種新型的組織,旨在比傳統組織更好地協調利益相關者的利益。持續性組織是指通過將其部分或全部已實現收益,輸送給去中心化自治信托來建立持續性證券發行的組織。而DAT是一種智能合約,其使用預定義的規則,能夠自動發行、回購和銷毀稱為公平證券的全數字化證券,以滿足市場需求。
總的來說,持續性組織為所有利益相關者帶來了非常有益的特性,例如:
創始人可獲得一個簡單而有效的資金獲取機制,同時將社區與項目的財務成功緊密結合起來,以在不影響組織治理的情況下,創造強大網絡效應的能力。
員工以有利的方式,將非流動性股票期權,轉變為不可剝奪的流動性公平證券,真正使他們的利益與組織的利益相一致。
早期投資者在該組織獲得成功的情況下,獲得了他們應得的收益,而不必擔心在之后更大的一輪融資中被過度稀釋。
組織的用戶、客戶、供應商及合作伙伴能夠以一種更少摩擦、更少許可的方式對組織進行投資,從而使他們的利益與組織的利益相一致。
由于公平證券的“證券”性質,監管者可以更好地保護公民免受風險ICO的影響,同時也有能力對持續性組織產生的收入征稅。
這種環境得益于持續性組織模式所提出的治理與財務利益的脫鉤,這使得創始人及其組織能夠更加專注于長期發展。
當然,由于公平證券具有的“證券”性質,這要求發行方遵守其所在司法管轄區的證券法。
目錄
一、背景
1、1組織已經進化,并適應了數字經濟
1、2群眾的崛起
1、3新的挑戰
1、4ICO的出現及問題
二、持續性組織
2、1了解代幣聯合曲線模型
2、2持續性證券發行
2、3去中心化自治信托
2、4持續性組織的生命周期
2、5二級市場的問題
2、6持續性組織的好處
三、CSO及適用的用例
四、法律和監管考慮
五、結論
一、背景
1、1組織已經進化,并適應了數字經濟
隨著世界從工業時代過渡到數字時代,為滿足工業時代商業需求而發明和優化的法律結構,現在正顯露出它的局限性。事實上,數字經濟已經推動企業調整和轉變其經營方式,以至于其本質已經完全改變:

但是,盡管組織發生了巨大的變化,我們仍然用同一類型的法律實體來經營我們的業務。這些法律實體是在國家內為滿足工業時代組織的需要而設計的。它們不再適用于計算和網絡時代,而在這個時代,組織利用大眾的力量來獲得越來越多的規模回報,從而模糊了用戶和工作人員之間的界限。
DeFi協議EverRise為鏈上NFT引入了新的實用程序:金色財經報道,將回購帶入加密貨幣的區塊鏈技術公司EverRise已升級到支持VeNomics(投票托管代幣模型)和鏈上實用NFT的新智能合約。升級后的EverRise協議引入了增強的安全功能和使用鏈上實用NFT構建的創新質押平臺。RISE代幣可在以太坊、BNB鏈、Polygon、Fantom和Avalanche上使用,并通過EverRise的橋接解決方案EverBridge實現。通過使用鏈上NFT,質押合約現在在區塊鏈上得到完全保護。(news.bitcoin)[2022/4/6 14:06:38]
舉例說明:Uber司機同時是Uber的用戶及Uber的員工,在Airbnb的房東也是一樣,一個Facebook用戶同時也是一名Facebook員工等等。
1、2群眾的崛起
NicolasColin在他的《對沖》一書中簡潔地描述了這種情況:
“
理解數字經濟的關鍵,在于它將權力從組織內部重新分配到外部。該法則的推論是,在數字經濟中成功的企業,就是那些意識到如何在組織外部重新分配權力的企業,并學會利用它來促進增長和利潤。”
為了定義這種力量的性質,NicolasColin在與HenriVerdier合著的一本書中定義了群眾“multitude”的概念:
“群眾被定義為數十億個人,他們現在裝備了越來越強大的設備,并通過廣泛的網絡相互聯系。”
在數字經濟中,組織依靠群眾作為一項業務蓬勃發展,但大眾對其在組織層面創造的財富沒有既得利益。取而代之的是,大多數人進入了“零工經濟”,即在成功完成一項服務后獲得報酬的兼職工作。這些工作在工業時代曾經很少見,但現在已變得越來越普遍。
1、3新的挑戰
數字經濟中組織的徹底變革,給所有利益相關者帶來了重大挑戰,而這些是必須要解決的:
對于創始人而言:
“我如何激勵我的社區,以促進組織的長期成功?”
答案是
錢。在數字經濟中,群眾已成為組織勞動力的重要組成部分,創始人需要新的機制來吸引、保留和授權多元化的全球社區。許多營銷策略已經存在,但沒有一個能讓組織和社區之間的利益保持持久、穩固的一致。根據當前的證券法,真正的解決方案在法律上是如此復雜,以至于這不是現實的選擇。
“Airbnb是一家以社區為基礎的公司,如果沒有我們的房東,我們將一事無成。我們希望我們最忠誠的房東成為股東,但需要改變這些政策才能實現這一目標。”
以上這段話是Airbnb首席執行官BrianChesky在一份Airbnb寫給SEC的評論信中提到的內容。(
注:顯然,SEC并沒有同意這一點,目前Airbnb雖然尚未破產,但已岌岌可危)
“我如何才能與我的社區建立長期的信任關系?”
答案是
信任。為了與大眾結成持久而穩固的聯盟,組織需要贏得大眾的信任。
然而,隨著越來越多的人了解風險投資的模式是如何運作的,由VC們支持的組織已越來越難獲得社區的信任。事實上,在投資者需要流動性之前,風投公司的利益只與該組織的利益一致。當投資者要求流動性時,利益的一致性突然集中在非常短期內,投資者希望以盡可能好的價格出售自己的股票。在大多數情況下,創始人會被嚴重稀釋,失去對組織的控制,因此他們無法為創造不同的結果做很多事情。
對于員工而言:
“對于我承擔的風險,我想要和我創造的價值成比例的經濟回報。”
答案是公允的價值創造捕獲。與分散投資組合的投資者不同,員工并不是分散投資的,他們僅僅從其工作的組織中獲取收入。有很多計劃是為了使員工的利益與組織的財務成功保持一致,但大多數計劃都是提供非流動性和可轉讓的有條件證券或證券期權。私人組織中缺乏流動性,通常意味著員工在離開組織時被迫留下大量價值。
對于群眾而言:
“我希望自己能通過貢獻,從組織那獲得經濟回報。”
答案是長期的財富積累和經濟安全。當社區愛上了一個組織提供的產品或服務,他們希望自己能夠因為對產品的積極貢獻而獲得經濟獎勵,并在幫助組織成長的過程中積累長期財富。而一次性推薦、優惠券等方式的好處只有那么多,人們想要的是錢!在當今的背景下,尤其如此。
對于投資者而言:
“我希望我承擔的風險,能夠獲得最好的投資回報。”
答案是最高的投資回報率。投資者想要的其實就是一件事:能夠以最高估值出售其股份。投資者對治理的需求僅來自以下事實:他們的投資缺乏流動性,并且他們需要治理來保護它,直到出現流動性事件。只要他們能在自己認為合適的時候,以最好的價格出售其所持股份,投資者就會很高興。如果沒有流動性,VC投資就好比是本壘打游戲,即找到一種能帶來超常回報的投資,并超額補償絕大多數表現不佳的投資。
數據:當前DeFi協議總鎖倉量為2082.2億美元:3月2日消息,據Defi Llama數據顯示,目前DeFi協議總鎖倉量2082.2億美元,24小時增加5.98%。鎖倉資產排名前五分別為Curve(182.8億美元)、MakerDAO(162.7億美元)、Lido(136.5億美元)、AAVE(124.6億美元)、Convex Finance(124.5億美元)。[2022/3/2 13:31:06]
對于監管者而言:
“我想幫助創新者,保護投資者,同時征收我應得的稅收。”
監管機構旨在為創新者提供一個監管框架,以幫助他們創造新的服務和產品。這種監管框架的一個關鍵方面是幫助創新者籌集資金,同時為投資者提供合理的法律保護,以防止不當行為。在數字經濟時代之前,這種策略將通過稅收來產生豐厚的回報。對于監管機構而言,不幸的是,數字經濟使征稅變得更加困難:
“數字經濟系統地將商業場所與消費場所分離開來。因此,越來越難以確定這種經濟創造的價值所在地,也越來越難以適用現已過時的稅法規則。”——PierreCollin&NicolasColin
對于地球而言:
“我需要的是能夠長期思考的組織。”
建立激勵機制,使組織可以長期進行優化,同時對環境影響負責,這對整個人類都是非常有益的。截至今天,我們無法就環境議題和當今金融市場的短期行為建立起全球可執行的治理機制,這使得公地悲劇變得更加真實。
1、4?ICO的出現及問題
近年來,加密貨幣的興起,催生了一種新的組織融資方式——首次代幣發行。
而做這些活動的組織,或多或少都用到了以下的宣傳方式:
“
我們在區塊鏈上創建了總量固定的代幣,這些代幣不是證券,因為我們不會給投資者任何金融或投票權。但是,你可以期望這些代幣具有未來價值,因為我們設計了一個系統,它會有***的牛X功能,我們正在出售一定數量的代幣,以資助該項目的發展,這些代幣很快就會在市場上流動,我們將在XX交易所上線,不要錯過這次機會……”
從表面上看,ICO似乎很好地協調了組織中主要利益相關者的利益,比如創始人在沒有給予任何治理權的情況下籌集了大量資金,允許他們追求自己的愿景。投資者們也很高興,當代幣在交易所上線時,他們可以快速套現,這種早期的流動性使他們能夠大幅降低風險,當然前提是要有足夠的流動性。員工也可以很開心,因為他們可以拿到流動性代幣,并進行套現。
但問題是:對于那些沒有經驗的投資者來說,評估代幣是否具有價值是非常困難的,結果是,很多散戶投資者被一些承諾超高回報的項目方收割得體無完膚。
實際上,在大多數項目中,與項目投資相關的風險,要比潛在的回報高出一個數量級,以下就是ICO涉及到的主要風險:
團隊是否受到適當的激勵來創造產品?在很多項目中,創始人給自己留有了大量代幣,并且沒有或者設置了很少的鎖倉時間,因此,如果ICO成功了,創始人將立即變得富有,并可能失去真正創造產品的動力。
團隊是否能創建產品?項目通常處于早期階段,沒有產品可供展示,而只有白皮書中描述的良好愿景。
產品能否在擬定的時間表上創建?很多項目方嚴重低估了將區塊鏈與系統中的代幣集成所帶來的重大技術限制。
產品能否有良好的用戶體驗?大多數項目完全低估了在系統中集成代幣所帶來的UX約束。
當產品交付之后,它會被使用嗎?很難知道團隊是否能達到產品/市場匹配。
如果用戶喜歡這個產品,代幣會捕獲任何價值嗎?可能會出現一些項目非常成功,但它的代幣卻沒有價值的情況,因為它不是一種證券。
如果代幣有價值,它會是一個好的投資標的嗎?要知道,大多數的項目都以非常高的估值出售其代幣。
鑒于上述原因,絕大多數的ICO項目都會失敗,它們并不是好的投資標的。更糟糕的是,一個項目可能會非常成功,但它的代幣卻沒有價值,這就產生了兩個重要問題:
散戶投資者會因為ICO中Shitcoin瀑布的運作方式而受到欺騙;
監管者不知道如何處理ICO,一方面,他們歡迎吸引人才和投資者的創新,但另一方面,他們更不喜歡散戶投資者被欺騙。
而目前擺在我們面前的事實是:市面上絕大多數的ICO都是騙局。
二、持續性組織(CO)
持續性組織是指設立持續性證券發行的任何組織,其目的是使每個利益相關者能夠在任何時候對該組織進行投資。
2、1持續性證券發行
持續性證券發行是組織在不釋放任何股權或任何治理權的情況下,獲得融資的一種新穎方法。CSO使用組織的已實現收入作為抵押,以支持任何人都可以購買或出售的完全數字化證券,以推測組織未來的收入。
DeFi協議Anchor Protocol鎖倉量突破35億美元:8月19日,固定利率DeFi協議AnchorProtocol鎖倉量(TVL)突破35億美元,抵押品總價值23.3億美元,其中作抵押的bLUNA價值約21.5億美元,bETH價值約1.8億美元。
此前消息,AnchorProtocol在8月2日宣布與質押流動性解決方案Lido合作,推出bETH,旨在將非Terra生態資產首次引入AnchorProtocol,擴大AnchorProtocol質押品的種類與流動性。[2021/8/19 22:23:58]
為了創造一個持續性證券發行,一個組織將同意在一個預先定義的最短時間內,使用其實現收入的固定百分比來創建一個有價值的抵押品。具體來說,這是通過將上述固定百分比的收入,注入到去中心化自治信托來實現的。而DAT是一種智能合約,它使用代幣聯合曲線合約自動發行和回購公平證券,以滿足投資者的市場需求。
有關和DAT交互的貨幣的重要說明:
取代ETH,以消除波動性的影響。)
2、2了解代幣聯合曲線模型
自SimonDeLaRouvière在2017年首次提出聯合曲線模型以來,很多人都在探索這一想法。
聯合曲線合約是一種特殊類型的智能合約,其通過買賣函數發行自己的代幣,要購買代幣,買家將ETH發送到Buy函數,該函數計算代幣的ETH平均價格,并向你發出正確的金額。而Sell函數的工作原理是相反的,合約將計算當前的平均售價,并向你發送正確的ETH金額。
而在持續性組織(CO)的情況下,購買和出售函數是不同的:

代幣聯合曲線模型具有有趣的特性,包括:
無限供應,可以鑄造的代幣數量沒有限制;
確定性價格計算,代幣的買賣價格隨代幣鑄造數量的情況增加或減少;
有保證的即時流動性,聯合曲線合約是交易的對手方,它總是持有足夠的以太幣儲備來回購代幣。因此代幣可以在任何時候即時買賣,而聯合曲線就像是自動做市商。
連續價格,代幣n的價格低于代幣n+1,并高于代幣n-1,計算給定數量ETH鑄造的代幣數量需要一定的積分學知識。
值得注意的是,在聯合曲線模型中,x軸表示發行的代幣數量,舉一個簡單的例子,假設
B=x和
s=0。購買前10個代幣的成本
C,由買入曲線和賣出曲線之間的曲面給出,可以表示為以下公式:

因此,在我們的例子中,C=10*10/2=50。
2、3去中心化自治信托
在持續性組織(CO)的情況下,我們引入了基于收益的聯合曲線:一個使用兩個不同函數的聯合曲線,一個用于買入曲線,另一個用于賣出曲線:B和S

。

用于發行公平證券的去中心化自治信托聯合曲線
這些公平證券會代表對DAT現金儲備的認領權。重要的是要注意,與股票不同,公平證券并不代表組織的所有權,它僅對DAT管理的現金儲備具有財務權利。
而DAT的現金儲備是組織收入的函數。因此,通過購買公平證券,投資者就可以獲得該組織未來收入的財務風險敞口。
函數B定義從DAT購買公平證券的價格,B是一個線性函數,它有一個正斜率b,使得B=b*x,其中

?且b>0。斜率b可以任意選擇,b越高,單位代幣的價值就越多,反之,b越低,單位代幣的價值就越少。
如果你想讓你的投資者有很多的代幣,那就選擇一個非常小的b值)。
函數S定義了DAT回購公平證券的價格,S也是一個線性函數,并且具有一個斜率s,使得S=s*x,其中

以太坊上DeFi協議總鎖倉量環比下降7.68%:據歐科云鏈OKLink數據顯示,截至今日14時,以太坊上DeFi協議總鎖倉量約合349.4億美元,環比下降7.68%。
當前以太坊上鎖倉量排名前三的協議分別是Maker 45.2億美元(-4.93%),WBTC 37.1億美元(-2.49%)以及Uniswap V2 33.4億美元(-6.58%)。受市場下行影響,以太坊上DeFi協議的鎖倉量普遍回落。[2021/1/26 13:33:17]
且s>0。但是,在持續性組織(CO)中,s的值會隨時間變化。為了說明s的值如何隨時間變化,了解DAT如何接收和處理它接收到的現金是很重要的。
投資-buy()函數
DAT現金流的第一個來源,是希望投資于持續性組織的投資者。他們通過調用DAT的buy函數來做到這一點。每當“外部”投資者將資金發送到DAT時,DAT會將一部分現金存入DAT的現金儲備中,其余資金則轉移到組織的錢包中。我們稱I為現金儲備中資金的百分比,而這個I是不變的常數。

投資發生時的價值流

投資發生時對DAT聯合曲線合約的影響
購買公平證券的投資者,是為了向基礎組織投資,投資者不希望他們的錢被DAT保留起來,他們希望自己的錢能夠被組織很好地利用,因此,
s的值必須比
b低一個數量級,這意味著理想情況下
I值應該是低的。如果組織的特征能夠得到證明,
I甚至可以是0。
例如:假設投資者向DAT發送10ETH,如果I=10%,則DAT將把9ETH轉移到組織的錢包中,并在其現金儲備中保留1ETH。
如果投資者是受益組織,即該組織在技術上對其自身進行投資,則上述規則不適用。在那種情況下,I總是等于100%,這意味著每當一個組織對其DAT進行投資時,該組織用于購買公平證券的100%資金,將流入到回購儲備金。欲了解更多信息,請參見下面的受益人組織的公平證券購買。
微積分
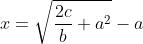
當投資者以成本c購買公平證券時,他收到x單位公平證券,其中x等于:

其中c是用來購買公平證券的數量,b是銷售斜率,a是交易前已經流通的公平證券數量。
受益組織購買的公平證券-buy()
在任何時候,受益組織都可以決定購買公平證券,為此,受益組織和其他投資者一樣調用buy函數,但與外部投資者不同,受益組織用于購買公平證券的資金100%流入回購準備金。
這保證了所有投資者之間的利益完全一致。事實上,如果受益組織能以與外部投資者相同的投資比率I購買公平證券,這將具體意味著,與外部投資者相比,受益組織能夠以較低的價格購買公平證券(因為根據定義,該組織收到的是投資額的(1-I)%。這種差異很容易被不誠實的組織和經理濫用。
購買公平證券也是組織如何獎勵公平證券持有者的一種方式。事實上,當受益組織購買公平證券時,不僅增加了回購準備金,還增加了銷售曲線的斜率。
因此,對于一個擁有鏈外收入的組織來說,購買公平證券是該組織實際將其收入輸送到DAT的方式。這意味著,組織產生的收入越多,隨著時間的推移,它積累的公平證券就越多,可以用來進一步激勵其關鍵利益相關者。
當然,如果組織想最大限度地提高公平證券持有者的報酬,也可以簡單地決定用burn()函數燒掉它的公平證券。

受益組織購買公平證券時的價值流

受益組織購買公平證券對聯合曲線的影響
外部投資者的投資與受益組織購買公平證券之間的差額,源自他們對DAT儲備金的各自貢獻比率:
外部投資者的投資:金額M為DAT的儲備金貢獻了I*M,同時創造出M的等值價值,因此,/M=I的貢獻率以及I<100%;
58學院直播間:DeFi的流動性挖礦具有較高資金和技術門檻 對市場影響有限:8月20日晚8點,58學院第十一期AMA《萬眾狂歡的DeFi,老幣圈與新幣圈存在鄙視鏈?》邀請到了牛市財經CEO Vicky做客直播間。Vicky表示,DeFi的流動性挖礦主要是發生在以太坊區塊鏈上的產品,它通過為以太坊上的DeFi產品提供流動性來獲得收益。一般來說,先參與的人會獲得多一些貨幣,后參與的人則會少一些,這會產生一種網絡效應,但礦工的充買提風險不是很高。從目前實踐看,由于以太坊上的gas費用太高,還有管理錢包等技術門檻,小額資金挖礦幾乎不太可能獲得好的收益。從這個角度來看,目前的DeFi流動性挖礦并不能算作為普惠金融或真正的開放金融,因為它具有相對較高的資金門檻和技術門檻。這是后續公鏈和運行其上的DeFi產品需要持續迭代升級來解決的。[2020/8/20]
受益組織購買的公平證券:金額M會為DAT的儲備金貢獻M,同時鑄造M的等值價值,因此M/M的貢獻率為100%;
每筆交易完成后,
s可根據儲備
Rt中的金額重新計算:

因此

例如:假設I=10%,s0=0.1,b=1,假設一個投資者以50ETH的價格購買前10個代幣,那么DAT現在有50x10%=5ETH的儲備,然后,受益組織以1ETH的價格制造0.0995個代幣,得出s1=0.1176,因此,由于s1>s0,這項操作增加了公平證券持有者的價值,也就是說,投資者現可以較之前更高的價格出售其公平證券。
燃燒公平證券-burn()
公平證券持有者可以在任何時候通過調用burn函數來燃燒掉它的公平證券。
從技術上講,燃燒的公平證券不會破壞它們,但可以確保沒有人可以使用它們,如此,它們的邊際價值可平等地重新分配給其他公平證券持有者。
對于投資者來說,這樣做是沒有意義的,但受益組織卻有理由這么做,比如不會用到這些公平證券,或者如果它想增加所有其他公平證券持有者的價值,那么銷毀就是有意義的。

投資-sell()函數
投資者可以在任何時候決定賣掉他們的公平證券會來收回ETH,他們通過調用sell函數來實現這一點。當DAT接收到公平證券時,它會燃燒掉收到的公平證券,并根據函數S將ETH發回給投資者。S的斜率s隨DAT每次收到付款而隨時間離散地增加。返還給投資者的ETH是從DAT“回購”現金儲備中提取的,其不會影響組織的資金。

出售公平證券時發生的價值流

投資者賣出代幣對DAT聯合曲線合約的影響
涉及的微積分:
當一個投資者賣出x個公平證券時,假設之前沒有燃燒公平證券,他會得到一個金額c,c等于:

其中s是出售斜率,a是交易前流通的公平證券數量。
而在公平證券有被燃燒的情況下,微積分就變成了:

其中x'是燃燒的公平證券數量。
收入-pay()
持續性組織可以通過調用其pay函數,直接通過DAT感知客戶的付款。
每當DAT收到付款P時,收到的付款的一小部分會流入現金儲備。我們將D稱為流入現金儲備的收入百分比,d為收入的相應部分。全部金額d被保存在DAT的現金儲備中,從而增加了公平證券的價值。
需要注意的是,調用pay函數也會觸發新的公平證券的發行,發行的數量等于調用buy時創建的公平證券數量。默認情況下,這些新創建的公平證券會發送給組織,如下圖所示:

當持續性組織依賴DAT接收付款時的價值流
或者,客戶可以指定
pay函數的一個參數,將新創建的公平證券發送到他選擇的地址,在這種情況下,價值流就如下所示:

當客戶指定錢包地址時的價值流
舉例:假設D=5%,如果持續性組織收到100ETH的付款,其中5ETH將流入“回購”現金儲備,從而增加公平證券的集體價值。
注:對于一些持續性組織,直接通過DAT接收客戶的付款是有意義的。需要注意的是,組織的收入并不一定要通過DAT來實現,因為組織也可以決定只通過公平證券購買來獎勵公平證券的持有者。
對于已經開展業務的組織來說,他們很可能更愿意首先以法幣的形式從客戶那里獲得付款,然后將其感知收入的一小部分轉移到DAT,以增加公平證券的價值,如下圖所示:

這樣,DAT對客戶來說是完全不可見的,組織不必修改任何高度優化的銷售流程。
預挖公平證券池
當DAT被創建時,組織可以決定為自己“預挖”一些公平證券,這就意味著,它與從零開始的DAT公平證券是不同的。
預挖公平證券對于組織而言往往意義重大,無論是獎勵創始人,支付早期員工薪酬,獎勵早期用戶還是為二級市場提供流動資金池。
然而,重要的是要認識到,預挖公平證券也會有潛在的代價,因為這些“免費”的預挖公平證券代表著DAT的銷售壓力,它們沒有對DAT的“回購”現金儲備提供任何的貢獻。
從技術上講,這意味著預挖的公平證券代幣數量越多,賣出曲線就越低。因此,具體而言,如果一個組織在設立DAT時決定欲先鑄造大量的公平證券,那么其可能需要非常小心,因為如果欲挖太多,可能會對投資者的風險和財務回報產生重大的負面影響。

在其他條件相同的情況下,預挖代幣造成的影響
因此,作為一個組織,你可能有充分的理由預挖一些公平證券,但要小心,因為欲挖太多,會降低公平證券對投資者的吸引力。因此,一個好的規則是:在創收之前,只需預先鑄造出所需的公平證券,一旦收入持續進來之后,組織將通過將其收入輸送到DAT而增加公平證券的價值。
小結
持續性組織是指通過CSO發行公平證券的組織,其通過將部分或全部已實現收入輸送到稱為去中心化自治信托的特定類型智能合約。這些公平證券代表了對DAT當前和未來現金儲備的認領權,并允許投資者對組織的收入增長情況進行交易。在這樣的一個設計中,組織、投資者以及潛在的客戶通過向DAT發送ETH或公平證券來進行交互:

2、4?持續性證券發行的生命周期
1、初始化
CSO的初始化階段是特定的,因為它并沒有使用聯合曲線,實際上,要啟動CSO,受益組織需要設定一個最低融資目標,這個最低目標是開始聯合曲線所需的投資額。所有在達到最低融資目標之前參與投資的投資者函數),將以相同的平均價格獲得公平證券,如下圖所示:

CSO的初始階段
在達到最低融資目標之前,所以的資金都是托管的,投資者可以隨時決定撤回投資函數),并將獲得100%的投資資金。而一旦達到最低融資目標,聯合曲線就會啟動,那么最低融資目標中的一小部分資金會被注入現金儲備,剩余的資金則被轉移至受益組織。
此外,在達到最低融資目標之前,受益組織可以單方面決定取消CSO,在這種情況下,投資者可提取出100%的投資資金。
需要注意的是,一旦達到最低融資目標,那么組織就不能再取消CSO了,同樣的,在達到最低融資目標之后,隨著聯合曲線的啟動,投資者就不能撤回自己的資金,他們現在只能調用sell函數,其操作方式如前一節所述。
這種最低融資目標機制,同時保護了投資者和組織,但要注意的是,組織不應該將最低融資目標設定得太高,否則會導致將CSO轉變成一場簡單的眾籌活動,并使得CSO的宗旨落空。
2、交割
CSO可以無限期地繼續下去,但也可以選擇終止,受益組織可以在最短期限到期后的任何時候決定關閉它。
為了給投資者提供一些必要的可見性,受益組織必須保證其CSO的最短運行時間。在這一最短時間過后,組織可自由選擇是否關閉CSO。此外,在任何時候,組織都可以增加其承諾的最短時間,以保持其CSO的運行。
當然,關閉CSO不是免費的,要想關閉CSO,受益組織必須支付退出費,退出費價格等于當前公平證券的發行價格乘以未償FAIR數量。一旦支付了退出費,組織就可以關閉其CSO,這樣每個投資者就能以相同的價格出售他們的公平證券:當前的買入價。

關閉CSO所需的退出費用的可視化情況
這樣做,意味著最后一個投資者不虧不賺,而早期投資者則有望實現盈利。
2、5二級市場的問題
買賣曲線之間的價差,也為公平證券的二級市場交易留下了空間。如果一個新鑄造的公平證券價格是10,則投資者寧愿從其他的低價渠道購買已鑄造出來的公平證券。
顯然,二級市場會受到DAT規定的動態價格范圍限制:買方出價高于DAT提出的當前價格,是沒有道理的。同樣,賣方要求的價格低于DAT提出的價格,也沒有意義。

有趣的是,最近二級市場自動做市商的興起,意味著可以從用戶體驗的角度將一級市場和二級市場完全融合在一起,這是Fairmint提供的一項功能,它對于減少價格波動和最大化投資者回報而言非常重要。
2、6?持續性組織的好處
與傳統組織相比,持續性組織為所有利益相關者提供了很多好處,對于
創始人:
建立堅實的激勵機制來發展社區;
在世界任何地方都能更容易地招聘人才;
保持對組織的長期控制;
使你的組織更具抵御業務起伏的能力;
少分心,多關注執行;
獲得個人流動資金;
對于員工:
使你的個人經濟利益與組織利益相一致;
當你覺得適合時,可以選擇賣掉你的公平證券;
對于群眾:
如果組織成功,就可以分享創造的價值;
享受與員工同等的長期經濟利益;
對于投資者:
利用公平證券的流動性降低投資風險;
以公開市場價格出售你的公平證券;
以你想要的速度出售你的公平證券;
可以在世界各地參與投資;
對于監管者:
在你的管轄范圍內支持創新,以創造新的產品和服務;
保護公民免受公平證券欺詐;
通過DAT輕松地收稅;
三、CSO及適用的用例
持續性組織模型不一定是和區塊鏈相關的,但它的實現需要用到圖靈完備的智能合約語言,另外穩定幣也不一定會是必要需求,但它們對于提高持續性組織的用戶體驗而言是有益的。
我們認為有意義的用例,包括:
長期員工激勵,激勵員工是任何成功組織的關鍵話題,不幸的是,今天的機制還遠遠不夠完善,特別是對于那些股票沒有公開上市的私人組織來說。組織可以使用DAT為員工提供不可剝奪的、流動的、與組織的成功相一致的流動性公平證券,而不是直接給員工股權或提供股票期權。
有大型貢獻社區的組織,到目前為止,在法律和技術上很難從財政上激勵社區。如果你的平臺業務處于后期階段,并且希望進一步讓你的社區參與到平臺當中,那么你可以通過建立一個DAT來啟動持續性組織。很明顯,你不會立刻把你的收入的100%投入到持續性組織中,而是承諾每月購買一定數量的DAT公平證券。通過這種方式,你可以很簡單地在財務上使你的社區與你的企業成功保持一致。另外,你可以用公平證券,以自己喜歡的方式向社區,員工等分發它們。
早期的初創公司。開發市場或任何類型雙邊網絡的創業者,總是會面臨雞與蛋的問題。通過建立持續性組織,并使用公平證券,他們可以堅定地激勵早期采用者,從而讓采用者也加入到項目當中并為其做出貢獻。
房地產代幣化。鑒于持續性組織的投資者會購買公平證券來預期未來的現金流,使用持續性組織購買房地產并對其進行代幣化非常有意義。事實上,房地產是一個著名的穩定和可預測現金流的提供者,因此這樣的項目可以創建一個持續性組織,為收購房地產提供資金,并為投資者提供可預測的回報。
無組織的在線社區,你不需要現有的組織來創建一個CO,也不需要合并一個CO。假設你有一個商業想法,想在一個純粹的在線社區里創建一個持續性組織,那么它也是適合的。DAT的受益方可能只是項目負責人的多重簽名錢包,DAT會預先鑄造FAIR以激勵社區,并且DAT的D參數將設置得很高,以便在產生收入時為社區帶來可觀的回報。
四、法律和法規考慮
免責聲明:以上的內容僅反映CSO方案提出者的觀點,并不構成法律觀點,你需要咨詢自己所在轄區的證券法專業律師以獲取法律意見。
需要注意的是,CSO屬于證券發行的另一種類型,因此,持續性組織很可能需要遵守其所在司法管轄區的證券法。
例如在美國,CSO很可能可以使用RegD4規則506豁免進行。使用這一豁免規則,意味著CSO正在發行限制性證券,在大多數情況下,這些證券在轉讓前需要有1年的鎖定期。因此,在進行這種活動之前,請向你的證券律師咨詢法律意見。
五、結論
任何類型的組織,無論是營利性的還是非營利的,都可以通過設立CSO而成為一個持續性組織。
持續性證券發行是組織在不釋放任何股權或任何治理權的情況下,獲得融資的一種新穎方法。CSO使用組織的已實現收入作為抵押來支持稱為公平證券的完全數字化證券,任何人都可以購買或出售這些證券來推測組織的未來收入。
為了創造一個CSO,組織要同意在預定的最短時間內使用其已實現收入的固定百分比來建立價值抵押。具體來說,這是通過將上述固定百分比的收入,注入到一個去中心化的自治信托來實現的,這是一種通過自動發行和回購公平證券,以滿足投資者市場需求的智能合約。
持續性組織是一種新型的互聯網原生組織,它比傳統組織更高效、更穩定、更具包容性。由于其完全數字化的流動性公平證券,持續性組織能夠比傳統組織更好地協調利益相關者的利益。最重要的是,它們易于整合,其屬性使其成為激勵員工,發展和壯大社區以及創建虛擬在線組織的理想之選。
?
Tags:DATCSOETHDEFIdatabasexWCSOV價格ethnology和ethnography99DEFI.NETWORK
本文首發于《中國郵電報》,有刪減,點擊閱讀原文 前言 當前,全球食品行業正因為供應鏈不透明、不可控而遭受驚人的經濟損失.
1900/1/1 0:00:00資產管理巨頭富達成為加拿大上市礦業公司Hut8上月公募的最大投資者。根據最近的一份文件顯示,富達購買了此次Hut8發行股票份額中的71%,也就是說,富達現在擁有Hut810.6%的流通股票.
1900/1/1 0:00:00自從十多年前創建以來,比特幣就與世界各地的監管者保持著緊張的關系。美國早在2012年就考慮了關閉比特幣的可能性,據報道,就在上個月,美國總統唐納德·特朗普告訴財政部長史蒂夫·姆努欽將重點放在比特.
1900/1/1 0:00:00本文作者:CertiK安全團隊,巴比特資訊經授權發布。“你給我100紅包,我明兒給你200怎么樣。” 敢發紅包篤定能收到回饋的,怕是只有最信任的人了。法制節目經常會播放一些類似的騙局來警示大家.
1900/1/1 0:00:007月16日消息,基于以太坊的Defi借貸協議Aave已通過代幣銷售的方式,獲得FrameworkVentures和ThreeArrowsCapital這兩家投資基金的300萬美元融資.
1900/1/1 0:00:00區塊鏈行業生態初步凸顯,產業區塊鏈成為新基建政策紅利下的重要趨勢,如何在風口中順勢而為,帶領團隊企業實現業務增長?為解答上述問題,7月14日,由巴比特主辦的首屆產業區塊鏈創新年中論壇在線上召開.
1900/1/1 0:00:00