BTC/HKD-0.18%
ETH/HKD-0.33%
LTC/HKD+1.51%
ADA/HKD-0.16%
SOL/HKD-0.37%
XRP/HKD+0.29%作者:?IgorMandrigin
翻譯:?阿劍
來源:以太坊愛好者
什么是“無狀態以太坊”?
如果您已經了解什么是“無狀態以太坊”以及“區塊見證數據”,可以跳過這一段。
為執行交易及驗證區塊,以太坊網絡的節點需要了解整條區塊鏈的當前狀態——也就是所有賬戶和合約的余額和存儲數據。這些數據一般來說是存儲在DB里面的,在需要用于驗證時才會加載到一棵默克爾樹中。
無狀態以太坊客戶端的工作思路則稍有區別。顧名思義,無狀態客戶端就是不使用硬盤DB來執行區塊。相反,無狀態客戶端依賴于“區塊見證數據”——就是一段特殊的數據,它會跟相應的區塊一起傳播;擁有了這段數據,客戶端就可以重建出一個默克爾子樹,該分支足可用于執行該區塊中的所有交易。
你可以在這篇文章中讀到關于無狀態客戶端的更深入的描述:https://blog.ethereum.org/2019/12/30/eth1x-files-state-of-stateless-ethereum/
當然咯,需要傳播區塊見證數據就意味著無狀態客戶端的網絡要求要比普通節點更高。

-見證數據大小折線圖-
現在人們已經提出了很多降低見證數據規模的思路:使用有效性/計算完整性證明、加入更多的壓縮手段,等等。其中一種辦法是將以太坊的默克爾樹從十六進制轉為二進制。
這就是本文想要探討的問題。
觀點:BTC不久的將來可能出現強勁反彈:金色財經報道,加密情報門戶網站Santiment最近的一份報告中透露,盡管最近價格下跌了 10%,但比特幣的知名投資者(鯨魚)已經積累了大量比特幣。這些持有 100 到 10,000 BTC 的巨鯨總共額外增持了 57,578 BTC。這種積累造成了值得注意的看漲背離,暗示在不久的將來可能出現強勁反彈。[2023/6/12 21:30:34]
為什么要使用二進制樹
默克爾樹的一大優良特性是,驗證樹根值正確與否并不要求你具有整棵樹所有的數據。只需把所有省略的非空路徑替代為相應的哈希值就可以可。
那么使用十六進制默克爾樹有什么不好呢?
設想整棵樹都已填滿數據。要驗證一個區塊,我們只需要一小部分默克爾樹節點的數據。那么,我們只需把其他路徑的數據替代為哈希值就可以了。
但是,每多加入一條哈希值,區塊見證數據就會大一些。
如果我們轉變為二進制默克爾樹,這個問題就可以得到緩解——因為默克爾樹上的每個節點都只有兩個子節點,所以至多只有一個字節點需要被替換為哈希值。
這樣做也許能大幅降低見證數據的規模。
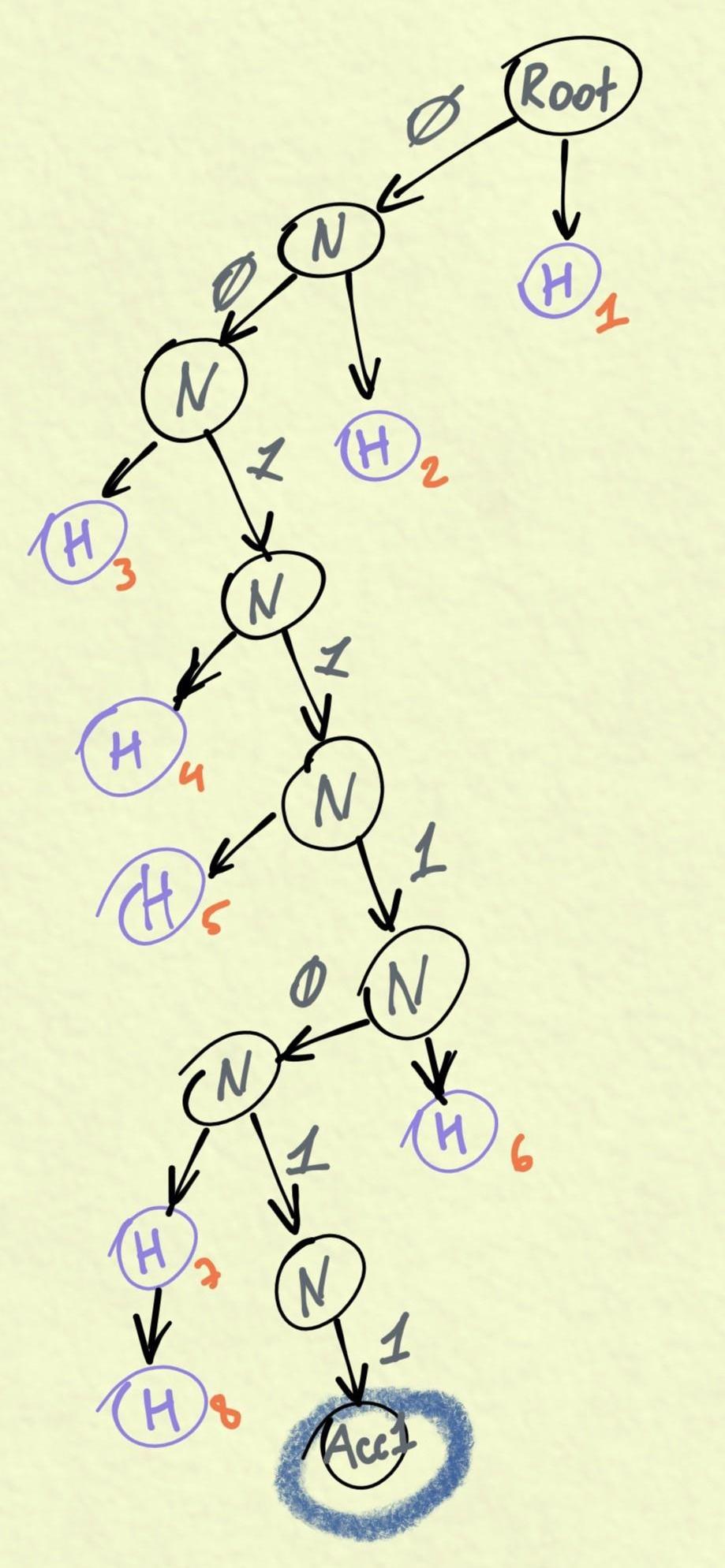
我們再舉例說明一下。
假設執行某個區塊只會影響一個賬戶:3B路徑下的Acc1。整棵樹是全滿的。


現場 | 觀點:區塊鏈可以用于追蹤AI的模型:金色財經現場報道,10月27日,第六屆區塊鏈全球峰會于上海開幕,峰會的圓桌討論環節,
Greenplum創始人馮雷分享表示,開源分布式數據庫本身是和區塊鏈平行的一個技術,但分布式數據庫的軟件棧和區塊鏈不同,考慮區塊鏈和分布式數據庫的融合是一個值得探索的問題,毋庸置疑的是數據會產生巨大的價值。
LeapFive CTO江朝暉分享表示,IOT的設備一般是上云的,當數據上云后,數據產生價值的過程無法控制,區塊鏈與IOT是天作之合,利用區塊鏈可以管理數據,此外,AI的模式是可以分散的,區塊鏈可以用于追蹤AI的模型,
通聯數據首席智能投資科學家羅戈,很多區塊鏈應用的成本情況是用了會更好,沒有的話也沒事的尷尬現狀,與其找這些場景,不如找沒有區塊鏈干不成的領域創新。[2020/10/27]
-二進制狀態樹與十六進制狀態樹的比較-
如果說二進制狀態樹看起來有點嚇人,那只是因為二進制樹我畫全了,但沒有把十六進制樹的所有代之以哈希值的節點都畫出來。
來數個數:
為創建出一棵二進制狀態樹,見證數據需要包含8個哈希值,7個分支節點和1個賬戶節點。也就是見證數據中有16個元素。
為創建出一棵十六進制狀態樹,我們只需1個分支節點,1個賬戶節點,但需要30個哈希值。也就是有32個元素。
所以,假設哈希值和分支節點在區塊見證數據中的所占的空間是一樣大的,在我們的例子中,使用二進制樹所需的見證數據大小只有十六進制下的一半。看起來不錯。
那么,理論上就是這樣。
我們來看看實際情況是如何。我們直接拿以太坊主網的數據來看看吧。
觀點:比特幣波動性受抑制原因或是大量持有短期波動性期權的基金涌入市場:根據Skew提供的數據,BTC隱含波動率和實現波動率也出現了下沉,跌至2020年3月以來未曾見過的水平。7月10日,實際波動率降至3.2%,但隱含波動率保持在3.5%。
Blockhead Capital的執行合伙人Matt David Kaye表示,波動性受到抑制的原因可能是市場上大量持有短期波動性期權、尋求收益的基金涌入。對市場上的許多投資者來說,這些工具被宣傳為低風險、產生收益的工具。
隨著比特幣價格的鞏固,做市商正試圖通過不斷調整現貨風險來對沖風險。這導致了一個更緊的價差的產生,并擴展了6月份可預測的價格區間,因為他們以低價買回了比特幣,當比特幣價格稍有上漲時就出售了比特幣。因此,這些短線波動基金正在獲利,Kaye補充說,比特幣期權市場的風險被錯誤定價了。(AMBCrypto)[2020/7/11]
開始實驗
先說最緊要的:我們怎么知道自己構建出來的區塊見證數據是有用的呢?
測試方法如下:我們使用區塊見證數據來生成一棵默克爾子樹,在這棵樹上運行相應區塊中的所有交易,然后校驗結果是否與我們所知的一致。只要交易都能成功執行,等等),我們就可以斷定這個見證是足夠充分的。

-測試方法:1.執行區塊;2.從狀態樹中抽取出見證數據;3.使用見證數據構造出一棵子樹;4.禁用DB訪問、使用子樹來執行區塊(具體可見
github)-
其次,我們需要一些基準數據。因此,我們也使用500萬到850萬高度的區塊、在十六進制默克爾樹模式下生成了見證數據,并將見證數據大小的統計數據存在一個超級大的csv文件中。
觀點:未來五年內山寨幣將有可能取代比特幣的領先地位:區塊鏈搜索和分析平臺Blockchair首席開發人員Nikita Zhavoronkov說,在未來五年內,山寨幣將有可能取代比特幣(BTC)成為領先的加密貨幣。在一系列的推文中,Zhavoronkov解釋了為什么他認為比特幣缺乏智能合約、新的隱私功能和縮放技術將最終給比特幣帶來麻煩。他說,以太幣目前是市值第二大的加密貨幣,很可能會超過比特幣,盡管其他數字資產也可能升至加密市場的首位。Zhavoronkov指出,以太坊2.0是一個潛在的轉折點,其設計目的是通過股權證明系統來顯著提高以太坊的交易速度和交易量。(The Daily Hodl)[2020/6/10]
我們嘗試的第一步是執行完一個區塊后就組裝出一棵十六進制樹,然后將它轉為二進制樹,再從這棵二進制樹中提取出見證數據。
這種方法有幾個好處:易于實現,而且驗證十六進制-二進制的轉換也很簡單。
不過,我們遇到了兩個問題,而且其中一個還不小。
第一個,正如我們上面證明的那樣,比起二進制樹,十六進制樹包含更多的賬戶節點,如果我們先生成十六進制樹再轉換,得到的結果就跟在二進制樹模式下直接生成所得到的見證數據不一樣。
為什么呢?
因為十六進制樹數據總是以1/2字節的速度增長,而二進制樹總是以1比特的速度增長,因此鍵的長度可以是奇數位。
實際上,見證數據中還包含一些額外的擴展節點,它們還要稍微大一點。不過即便對內容較多的區塊,體現在見證數據大小上的差別也非常之小。
關鍵的是性能。隨著樹的規模增長,轉換的速度會越來越慢。
觀點:312黑色星期五比特幣暴跌 系場內杠桿引發踩踏:近日,貝寶金融聯合創始人王立在接受采訪時表示,3月12日“黑色星期五”的表現是高杠桿壓力下,3月12日大量比特幣拋售引發合約和現貨市場的連環踩踏;深層原因是原油和新冠病疫情雙重打擊下,風險資產價格暴跌帶來的一次流動性危機。同時,貝寶金融CEO楊舟認為是流動性的問題,而不是整個市場的風險偏好變化。他解釋稱,這不是說比特幣到底還有沒有避險屬性的問題。市場上這時候關心的是:可以賣嗎?好賣嗎?反正趕快賣掉,而不管比特幣什么屬性。銀行又不給錢,而比特幣作為一個每天交易量超過百億美元的一個資產,只能賣比特幣去補充其他地方受損的那些錢。而恰恰在這個時候,比特幣市場本身又是一個高杠桿狀態,于是賣出引發了踩踏。(華夏時報)[2020/3/31]
用更具體的數字來說明一下:在我們的GoogleComputeEngine虛擬機上,處理速度約為每秒0.16個區塊,也就是每分鐘處理小于10個區塊,處理100萬個區塊要超過3個月!
所以,我們決定采取更復雜的辦法,開發出一個原生使用二進制默克爾樹的實驗性分支。也就是說,我們要把turbo-geth代碼庫例地所有十六進制狀態樹全部替換為二進制樹,然后區塊就是基于二進制樹來執行的了。
這種辦法的不利之處在于,部分哈希值的校驗只能被忽略掉。
但主要的驗證機制還是一樣的:我們需要能夠使用二進制樹來執行區塊、從見證數據中創建出默克爾子樹。
再來談談key。
為簡化起見,我們對key的編碼方式是非常低效的:1bytepernibble;一個key的每一比特就要占用1字節。這樣做大大簡化了代碼層面的改變,但區塊見證數據中的”key“部分會是我們使用bitset時候的8倍大。
因此,在進一步分析中,我會假設key的編碼方式是最優的。
Hexvs.Bin:結果
我的分析分為兩段,總共分析了以太坊主網上的200萬個區塊。
區塊高度500萬到650萬
我在這個github庫里面提供了使用python腳本來重復這一實驗的命令行:
https://github.com/mandrigin/ethereum-mainnet-bin-tries-data
首先我們來分析一下數據集。
pythonpercentile.pyhex-witness-raw.csvbin-stats-5m-6.5m.csv50000006500000adjust

-
一個箱型圖,箱體顯示上四分位到下四分位之間的數據,左右延伸出去的線條顯示上1%到下1%之間的數據
-百分比分析-
現在我們可以生成一些很酷的圖表了!
pythonxy-scatter-plot.pyhex-witness-raw.csvbin-stats-5m-6.5m.csv50000006500000adjust

-XY散點圖(橫軸為Hex下見證數據大小,縱軸為Bin下見證數據大小)-
可以看出,二進制見證數據的大小總是優于十六進制樹下的見證數據。
我們再加入另一個參數,用二進制見證數據大小除以十六進制見證數據大小,看看我們得到了怎樣的提升。
pythonsize-improvements-plot.pyhex-witness-raw.csvbin-stats-5m-6.5m.csv50000006500000adjust

-二進制見證數據的大小/十六進制見證數據的大小-
為更好地理解這張圖標,我們也輸出了平均值和百分位值。
平均值=0.51
P95=0.58
P99=0.61
在實際場景中這意味著什么?
對于99%的區塊,見證數據的大小可以降低至少39%。
對于95%的區塊,見證數據的大小可以降低至少42%。
平均來說,見證數據可節省49%。
我們也要考慮見證數據大小的絕對值。為使數據變得可讀,我們每1024個區塊取滑動平均值。
pythonabsolute-values-plot.pyhex-witness-raw.csvbin-stats-5m-6.5m.csv50000006500000adjust

-依時間順序繪制的見證數據大小折線圖,縱軸單位為MB-
再來看看最新區塊的情況。
區塊高度800萬到850萬
pythonpercentile.pyhex-witness-raw.csvbin-stats-8m-9m.csv80000008500000adjust

-箱型圖,箱表示上下四分位以內的數據,線表示上下1%以內的數據-
-800萬號到850萬號區塊的百分位分析-
還有XY散點圖。
pythonxy-scatter-plot.pyhex-witness-raw.csvbin-stats-8m-9m.csv80000008500000adjust

還有規模上的節約。
pythonsize-improvements-plot.pyhex-witness-raw.csvbin-stats-8m-9m.csv80000008500000adjust

-XY散點圖(橫軸為Hex下見證數據大小,縱軸為Bin下見證數據大小)-
平均值=0.53
P95=0.61
P99=0.66
最后,再來看看見證數據的絕對大小。
pythonabsolute-values-plot.pyhex-witness-raw.csvbin-stats-8m-9m.csv80000008500000adjust

-依時間順序繪制的見證數據大小折線圖,縱軸單位為MB-
結論
在使用以太坊主網數據做過測試以后,我們可以看到,切換為二進制樹模式可以大幅提升生成見證數據的效率。
另一個結論是,這種提升并沒有理論上那么顯著。原因可能在于主網區塊的實際數據。
也許,通過分析一些例外情況,我們可以知道更多優化見證數據規模的辦法。
試著使用別的原始數據來跑跑GitHub中的腳本吧:https://github.com/mandrigin/ethereum-mainnet-bin-tries-data
作者:ARI 來源:AcalaNetwork從歷史視角看人類組織,區塊鏈最大的貢獻是什么?區塊鏈網絡作為全新的組織模式正在釋放著人類全新的潛能,這類去中心化組織方式更像是一場持續的社會實驗.
1900/1/1 0:00:00來源:中國青年報 甘肅省省長唐仁健在“數字甘肅如意之鏈”——甘肅省區塊鏈發展應用啟動發布會上講話。中國青年報客戶端訊“數字甘肅如意之鏈”——甘肅省區塊鏈發展應用啟動發布會1月9日在蘭州舉行.
1900/1/1 0:00:00受訪者:VitalikButerin采訪&撰文:李畫、Retric@橙皮書 今年是Apache軟件基金會成立21周年,作為互聯網開源社區的代表,Apache的項目支撐起了大半個互聯網.
1900/1/1 0:00:00據Financemagnates報道,1月13日,以色列區塊鏈初創公司、去中心化擔保品管理平臺Atomic宣布在HexaGroup牽頭的種子輪融資中籌得250萬美元.
1900/1/1 0:00:00作者:AdrianaHamacher 來源:真本聰 Cosmos在2019年的末尾表現優異,在整體大盤盡顯頹勢期間逆勢上揚。隨便問圈子里的一個人,他知不知道Cosmos.
1900/1/1 0:00:00來源:數字法幣研究社2019年6月Facebook旗下的加密數字貨幣Libra誕生,加速了全球央行法定數字貨幣的發展進程。自Libra之后國際金融組織對加密數字貨幣的態度發生了根本轉變.
1900/1/1 0:00:00