BTC/HKD-1.02%
ETH/HKD-1.13%
LTC/HKD-1.02%
ADA/HKD-2.52%
SOL/HKD-1.65%
XRP/HKD-1.61%在ChainNode白皮書解密讀書會01期活動中,比原鏈高級研究員劉秋杉帶領大家領讀「MOV:下一代去中心跨鏈Layer2價值交換協議」白皮書,得到了很多粉絲的關注,其中gentledog的讀書帖「關于MOV巡查官制度的幾點思考」獲得了讀書活動的第一名。
正文如下:
根據白皮書,MOV中有巡查官一職防止Bytom側鏈作惡。我就在想,這個制度是否存在漏洞呢?經過一番思考,似乎有以下幾種攻擊方式:
復制交易攻擊
巡查官發現問題并在主鏈上發起一筆交易,有人獲取這筆交易內容后,提高手續費或者直接向網絡隱瞞這筆交易,然后再發起一筆同樣內容的交易,從而竊取巡查官的勞動成果。在這種情況下,巡查官能夠獲取的利益幾乎為零,甚至為負,這樣就不會有動力去巡查了。
這種攻擊是有對策的。有一樣東西是作惡者無法復制的:錢包地址!可以采取提案+證據的模式,巡查官可以先提交承諾,等區塊確認后,再公布數據。這樣就能比較完美地解決這個問題了。
巴菲特再批比特幣,引發加密社區反擊:5月2日消息,在周末的伯克希爾哈撒韋年度股東大會上,巴菲特再次發表了一系列唱衰比特幣的言論,引發加密貨幣支持者的反擊和嘲諷,特斯拉CEO馬斯克也參與其中。
支持加密貨幣的美國億萬富翁、風投大佬Marc Andreessen在推特上發布了一段視頻,將巴菲特在多個場合談到比特幣的鏡頭剪輯在一起,并評論稱:他說這些話的時候還在赤裸裸地兜售糖尿病,真是太瘋狂了。這是指巴菲特出席股東會時,桌上特意擺放了喜詩糖果,他的老搭檔芒格還在現場開吃。馬斯克在安德森的視頻下回應稱:哈哈,他說了這么多次‘比特幣’。
比特幣超級多頭、MicroStrategy創始人兼CEO邁克爾-塞勒也注意到了巴菲特的最新言論,諷刺稱:每個人都在不停地談論比特幣。
比特幣社區的其他人士也對巴菲特的言論做出了回應,指出雖然他多次在公開場合貶低比特幣,但其實他的投資組合擺脫不了與比特幣的關系。一位加密貨幣的支持者寫道:巴菲特說他不會用25美元買下世界上所有的比特幣,但他投資了一家名為Nubank的巴西銀行,這家銀行的比特幣ETF已經上市。忽略他。[2022/5/2 2:45:05]
假裝作惡攻擊
多鏈收益聚合器Beluga在Balancer社區發起提案,計劃將Beluga列入veBAL名單:4月11日消息,多鏈收益聚合器Beluga在Balancer社區發起提案,計劃將Beluga列入veBAL名單,以啟動自己的beBAL保險庫。通過Beluga的beBAL保險庫,用戶將能夠鎖定他們的80/20BalancerLP以鑄造beBAL代幣。
此前報道,3月29日,Balancer正式上線veBAL機制,用戶可鎖定80/20BAL/ETH池的BPT(Balancer資金池的流動性代幣憑證)獲得veBAL。[2022/4/11 14:16:51]
當網關節點給予的獎勵大于側鏈作惡者所遭受的損失時,可以采取這種攻擊。側鏈作惡者可以假裝作惡,然后串通巡查官搶先提交作惡的證據,從網關節點處騙取獎勵,當獎勵大于作惡者所受到的懲罰時,作惡者就獲利了。這種攻擊說明,網關節點給予的獎勵是有上限的,它不能大于作惡者所受到的懲罰,并不一定與作惡程度對等。
門羅幣礦池MineXMR控制44%的算力,社區成員擔心可能發生51%攻擊:2月15日消息,Monero礦池MineXMR現在控制著44%的算力,一些人認為這使門羅幣網絡面臨潛在的安全風險。如果MineXMR礦池繼續增長并控制超過51%的網絡算力,理論上可以進行51%攻擊。
一些Monero支持者對這種情況提出了警告,稱他們擔心如果繼續在MineXMR上部署挖礦資源,可能會導致該礦池控制51%的網絡。他們呼吁礦工將其算力部署在其他池中,以減少MineXMR的算力控制。
截至發稿時,MineXMR控制的算力幾乎是第二大和第三大門羅幣礦池總和的兩倍。(The Block)[2022/2/15 9:52:27]
DOS攻擊
當側鏈作惡且涉及金額龐大時,在網絡上發起垃圾交易,暫時阻塞網絡,使得巡查官的監察成本遠大于他所能獲得的獎勵(由于假裝作惡攻擊,獎勵是有限的,它并不與作惡程度對等),一旦爭議期過去,作惡者就得逞了。DOS攻擊并非不可能(參見以太貓和EIDOS空投),作惡者可以選擇在網絡擁堵的時候發起攻擊以減小成本。
Chocoswap即將推出“香草莊園”并向社區饋贈2300枚CHOCO:據官方消息,全生態跨鏈聚合交易平臺Chocoswap于4月21日推出權益性代幣CHOCO,并將推出集NFT、盲盒等多種衍生玩法的“香草莊園”。CHOCO將是“香草莊園”的重要入場券之一。同時,當Chocoswap聚合交易及跨鏈聚合交易功能上線后,根據Choco 持倉數量進行手續費折扣分級,持倉越多,折扣越大。
CHOCO沒有任何預售、沒有任何投資機構,全部通過社區回饋和流動性挖礦發行,初始定價10美元,將面向Chocoswap社區饋贈2000枚,并于近日啟動流動性挖礦。同時,Chocoswap和Codebank攜手,面向社區送出300枚CHOCO。[2021/4/21 20:43:21]
先撇開DOS攻擊不談,下面試從經濟角度分析巡查官制度。先取一個觀察時間段,設在這個觀察時間段內,巡查官的巡查成本為U,網關節點的獎勵為V,作惡者被舉證時遭受的損失為R,作惡成功時獲得的收益為S,作惡者作惡的概率為p,巡查官的平均巡查人數為q,某單個巡查官巡查的概率為t。這里假設巡查官的機會是均等的,即當巡查官的巡查人數為q時,成功舉證的概率為1/q。則某單個巡查官和作惡者的博弈如下圖:
聲音 | 劉昌用:BCH15天完成募資額的125% 有強大的社區支持:據核財經消息,昨日,一則“因無法籌集足夠資金 BCH開發者正陷于巨大困境”的消息頻頻見諸媒體,引起眾多幣圈人士熱議。今日,知密大學發起人、北大經濟學博士劉昌用接受采訪時表示,BCH近期展開了底層開發募資活動,將有效緩解底層開發者壓力,并保障生態的去中心化。
據他透露,本次募資為期2個月,將于8月1日截止,其募集目標為800BCH,約30多萬美元。目前,僅用15天就已完成125%,反映了BCH社區對密碼貨幣去中心化意義的理解和支持。
另外,他還表示,現在BCH底層開發工作主要依靠5個獨立開發團隊的志愿進行,募資將會提高開發組織效率。[2019/6/18]

則某單個巡查官的期望支付為

。
在完全競爭的條件下,某單個巡查官的期望支付應當接近于0。由此可以推算出

。
由此可以得知,當

時,q=0。進一步的,我們可以計算作惡者的最佳作惡概率。這里不妨設

且

,于是

,

。
則作惡者的期望收益為

在區間

上,該式單調遞減。所以,在

處取得最大值。所以,作惡者的最佳作惡概率為

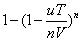
,此時無人巡查!上述的“觀察時間段”是指一個充分小的、不可分割的時間段。如果是一個較長的時間段T,怎樣計算作惡概率呢?這里設巡查官在單位時間內的巡查成本為u。將時間段T等分為n(充分大)個小時間段。則每個小時間段內的作惡概率約為

。則n個時間段內作惡發生的概率約為

。

所以,在較長時間段T內,作惡發生的概率為

。
結論
我們可以得出以下結論:
1.巡查官制度可以減小側鏈作惡的概率;
2.側鏈作惡的概率與巡查官的巡查成本U和網關節點的獎勵V有關,減小U或增加V都能減小作惡的概率;
3.側鏈作惡的概率與作惡成功時獲得的收益S無關,也就是說減少側鏈上托管的資產無助于減小作惡的概率;
4.側鏈作惡的概率與作惡者被舉證時遭受的損失R無關,也就是說在不增加網關節點的獎勵的前提下,只增加側鏈運營者的保證金無助于減小作惡的概率;
5.由于假裝作惡攻擊,網關節點的獎勵V無法無限增加。巡查官的巡查成本U也無法無限減小。巡查官制度無法杜絕作惡的發生。
在IPO路上數次折戟后,6歲半的比特幣礦商杭州嘉楠耘智信息科技有限公司(以下簡稱“嘉楠科技”)終于迎來高光時刻.
1900/1/1 0:00:00作者:奚習習 來源:財經網鏈上財經 加密貨幣礦機生產商多次沖擊IPO遇挫,隨著此次嘉楠耘智的成功上市,國內礦機企業之中終于有了第一家上市公司.
1900/1/1 0:00:00本文原發于:筆記俠 演講者:數字資產研究院副院長?孟巖演講者注:對于這篇文章里關于比特幣挖礦不可持續的評論,我其實在現場還說了一段話,就是這個推導完全是一個靜態推導,只是為了凸顯問題本身.
1900/1/1 0:00:00據CCN報道,加密市場可能沒有像許多人希望的那樣快速增長,期間還出現了一些意想不到的波折。盡管如此,相較于兩年前,今天的區塊鏈行業更加成熟.
1900/1/1 0:00:00本文來源:證券時報 作者:韓忠楠 近日,沃爾沃宣稱已與兩家電池供應商寧德時代、LG化學,以及全球領先的區塊鏈技術公司達成協議,將通過應用區塊鏈技術追溯電動汽車電池原材料.
1900/1/1 0:00:00前言:前幾天有人分析說2017年比特幣牛市是由某個大鯨魚推動的。那么事實上是如此嗎?歡迎大家探討。本文作者是ElaineOu,由“藍狐筆記”社群的“TS”翻譯。成為加密貨幣交易所很不容易.
1900/1/1 0:00:00