BTC/HKD-1.39%
ETH/HKD-2.89%
LTC/HKD-2.94%
ADA/HKD-4.03%
SOL/HKD-2.99%
XRP/HKD-2.74%注:原文來自,通過這種不斷迭代的方式逼近函數零點,從而得到y值。

3)CurveTriCrypto-NGPool
curve的gas消耗巨頭是因為,它需要在合約上進行求解非線形方程。
這里涉及到兩個函數:get_D,get_Y。這里都需要進行255次循環,每次循環都是算出最新的梯度后的切線方程,得到最新的D和Y值。直到收斂為止。

元宇宙游戲Bullieverse收購印度游戲公會Beyond Gaming Guild:5月6日消息,據官方消息,元宇宙游戲 Bullieverse 宣布已收購印度游戲公會 Beyond Gaming Guild,以拓展印度市場。作為收購的一部分,Beyond Gaming Guild 將更名為 Bullieverse India。
2月17日,Bullieverse 宣布完成 400 萬美元融資。[2023/5/6 14:45:50]

4)CurveTriCrypto-NGPool
趙長鵬:“幣安實施KYC導致流失90%客戶”完全是錯誤的引用:8月1日消息,加密貨幣交易平臺 Binance 首席執行官 CZ 針對此前第三方媒體引用關于“Binance 實施 KYC 導致流失 90% 客戶,收入損失數十億美元”的報道回復稱,“這完全是錯誤的引用。但事實是,這類標題的點擊率更高。”[2022/8/2 2:52:06]
所以,TNG的核心就是:如何在數學上進行優化,更快地求解非線性方程。這里提出了兩個方法來替代原有的get_D和get_y:newton_D和newton_Y。

美國CFTC將通過新的技術創新辦公室加強加密貨幣工作:金色財經報道,美國CFTC負責人Rostin Behnam表示,隨著加密貨幣監管超越了沙盒階段,衍生品監管機構正在將其LabCFTC升級為技術創新辦公室。該機構的LabCFTC是一個長期運行的金融技術團隊,將被改造成新的辦公室,該辦公室將由一名主任領導,向Behnam報告,該辦公室還將配備專家,現有的CFTC員工將有機會輪換,以獲得加密貨幣經驗。
作為一個研究項目,我們已經超越了數字資產的階段,監管機構必須靈活,新的挑戰可能要求我們更深入地挖掘,以不同的眼光看待我們的有機法規如何促進我們與我們監管的市場一起成長。(Coindesk)[2022/7/26 2:37:30]
5)CurveTriCrypto-NGPool
數據:越南NFT用戶量突破200萬,全球排名第五:金色財經報道,據retailnews消息,根據德國數據門戶網站Statista 發布的《數字經濟指南針2022》(Digital Economy Compass 2022)顯示,越南2021年NFT用戶達到219萬,落后于泰國、巴西、美國和中國,排名第五。在NFT滲透率方面,越南以2.24%同樣排名第五,落后于泰國、加拿大、澳大利亞和巴西(NFT滲透率=活躍付費客戶(或賬戶)在總人口中的份額)。另據澳大利亞數據研究公司 Finder 最近調研顯示,越南 NFT 游戲玩家比例在全球也排名第五,排在印度、香港、阿拉伯聯合酋長國和菲律賓之后。[2022/6/13 4:23:36]
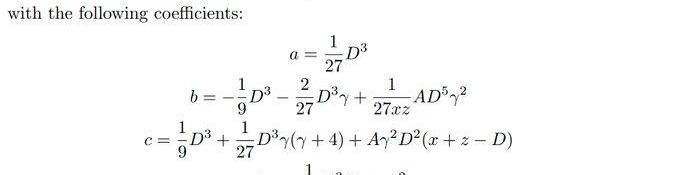
對于求解D值,TNG摒棄了牛頓迭代,采用了Halley方法進行求根。“數值分析中,Halley方法是一種求根算法,用於計算具有連續二階導數的一個實變量的函數。它以其發明者愛德蒙·哈雷的名字命名。”
6)CurveTriCrypto-NGPool
這里我們可以看到,我們只需要知道一階取導,二階取導,和函數的f(x)值,只要函數滿足三階可導:我們可以輕松計算F(x+1)。碰巧的是,tricrypto最終的擬合曲線就是三階可導。所以,這里采用Halley'smethod用來求解,可以優化求解D值使用牛頓迭代法的弊端。

7)CurveTriCrypto-NGPool
至于y值,curver提出了一種新的找到新y值的方法。我們也不使用牛頓法,因為它是一個迭代過程,只能給出近似解,而是推導出一個新y的精確公式。采用更容易求解的逼近解,來替代牛頓迭代,從而極大地降低gas。

7)CurveTriCrypto-NGPool關鍵
1.利用Halley'smethod來直接求解三階可導的非線形方程,直接得出f(x+1),從而摒棄效率低下的牛頓迭代法。
2.基于Halley'smethod得出的D值,采用超高效的近似值來直接計算get_y,從而摒棄效率低下的牛頓迭代法。從而極大的降低了gas。
8)CurveTriCrypto-NGPool
我覺得這個非常非常牛逼,趕超uniV3指日可待。emm,我今天竭盡了全力讓DEX組把接入TNGPool列為T0優先級。我認為以后聚合器的大部分流量都會走TNGPool。但希望我這個小小的底層碼農能自上而下推得動吧~~我是盡力了~@taowang1@mrblocktw@CurveFi_Asia
9)CurveTriCrypto-NGPool的重要性
關于TNG的重要性@DeFi_Cheetah在這篇影響力非常大的推文上分析了
https://twitter.com/DeFi_Cheetah/status/1653581567774855168…
1.解決了curve算法歷史悠久的gas昂貴的問題,從而在以太坊上可以勝出uniV3,從而進一步蠶食AMM的市場,從而提高veCrv的利潤。
2.降低crvUsd使用LLAMMA清算成本。
10)CurveTriCrypto-NGPool
我幾乎把市面上的AMM協議全部接了個遍。我可以給出的結論就是:目前幾乎沒有dex還會繼續優化/創新的算法。這就是為什么我深入研究了之后感覺到震驚。
例如:非常流行的就是ve(3,3)的fork,大家都只是在激勵上繼續摸索;再例如:uniswap甚至直接做nftmarket去了。
11)總結
當然,目前curve還有蠻多問題的,社區上還可以繼續吸收一些:“更牛逼的前端工程師”,“后端架構師”,從而提升用戶體驗。(或者直接外包給大廠吧。
但,目前遇到的問題,我覺得這些都是可以解決的。
想了很久為什么如此相信curve,可能是僅僅因為相信數學吧。
?注:本文來自@hiJasperNG推特,其是@lkventure首席分析師,原推文內容由MarsBit整理如下:1/ordinals是加密散戶掀桌子的機會.
1900/1/1 0:00:00?????? 2019年6月22日,“世界經濟演講晚宴暨美國前總統喬治·布什見面會”在美國田納西州如期舉行.
1900/1/1 0:00:00UniswapV3與TraderJoeAMM模型的比較UniswapV3的集中流動性和TraderJoe的流動性賬簿模型是為提高DeFi領域流動性效率而設計的協議級升級.
1900/1/1 0:00:005月9日,SolanaLabs宣布SagaWeb3手機正式面向公眾發售,此前預購的訂單已開始向美國、加拿大、歐盟、英國、瑞士、澳大利亞和新西蘭等地發貨.
1900/1/1 0:00:00Ordinals問世后,其實經歷了兩個月的蟄伏期,除了YugaLabs親自造勢的Twelvefold外,并沒有太多討論.
1900/1/1 0:00:00比特幣鏈上交易的數量最近出現了驚人的增長,單日交易超過50萬筆,5月1日達到創紀錄的68.2萬筆。 去年全年一直保持在每天約25萬筆左右,與2022年相比,交易數量增長了2倍以上.
1900/1/1 0:00:00